
编译实践-PL\0编译系统实现
| 姓名: | |
| 专业: | 计算机科学与技术 |
| 学院: | 软件学院 |
| 提交时间: | 2013年12月25日 |
北京航空航天大学·软件学院
编译实践-PL\0编译系统实现
- 实验要求
-
以个人为单位进行开发,不得多人合作完成。
-
共32个学时。个人无计算机者可以申请上机机时。
-
细节要求:
-
输入:符合PL/0文法的源程序(自己要有5个测试用例,包含出错的情况,还要用老师提供的测试用例进行测试)
-
输出:P-Code
-
错误信息:参见教材第316页表14.4。
-
P-Code指令集:参见教材第316页表14.5。
-
语法分析部分要求统一使用递归下降子程序法实现。
-
编程语言使用C、C++、C#或Java等。
-
上交材料中不但要包括源代码(含注释)和可执行程序,还应有完整文档。
-
- PL/0语言描述
PL/0语言是一种类PASCAL语言,是教学用程序设计语言,它比PASCAL语言简单,作了一些限制。PL/0的程序结构比较完全,赋值语句作为基本结构,构造概念有
-
顺序执行、条件执行和重复执行,分别由begin/end,if then else和while do语句表示。
-
PL0还具有子程序概念,包括过程说明和过程调用语句。
-
在数据类型方面,PL0只包含唯一的整型,可以说明这种类型的常量和变量。
-
运算符有+,-,*,/,=,<>,<,>,<=,>=,(,)。
-
说明部分包括常量说明、变量说明和过程说明。
- PL/0语言文法的EBNF表示
<程序> ::= <分程序>.
<分程序> ::= [<常量说明部分>][变量说明部分>]{<过程说明部分>}<语句>
<常量说明部分> ::= const<常量定义>{,<常量定义>};
<常量定义> ::= <标识符>=<无符号整数>
<无符号整数> ::= <数字>{<数字>}
<标识符> ::= <字母>{<字母>|<数字>}
<变量说明部分>::= var<标识符>{,<标识符>};
<过程说明部分> ::= <过程首部><分程序>;
<过程首部> ::= procedure<标识符>;
<语句> ::= <赋值语句>|<条件语句>|<当型循环语句>|<过程调用语句>|<读语句>|<写语句>|<复合语句>|<重复语句>|<空>
<赋值语句> ::= <标识符>:=<表达式>
<表达式> ::= [+|-]<项>{<加法运算符><项>}
<项> ::= <因子>{<乘法运算符><因子>}
<因子> ::= <标识符>|<无符号整数>|'('<表达式>')'
<加法运算符> ::= +|-
<乘法运算符> ::= *|/
<条件> ::= <表达式><关系运算符><表达式>|odd<表达式>
<关系运算符> ::= =|<>|<|<=|>|>=
<条件语句> ::= if<条件>then<语句>[else<语句>]
<当型循环语句> ::= while<条件>do<语句>
<过程调用语句> ::= call<标识符>
<复合语句> ::= begin<语句>{;<语句>}end
<重复语句> ::= repeat<语句>{;<语句>}until<条件>
<读语句> ::= read'('<标识符>{,<标识符>}')'
<写语句> ::= write'('<标识符>{,<标识符>}')'
<字母> ::= a|b|...|X|Y|Z
<数字> ::= 0|1|2|...|8|9
注意:
数据类型:无符号整数
标识符类型:简单变量(var)和常数(const)
数字位数:小于14位
标识符的有效长度:小于10位
过程嵌套:小于3层
- PL/0语言的语法图描述

图1-1 程序语法描述图

图1-2 分程序语法描述图

图1-6 项语法描述图

图1-7 因子语法描述图
-
PL/0编译系统结构

图 1-8 PL/0编译程序和解释执行过程
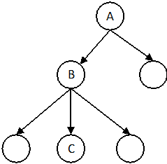
PL/0编译程序函数定义层次结构:
pl0
error
getsym
getch
gen
test
block
enter
position
constdeclaration
vardeclaration
listcode
st:atement
expression
term
factor
condition
interpret
base
下面介绍这些过程(函数)的作用。
| pl0 | 主程序 |
| error | 出错处理,打印出错位置和错误代码 |
| getsym | 词法分析,读取一个单词 |
| getch | 取字符 |
| gen | 生成P-code指令,送入目标程序区 |
| test | 测试当前单词符号是否合法 |
| block | 分程序分析处理 |
| enter | 登记符号表 |
| position | 查找标识符在符号表中的位置 |
