三炮儿每周二早七点
分享/更新一篇硬件开发学习笔记
学习分享以助能力增长♥经验交流以期跻身一流

目录
一、晶体与晶振简介
二、晶体与晶振异同
三、主要参数
四、设计指南-皮尔斯振荡器
五、PCB Layout指导参考
六、硬件测试项
✍
时钟电路在电路系统中起着至关重要的作用,时钟信号的稳定,是系统稳定的前提;
它为单板电路中的各个模块提供统一的时间基准,使得各模块按照预定的时间进行操作从而协同工作,保证系统能够正常运行和控制。
有些工程师习惯将时钟电路叫做晶振,但这并不是准确的叫法;
三炮儿刚工作时发现有的板卡上用的是晶振,有的是晶体,我傻傻分不清。
一、晶体与晶振简介
晶振(Crystal Oscillator)一般指石英晶体振荡器,
主要由晶体和振荡电路组成,只需为其提供电源,它就能产生特定的波形输出(时钟信号),是一种使用逆压电效应的电子振荡器电路;振荡电路的作用是将直流电源转换为交流电源,并驱动晶体产生振荡信号;
晶振一般指有源晶振(或晶体振荡器),英文名称是Crystal Oscillator。
晶体谐振器(Crystal Resonator),又称石英晶体,是一种利用石英晶体的压电效应,产生高精度振荡频率的电子元件,属于被动元件;
其主要由石英晶片、基座、外壳、银胶、银等成分组成。
晶体本身不能起振,需要经过外部激励电路激励才能产生时钟信号;
晶体一般指无源晶体(晶体谐振器),英文名称是Crystal Resonator。
二、晶体与晶振异同
上述简介中提到了二者在组成上的不同:
晶振(Crystal Oscillator)主要由晶体和振荡电路组成;
晶体谐振器(Crystal Resonator),主要由石英晶片、基座、外壳、银胶、银等成分组成。
在其他方面晶体与晶振也有异同。
1、应用电路
添加图片注释,不超过 140 字(可选)
添加图片注释,不超过 140 字(可选)
添加图片注释,不超过 140 字(可选)
2、参数/特性异同
添加图片注释,不超过 140 字(可选)
以上只列出了二者的部分参数,更多参数说明如下
三、主要参数
晶体相关参数如下:
添加图片注释,不超过 140 字(可选)
晶振相关参数如下:
添加图片注释,不超过 140 字(可选)
以上截图自 海创电子 选型手册
四、设计指南-皮尔斯振荡器
三炮儿刚工作时测试同事反馈:晶体不满足3-5倍的负性阻抗要求,
导师分享了一份 ST微控制器振荡器电路设计指南,
参考这份指南和公司内部资料成功解决了测试同事反馈的缺陷。
今天将设计指南分享给大家。
1、石英晶体的特性及模型
石英晶体是一种可将电能和机械能相互转化的压电器件,能量转变发生在共振频率点上。
等效模型如下
添加图片注释,不超过 140 字(可选)
其中,
C0:并电容,又叫静电电容,该容值与晶体尺寸有关;
Lm:动态等效电感,表示晶体的振动惯量;
Cm:动态等效电容:表示晶体的弹性;
Rm:动态等效电阻:表示电路损耗。
从以上等效拓扑模型可以得出晶体的阻抗表达式如下
添加图片注释,不超过 140 字(可选)
注:假设Rm忽略不计
晶体的频域阻抗曲线如下
添加图片注释,不超过 140 字(可选)
其中,
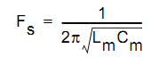
串联谐频率Fs
当电抗Z=0时的串联谐频率为Fs,即Lm、Cm和Rm串联支路的谐振频率;
Fs表达式如下
添加图片注释,不超过 140 字(可选)
并联谐振频率Fa
当电抗Z趋于无穷大时的并联谐振频率为Fa,假如Fs为已知量;
Fa表达式如下
添加图片注释,不超过 140 字(可选)
负载频率FL/Fp
在Fs到Fa之间的区域通常被称作“并联谐振区”(图Figure 2中的阴影部分),该区域内晶体工作在并联谐振状态;呈电感特性,有180 °的相移;
该区域就是晶体的正常工作区域,Fa-Fs就是晶振的带宽;
带宽越窄,晶体品质因数越高,振荡频率越稳定。
谐振频率Fp,或者叫负载频率FL,可简单理解为晶体的实际工作频率,
Fp表达式如下
添加图片注释,不超过 140 字(可选)
从上面表达式可知,通过改变负载电容CL可调整振荡频率Fp,使其达到标称频率;
这也就是为什么!
