2.1 导数的概念
2.1.1 函数的变化率
设函数,当自变量x由点
变化到
时,相应的函数值由
变化到
,此时
—
就是相应于自变量x改变量
的函数改变量,比值
称为函数y=f(x)相应于自变量由
变化到
时的平均变化率。
2.1.2 导数的定义
1. 函数在一点的导数与导函数
定义2.1.1 设函数y=f(x)在点的某一邻域
内有定义,给自变量x在点
处的一个改变量
,函数f(x)相应地有改变量
,如果
存在,则称函数y=f(x)对x在
点可导,并称此极限值为函数y=f(x)对x在点
的导数。
定义2.1.2 如果函数y=f(x)在开区间I内每一点对x可导,则称函数f(x)在开区间I内可导。
2.求导数举例
(1)求相应于自变量改变量的函数改变量
(2)作比值
(3)求极限
2.1.3 导数的意义
(1)瞬时速度
(2)切线斜率
2.1.4 左、右导数
左导数、右导数统称为单侧导数
由函数在一点存在极限的充要条件知,函数y=f(x)在点可导的充要条件是函数y=f(x)在
点左、右导数存在且相等
2.1.5 函数的可导行与连续性的关系
若函数y=f(x)在点处可导,则f(x)在点
处连续。
连续是可导的必要条件,但不是充分条件,即可导一定连续,但连续不一定可导
2.2 求导法则
2.2.1 函数和、差、积、商的求导法则
1、代数和的导数
2、乘积的导数
3、商的导数
2.2.2 反函数的求导法则
设函数y=f(x)在某区间I内是单调的连续函数,如果在I内某点x处函数f(x)可导,且在这点的导数f'(x)不等于零,则其反函数在对应的点y(y=f(x))处可导,并且
2.2.3 复合函数的求导法则
若在点x可导,而y=f(u)在对应的点
可导,则复合函数
在点x可导,并且
即
复合函数的求导法则又称为链式法则
1. 基本初等函数的导数公式

2. 求导法则
2.3 隐函数的导数和由参数方程确定的函数的导数
把方程F(x,y)=0中的y看成是由方程所确定的隐函数(从而y的函数就是以y为中间变量的x的复合函数),这时将方程两边对自变量x求导,就得到一个含有x,y,y'的等式,从中解出y'即可
2.4 高阶导数
二阶及二阶以上的导数统称为高阶导数
高阶导数运算法则:
1)
2)
3)
2.5 微分
2.5.1 微分的定义
定义2.5.1 设函数y=f(x)在的某个邻域内有定义,当自变量在
处取得增量
(点
仍在该邻域内)时,如果相应的函数的增量
可以表示为:
函数y=f(x)在点 可微的充分必要条件是函数f(x)在点
可导,并且当y=f(x)在点
可微时,有
2.5.2 微分的几何意义
曲线y=f(x)在点附近的局部范围内可以用它在这点处的切线近似地替代
2.5.3 微分公式与运算法则
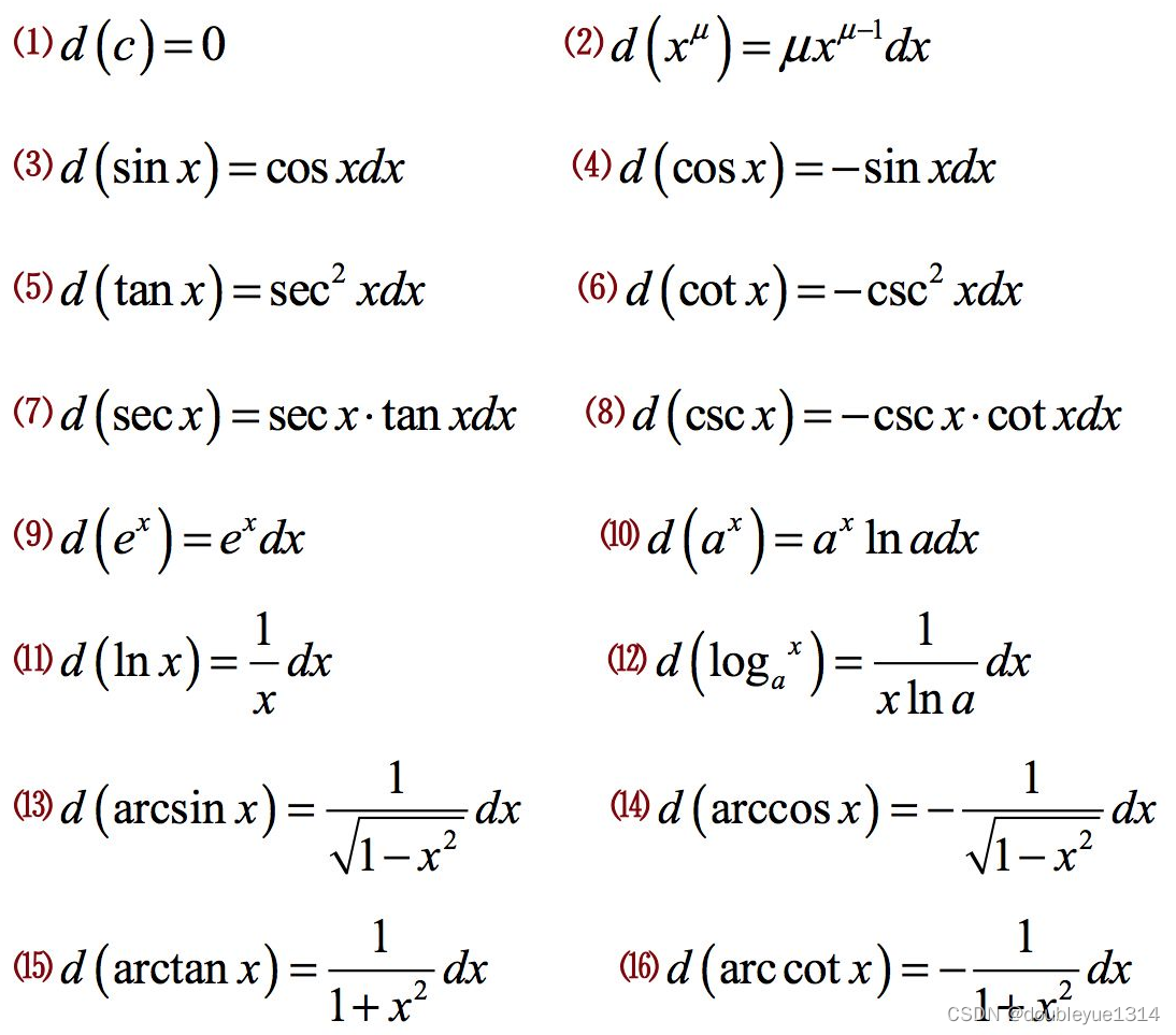
1. 基本初等函数的微分公式

2. 微分的四则运算法则
1)
2)
3)(c为常数)
4)
2.5.4 微分的应用
1.近似计算
2.误差估计

277

被折叠的 条评论
为什么被折叠?