| constdeclaration | 常量定义处理 |
| vardeclaration | 变量定义处理 |
| listcode | 列出p-code指令清单 |
| statement | 语句部分分析处理 |
| expression | 表达式分析处理 |
| term | 项分析处理 |
| factor | 因子分析处理 |
| condition | 条件分析处理 |
| interpret | P-code解释执行程序 |
| base | 通过静态链求出数据区的基地址 |
-
PL/0编译程序的词法分析
PL/0编译系统中所有的字符,字符串的类型为,如下表格:
保留字
begin, end, if,then, else, const,procedure,
var,do,while, call,read, write, repeat, until
算数运算符
+ ,—,*,/
比较运算符
<> , < ,<= , >, >= ,=
赋值符
:= , =
标识符
变量名,过程名,常数名
常数
10,25等整数
界符
',','.',';','(',')'
PL/0的词法分析程序Scanner.getsym()由语法分析程序调用,主要功能为:
- 跳过空格字符。
- 识别单词符号,返回单词类型(按照在Symbol.java中定义的编译系统的字符编号,返回类型码)
- 特别的,对于编译系统的保留字符(例如:const, if, then等)需要查找系统的保留字符表word[],为了加快查找速度,调用系统的二分搜索法Arrays.binarySearch().
-
另外,如果读取的字符为数字,需要将该字符转换成整数值(调用公式num = 10 * num + (ch - '0');),再存入符号表的Value区域.
Scanner.getsym()是调用扫描输入的源程序。主要功能如下:
- 优化读取字符效率,每次读取一行源程序,存入缓冲区line,因此设置lineLength为源程序当前行的长度,chCount标志当前正在读取的字符位置
- 采用"单符号先行"技术,在识别完每个符号的类型后,必须再度入下一个字符,以保证下一次再调用getsym()时,curCh保存的是该符号的首字符

图1- 词法分析程序的状态转换图
- PL/0编译程序的符号表管理
-
-
符号表结构
-
|
| 符号表类SymbolTable中用数组存储符号表,再分配一个指针tablePtr指向当前符号表的末尾。 public class SymbolTable { //有效的符号表大小 public int tablePtr = 0; //名字表 public Item[] table = new Item[tableMax]; ... ... } |
举例:
| PL/0代码样例: CONST A=35,B=49; |
此时的符号表内容:
| NAME:A | KIND:CONSTANT | VAL:35 | ||
| NAME:B | KIND:CONSTANT | VAL:49 | ||
| NAME:C | KIND:VARIABLE | LEVEL:LEV | ADDR:DX | |
| NAME:D | KIND:VARIABLE | LEVEL:LEV | ADDR:DX+1 | |
| NAME:E | KIND:VARIABLE | LEVEL:LEV | ADDR:DX+2 | |
| NAME:P | KIND:PROCEDURE | LEVEL:LEV | ADDR: | SIZE:7 |
| NAME:G | KIND:VARIABLE | LEVEL:LEV+1 | ADDR:DX |
-
符号表管理
-
登记(在符号表中插入一项)
-
| /** * 把某个符号登录到名字表中,从1开始填,0表示不存在该项符号 * @param sym 要登记到名字表的符号 * @param k 该符号的类型:const, var ,procedure * @param lev 名字所在的层次 * @param dx 当前应分配的变量的相对地址,注意dx要加一 */ public void enter(Symbol sym,int type,int lev, int dx) |
-
查询
| /** * 在名字表中查找某个名字的位置 *从后往前查,这样符合嵌套分程序名字定义和作用域的规定 * @param idt 要查找的名字 * @return 如果找到则返回名字项的下标,否则返回0 */ public int position(String idt) |
- PL/0编译程序的语法分析

图1- 语法调用关系图
采用不带回溯的递归子程序法,对于语言的文法要求:
- 该文法必须是非左递归。
-
文法的非终结符,其规则右部所生成的first集合两两不相交
- 若文法具有形如
,则
- 若文法具有形如
递归子程序设计实例