晶体制造商在其规格书,给出了使晶体以标称频率振荡时所需的确切负载电容CL值。
举个栗子:
一个等效晶体电路元件值的如下表,如何调整外部参数得到8Mhz标称频率?
添加图片注释,不超过 140 字(可选)
将相关等效参数代入上述,Fs、Fa的表达式,可计算出:
Fs=7988768Hz
Fa=8008102Hz
根据Fp表达式,当标称振荡频率Fp为8MHz,对应的负载电容CL为4.02pF;
关于负载电容CL下文还有介绍。
2、振荡器的原理
石英晶体是一种可将电能和机械能相互转化的压电器件,能量转变发生在共振频率点上。
振荡器由一个放大器和反馈网络组成,反馈网络的作用是频率选择。
振荡器的基本原理框图如下
添加图片注释,不超过 140 字(可选)
其中,
A(f)是放大器部分,给这个闭环系统提供能量以保持其振荡;
B(f)是反馈网络,它决定了振荡器的频率。
添加图片注释,不超过 140 字(可选)
添加图片注释,不超过 140 字(可选)
为了起振,Barkhausen条件必须得到满足;即闭环增益应大于1,并且总相移为360°的整数倍。
添加图片注释,不超过 140 字(可选)
为了让振荡器工作,要保证|A(f)|*|B(f)| >> 1;这意味着开环增益应远大于1,到达稳定振荡所需的时间取决于开环增益。
然而,仅满足以上条件还不能够解释为什么晶体振荡器可以起振。
为了起振,还需要向其提供启动所需的电能。
一般来说,上电的能量瞬变以及噪声可以提供所需的能量;需要注意的是这个启动能量应该足够多,从而能够保证通过触发使振荡器在所需的频率工作。
实际上,在这种条件下的放大器是非常不稳定的,任何干扰进入这种正反馈闭环系统都会使其不稳定并引发振荡启动。
干扰可能源于上电,器件禁用/使能的操作以及晶振热噪声等;
同时必须注意的是,只有在晶振工作频率范围内的噪声才能被放大,
这部分噪声能量对于噪声的全部能量来说只是一小部分,
这也是晶体振荡器需要相当长的时间才能启动的原因。
总结:起振必须满足以下条件
①闭环增益应大于1;
②并且总相移为360°的整数倍。
3、皮尔斯振荡器
皮尔斯晶体振荡器具有外部组件较少、低成本、低功耗以及稳定性好等特点,被广泛应用。
皮尔斯振荡器电路如下
添加图片注释,不超过 140 字(可选)
其中,
Inv:内部反相放大器;
Q:石英晶体或陶瓷谐振器;
RF:内部反馈电阻;
RExt:外部串联电阻,限制反相器输出电流;
CL1、CL2:外部匹配电容;
Cs:杂散电容,是器件引脚电容(OSC_IN和OSC_OUT)和PCB(寄生)电容的总和。
4、皮尔斯振荡器设计
1> 反馈电阻
在ST制造的大多数MCU/MPU中,RF内嵌在振荡器电路中,它的作用是通过引入反馈使反向器的功能等同于放大器。
反馈电阻器连接在Vin和Vout之间,以将放大器偏置到Vout=Vin,并迫使反向器工作在线性区域(Figure 6中的阴影区域)。
噪声(例如晶体的热噪声)在串并频率(Fa,Fp)的范围内被放大,从而开始振荡。
晶振正常工作区域内(Fs与Fa之间)的噪声(例如晶振的热噪声)被放大器放大,从而开始起振。
在某些情况下,起振后去掉反馈电阻RF,振荡器仍可以继续正常工作。
