题意:F为斐波那契数列,求

模1e9+9的值。
我也是赛后补题的,所以只是在大佬的方法基础上加一些较为基础的东西,虽然是借鉴了大佬的方法,但还是一直Tqaq,大佬说是因为比赛完换机子测了,所以过不了了。
先说下我比赛时的做法吧,比赛的时候我还不知道斐波那契数列还有其他通项公式,虽然就算知道也极有可能做不出来,所以我采用矩阵快速幂求解出每个Fic,然后再用一般的快速幂求Fick,然后毫无疑问的T了,太惨了。
好了,来看看大佬们的做法吧

忘写了,上面应该还要乘以乘以5(-k/2)
根据上面的最后推导结论来看看我们要求神马
求出5(1/2)的逆元,设x为5(1/2)的逆元,则有x2的逆元为5,先暴力求出,得到的结果为p = 383008016
a和b,即斐波那契通式的n次项
A = (p + 1ll) * (mod + 1) / 2 % mod, B = (1ll + mod - p) * (mod + 1) / 2 % mod;//注意1-5^(-1/2)是小于0的
阶乘,记fc为阶乘,fcn为阶乘的逆元,则有C(k,j)=fc[k]*fcn[j]*fcn[k-j].
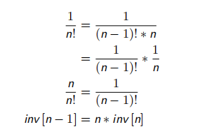
阶乘逆元求法:

至于快速幂,我觉得就大家都会没必要贴了,就不贴了。
斐波那契数列高效求解
本文探讨了斐波那契数列的高效求解方法,通过矩阵快速幂和阶乘逆元技巧,避免了传统递归的高时间复杂度。介绍了如何利用斐波那契数列的特殊性质,结合模运算优化算法,实现大数计算。

被折叠的 条评论
为什么被折叠?