void expression(BitSet fsys, int lev) { if (symtype == plus || symtype == minus) { int adop = symtype; nextsym(); term(nxtlev, lev); if (adop == minus) gen(OPR, 0, 1); } else term(nxtlev, lev); //分析{<加法运算符><项>} while (symtype == plus || symtype == minus) { int adop = symtype; nextsym(); term(nxtlev, lev); gen(OPR, 0, adop); } } |
void term(BitSet fsys, int lev) { factor(nxtlev, lev); //分析{<乘法运算符><因子>} while (symtype == mul || symtype == div) { int mop = sym.symtype; nextsym(); factor(nxtlev, lev); gen(OPR, 0, mop); } } |
void factor(BitSet fsys, int lev) { if (symtype == ident) { int index = table.position(sym.id); if (index > 0) { Item item = table.get(index); switch (item.type) { case constant: gen(LIT, 0, item.value); break; case variable: gen(LOD, lev - item.lev, item.addr); break; } } nextsym(); } else if (symtype == number) { gen(LIT, 0, num); nextsym(); } else if (symtype == lparen) { nextsym(); expression(nxtlev, lev); if (symtype == rparen) nextsym(); } |
- PL/0编译程序的目标代码结构和代码生成
-
代码结构
P-code 语言:一种栈式机的语言。此类栈式机没有累加器和通用寄存器,有一个栈式存储器,有四个控制寄存器(指令寄存器 I,指令地址寄存器 P,栈顶寄存器 T和基址寄存器 B),算术逻辑运算都在栈顶进行。
| F | L | A |
指令格式
F :操作码
L :层次差(标识符引用层减去定义层)
A :不同的指令含义不同
表5 P-code 指令的含义
| 指令 | 具体含义 |
| LIT 0,a | 取常量a放到数据栈栈顶 |
| OPR 0,a | 执行运算,a表示执行何种运算(+ - * /) |
| LOD l,a | 取变量放到数据栈栈顶(相对地址为a,层次差为l) |
| STO l,a | 将数据栈栈顶内容存入变量(相对地址为a,层次差为l) |
| CAL l,a | 调用过程(入口指令地址为a,层次差为l) |
| INT 0,a | 数据栈栈顶指针增加a |
| JMP 0,a | 无条件转移到指令地址a |
| JPC 0,a | 条件转移到指令地址a |
| //pcode类的结构 public class Pcode{ //虚拟机代码指令 public int f; //引用层与声明层的层次差 public int l; //指令参数 public int a; } //存放虚拟机代码的数组 public Pcode[] pcodeArray;
//生成虚拟机代码 public void gen(int f, int l, int a) { pcodeArray[arrayPtr++] = new Pcode(f, l, a); } |
- 代码生成与地址返填
对于if then [else],while do和repeat until语句,要生成跳转指令,故采用地址返填技术。
- if-then-else语句的目标代码生成模式:
| if <condition> then <statement>[else] | |
| <condition> | |
| JPC addr1 | |
| <statement> | |
| addr1: | [else] |
- while-do语句的目标代码生成模式:
| while <condition> do <statement> | |
| addr2: | <condition> |
| JPC addr3 | |
| <statement> | |
| JPC addr2 | |
| addr3: | |
- repeat-until语句的目标代码生成模式:
| repeat <statement> until <condition> | |
