你也可以通过我的独立博客 —— www.huliujia.com 获取本篇文章
数组与链表
数组和链表是非常基础的两种数据结构,链表每次查找都需要从头结点开始线性遍历,时间复杂度是O(n)。而数组通过维护元素顺序可以使用二分查找,查找的时间复杂度是O(lg(n))。查找效率方面数组完胜链表。
但是由于数组插入或删除元素时必须要移动所有受影响的节点,所以时间复杂度是O(n).并且数组的长度是固定的,当空间不够时需要重新分配内存。而链表插入和删除元素只需要改动少量指针即可,时间复杂度是O(1)。但是因为插入和删除一半都需要先查找元素,所以实际上链表的插入和删除时间复杂度还是O(n)。
今天介绍一种基于链表的数据结构 —— 跳跃表(Skiplist),在保持链表便于插入、删除的特性同时,可以把查找、插入、删除的时间复杂度降到O(lg(n))。
跳跃表的原理
数组能够实现查找时间复杂度O(lg(n)),主要是因为二分查找每次都可以排除一半的元素,那么链表有没有办法也每次排除一半的元素呢?
显然,原生的链表每次只能排除一个元素(当前元素),想要排除一半的元素需要满足两个条件,首先是链表必须是有序的,其次是能够访问到最中间的元素,这个其实就是数组二分查找的原理。
让链表有序是一个比较容易实现的需求,那么如何访问到最中间的元素呢?我们可以使用一个外部节点来保存中间节点。

比如上图是一个有5个元素的有序链表,红色的元素3指向了中间的元素3,如果我们想要查找4,通过和中间元素3进行比较,很容易判断要查找的元素在3的右侧,那么就排除了3左侧的所有节点了。
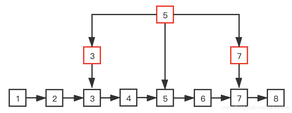
上面的链表只有5个元素,那如果链表有更多的元素,比如8个元素呢?显然一个外部节点只能完成一次元素排除,如果想每次访问都能排除一半的元素,即需要更多的外部节点了。

比如上图链表中有8个元素,总共使用了3个外部节点,外部节点分成了两层,通过和最上层外部节点元素5比较,我们可以排除掉一半的元素,剩下的元素和元素3或者元素7比较,可以再排除掉一半的元素。
类似的,如果元素更多的话,可以使用更多的外部节点,用更多的层来管理外部节点。
可以看到,通过添加外部节点,我们可以实现每次排除一半的元素,那么和二分查找类似,最终可以实现查找时间复杂度为O(lg(n))。
跳跃表的实现
上面使用外部节点作为例子来演示了跳跃表查找加速的原理,但是如果直接按照上面的方式来实现的话,外部节点的管理和查找操作都很复杂,难以实现。
所以实际实现时,会把每一层的外部节点也使用有序链表的方式来管理,并且给每个链表添加一个假的头结点和尾节点,方便查找和判断是否到达了链表尾部。
最后我们的跳跃表应该是这样的
[外链

跳跃表是一种基于链表的数据结构,通过多层有序链表实现高效的查找、插入和删除操作,时间复杂度达到O(lg(n))。它利用随机概率使得元素分布近似均匀,从而在保持链表操作简便的同时提升性能。文章详细介绍了跳跃表的原理和实现方法。
最低0.47元/天 解锁文章
1610

被折叠的 条评论
为什么被折叠?