| addr4: | <statement> |
| <condition> | |
| JPC addr4 | |
注意:由于OPR指令设计复杂,故进一步解释:
| (1).OPR 0 0 |
| RETUEN (stack[sp + 1] ß base(L); sp ß bp - 1; bp ß stack[sp + 2]; pc ß stack[sp + 3];) |
| (2).OPR 0 1 |
| NEG (- stack[sp] ) |
| (3).OPR 0 2 |
| ADD (sp ß sp – 1 ; stack[sp] ß stack[sp] + stack[sp + 1]) |
| (4).OPR 0 3 |
| SUB (sp ß sp – 1 ; stack[sp] ßstack[sp] - stack[sp + 1]) |
| (5).OPR 0 4 |
| MUL (sp ß sp – 1 ; stack[sp] ß stack[sp] * stack[sp + 1]) |
| (6).OPR 0 5 |
| DIV (sp ß sp – 1 ; stack[sp] ß stack[sp] / stack[sp + 1]) |
| (7).OPR 0 6 |
| ODD (stack[sp] ß stack % 2) |
| (8).OPR 0 7 |
| MOD (sp ß sp – 1 ; stack[sp] ß stack[sp] % stack[sp + 1]) |
| (9).OPR 0 8 |
| EQL (sp ß sp – 1 ; stack[sp] ß stack[sp] == stack[sp + 1]) |
| (10).OPR 0 9 |
| NEQ (sp ß sp – 1 ; stack[sp] ß stack[sp] != stack[sp + 1]) |
| (11).OPR 0 10 |
| LSS (sp ß sp – 1 ; stack[sp] ß stack[sp] < stack[sp + 1]) |
| (12).OPR 0 11 |
| GEQ (sp ß sp – 1 ; stack[sp] ß stack[sp] >= stack[sp + 1]) |
| (13).OPR 0 12 |
| GTR (sp ß sp – 1 ; stack[sp] ß stack[sp] > stack[sp + 1]) |
| (14).OPR 0 13 |
| LEQ (sp ß sp – 1 ; stack[sp] ß stack[sp] <= stack[sp + 1]) |
| (15).OPR 0 14 |
| print (stack[sp]); sp ß sp – 1; |
| (16).OPR 0 15 |
| print ('\n'); |
| (17).OPR 0 16 |
| scan(stack[sp]); sp ß sp + 1; |
- PL/0编译程序的语法错误处理
8.1错误处理的原则
尽可能准确指出错误位置和错误属性
尽可能进行校正
短语层恢复技术
在进入某个语法单位时,调用TEST函数, 检查当前符号是否属于该语法单位的开始符号集合.
在语法单位分析结束时,调用TEST函数, 检查当前符号是否属于调用该语法单位时应有的后跟符号集合.
| Test()函数的定义: /** * @param s1 需要的符号 * @param s2 不需要的符号,添加一个补救集合 * @param errcode 错误号 */ void test(BitSet s1, BitSet s2, int errcode) { if (!s1.get(sym.symtype)) { Err.report(errcode); //当检测不通过时,不停地获取符号,直到它属于需要的集合 s1.or(s2); //把s2集合补充进s1集合 while (!s1.get(sym.symtype)) { nextsym(); } } } |
注意:FOLLOW集合随着调用的深度增加,逐层增加,且与调用的位置相关。
| 举例: 在write语句的下一层: <statement>::=write '('<identity>{,identity}')' fsys={[rparen, comma]+fsys}; 在factor语句的下一层 <factor>::=… …|'('<expression>')' fsys={[rparen]+fsys}; |
表1- PL/0文法非终结符的开始符号集与后继符号集
| 非终结符 | FIRST(S) | FOLLOW(S) |
| 分程序 | const var procedure ident if call begin while read write repeat | . ; |
| 语句 | ident call begin if while read write until | . ; end |
| 条件 | odd + - ( ident number | then do |
| 表达式 | = + - ( ident number | . ; R end then do |
| 项 | ident number ( | . ; R + - end then do |
| 因子 | ident number ( | . ; R + - * / end then do |
PL/0编译系统中,所定义的36种错误类型,如下列举:
| PL/0语言的出错信息表 | |
| 出错编号 | 出错原因 |
| 1 | 常数说明中的"="写成"∶="。 |
| 2 | 常数说明中的"="后应是数字。 |
| 3 | 常数说明中的标识符后应是"="。 |
| 4 | const ,var, procedure后应为标识符。 |
| 5 | 漏掉了','或';'。 |
| 6 | 过程说明后的符号不正确(应是语句开始符,或过程定义符)。 |
| 7 | 应是语句开始符。 |
| 8 | 程序体内语句部分的后跟符不正确。 |
| 9 | 程序结尾丢了句号'.'。 |
| 10 | 语句之间漏了';'。 |
| 11 | 标识符未说明。 |
| 12 | 赋值语句中,赋值号左部标识符属性应是变量。 |
| 13 | 赋值语句左部标识符后应是赋值号'∶='。 |
| 14 | call后应为标识符。 |
| 15 | call后标识符属性应为过程。 |
| 16 | 条件语句中丢了'then'。 |
| 17 | 丢了'end"或';'。 |
| 18 | while型循环语句中丢了'do'。 |
| 19 | 语句后的符号不正确。 |
| 20 | 应为关系运算符。 |
| 21 | 表达式内标识符属性不能是过程。 |
| 22 | 表达式中漏掉右括号')'。 |
| 23 | 因子后的非法符号。 |
| 24 | 表达式的开始符不能是此符号。 |
| 31 | 数越界。 |
| 32 | read语句括号中的标识符不是变量。 |
| 33 | 格式错误,应为右括号 |
| 34 | 格式错误,应为左括号 |
| 35 | read()中的变量未声明 |
| 36 | 变量字符过长 |
- PL/0编译程序的目标代码解释执行和存储分配
- 类pcode解释器的结构
- . 目标代码存放在数组pcodeArray中
- . 定义一维整型数组runtimeStack作为运行栈
- .栈顶寄存器(指针)sp;
- .基址寄存器(指针)bp;
- .程序地址寄存器 pc;
- .指令寄存器 index.
- 运行栈的存储分配
- .SL:静态链,指向定义该过程的直接外过程(或主程序)运行时最新数据段的基地址。
- .DL:动态链,指向调用该过程前正在运行过程的数据段基地址。
- .RA:返回地址,记录调用该过程时目标程序的断点,即调用过程指令的下一条指令的地址
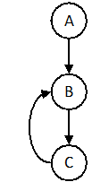
例如,假定有过程 A,B,C,其中过程 C 的说明局部于过程 B,而过程 B 的说明局部于过程 A,程序运行时,过程 A 调用过程 B,过程 B 则调用过程 C,过程 C 又调用过程 B,如下图所示:



图9-1过程说明嵌套图 过程调用图 表示 A 调用 B
从静态链的角度我们可以说A是在第一层说明,B是在第二层说明,C则是在第三层说明。
若在B中存取A中说明的变量a,由于编译程序只知道A,B间的静态层差为1,如果这时沿着动态链下降一步,将导致对C的局部变量的操作。
为防止这种情况发生,设置第二条链,将各个数据区连接起来。我们称之为动态链(dynamic link)DL。这样,编译程序所生成的代码地址,指示着静态层差和数据区的相对修正量。下面是过程 A、B 和 C 运行时刻的数据区图示:

P-code解释执行过程:
| (1).LIT 0 A |
| sp ß sp +1; stack[sp] ß A; |
| (2).LOD L A |
| sp ß sp +1; stack[sp] ß stack[ base(L) + A]; |
| (3).STO L A |
| stack[ base(L) + A] ß stack[sp]; sp ß sp -1; |
| (4).CAL L A |
| stack[sp + 1] ß base(L); stack[sp + 2] ß bp; stack[sp + 3] ß pc; bp ß sp + 1; pc ß A; |
| (5).INT 0 A |
| sp ß sp + A; (6).JMP 0 A |
| pc = A; |
| (7).JPC 0 A |
| if stack[sp] == 0 { pc ß A; sp ß sp - 1; } |
| (8).OPR 0 0 |
| RETUEN (stack[sp + 1] ß base(L); sp ß bp - 1; bp ß stack[sp + 2]; pc ß stack[sp + 3];) |
| (9).OPR 0 1 |
| NEG (- stack[sp] ) |
| (10).OPR 0 2 |
| ADD (sp ß sp – 1 ; stack[sp] ß stack[sp] + stack[sp + 1]) |
| (11).OPR 0 3 |
| SUB (sp ß sp – 1 ; stack[sp] ßstack[sp] - stack[sp + 1]) |
| (12).OPR 0 4 |
| MUL (sp ß sp – 1 ; stack[sp] ß stack[sp] * stack[sp + 1]) |
| (13).OPR 0 5 |
| DIV (sp ß sp – 1 ; stack[sp] ß stack[sp] / stack[sp + 1]) |
| (14).OPR 0 6 |
| ODD (stack[sp] ß stack % 2) |
| (15).OPR 0 7 |
| MOD (sp ß sp – 1 ; stack[sp] ß stack[sp] % stack[sp + 1]) |
| (16).OPR 0 8 |
| EQL (sp ß sp – 1 ; stack[sp] ß stack[sp] == stack[sp + 1]) |
| (17).OPR 0 9 |
| NEQ (sp ß sp – 1 ; stack[sp] ß stack[sp] != stack[sp + 1]) |
| (18).OPR 0 10 |
| LSS (sp ß sp – 1 ; stack[sp] ß stack[sp] < stack[sp + 1]) |
| (19).OPR 0 11 |
| GEQ (sp ß sp – 1 ; stack[sp] ß stack[sp] >= stack[sp + 1]) |
| (20).OPR 0 12 |
| GTR (sp ß sp – 1 ; stack[sp] ß stack[sp] > stack[sp + 1]) |
| (21).OPR 0 13 |
| LEQ (sp ß sp – 1 ; stack[sp] ß stack[sp] <= stack[sp + 1]) |
| (22).OPR 0 14 |
| print (stack[sp]); sp ß sp – 1; |
| (23).OPR 0 15 |
| print ('\n'); |
| (24).OPR 0 16 |
| scan(stack[sp]); sp ß sp + 1; |
系统运行环境
硬件配置:lenovo-g470
软件配置:netbeans-7.4
软件运行环境:java JDK-1.7
附录:
样例测试
| //test.pl0 | //generated p-code |
| const z=0; var head,foot,cock,rabbit,n; begin n := z; cock := 1; while cock <= head do begin rabbit :=head-cock; if cock*2+rabbit*4=foot then begin write(cock,rabbit); n:=n+1 end; cock:=cock+1 end; if n=0 then write(0,0) end. | 0 JMP 0 21 1 JMP 0 2 2 INT 0 4 3 LOD 1 3 4 STO 0 3 5 LOD 1 4 6 STO 1 3 7 LOD 0 3 8 STO 1 4 9 OPR 0 0 10 JMP 0 11 11 INT 0 3 12 LOD 1 3 13 LOD 1 3 14 LOD 1 4 15 OPR 0 5 16 LOD 1 4 17 OPR 0 4 18 OPR 0 3 19 STO 1 3 20 OPR 0 0 21 INT 0 7 22 LIT 0 45 23 STO 0 3 24 LIT 0 27 25 STO 0 4 26 CAL 0 11 27 LOD 0 3 28 LIT 0 0 29 OPR 0 9 30 JPC 0 34 31 CAL 0 2 32 CAL 0 11 33 JMP 0 27 34 LOD 0 4 35 STO 0 5 36 LIT 0 45 37 LIT 0 27 38 OPR 0 4 39 LOD 0 5 40 OPR 0 5 41 STO 0 6 42 LOD 0 5 43 OPR 0 14 44 LOD 0 6 45 OPR 0 14 46 OPR 0 15 47 OPR 0 0 |
实践报告+源代码链接:
2342

被折叠的 条评论
为什么被折叠?