添加图片注释,不超过 140 字(可选)
针对不同的频率给出了典型反馈电阻值参考如下
添加图片注释,不超过 140 字(可选)
2> 负载电容CL
负载电容CL是指连接到晶体振荡器的电路的端子电容;CL值一般由晶体制造商给出,假设为CLa;
通过外部电容CL1和CL2以及印刷电路板和连接的杂散电容(Cs)调整出CL的期望值CLb。
振荡频率精度,主要取决于振荡电路的实际负载电容与晶体制造商给出的值是否相同,可简单理解为CLa与CLb是否相同;振荡频率频率稳定性要求负载电容恒定。
调整外部电容器CL1和CL2,使振荡电路实际的负载电容CLb等于晶振制造商标定的负载值CLa参数(晶体规格书中会提供),就可以得到标称振荡频率。
CL值由晶体制造商指定;为了使频率准确,振荡器电路对晶体的负载电容必须与晶体被调整的负载电容相同。
外部电容器CL1和CL2用于调谐CL的期望值,以达到晶体制造商指定的值。
CL的表达式如下
添加图片注释,不超过 140 字(可选)
Cs:杂散电容,是器件引脚电容(OSC_IN和OSC_OUT)和PCB(寄生)电容的总和。
举个栗子:
一个晶体,其规格书中提到CL =10pF,我们假定杂散电容Cs = 5pF,
添加图片注释,不超过 140 字(可选)
外部匹配电容CL1、CL2为10pF。
晶体频率偏差是指晶体输出的频率与其标称频率之间的差异,
频率偏差对电路的工作稳定性、精度均有影响,在电路设计、制造中需要对频率偏差进行合理的控制和调整。
频率偏差原因:
本身的制造误差:主要受设备精度影响。在制造过程中因设备原因,通常会设定在一定频偏的误差范围下进行生产,所以晶体的频率和标称频谱会存在一定的偏差。
环境温度变化:晶振的频率与环境温度也有关系,当环境温度发生变化时,晶振的频率也会发生相应的变化。这也是产品生产时关注生产车间温度恒定状况的一个重要因素。
电源电压波动:晶体的频率与电源电压也有一定的关系,电源电压发生波动时,晶体的频率也会发生相应的变化。电路设计时均要求提供稳定的电源电压,这对晶体的选型基本没有多大影响。
3> 振荡器增益裕量
理论上,为了使振荡开始并达到稳定的相位,振荡器必须提供足够的增益来补偿环路损耗并为振荡的建立提供能量;
前面有提到,增益裕量是振荡器正常起振的必须条件之一。
增益裕量的表达式如下
添加图片注释,不超过 140 字(可选)
其中,
gm:反相器的跨导(高频时单位是mA/V,低频时是μA/V,比如32Khz);
gmcrit (gm critical):取决于晶体参数。
假设外部匹配电容CL1=CL2,并且晶体在PCB板上的CL值与其制造商的给定值相同,
则gmcrit的表达式如下
添加图片注释,不超过 140 字(可选)
其中,
ESR:等效串联电阻;
C0:晶体分流电容;
CL:晶体额定负载电容;
F:晶体标称振荡频率。
必须满足gm>gmcrit, 才满足起振的条件;
满足增益裕度>5的条件,振荡器才能达到稳定振荡。
建议选择低ESR、低CL的晶体。
举个栗子:
某个MCU振荡回路的跨导值(gm)为25mA/V;
所选晶体相关参数如下
F = 8 MHz
C0 = 7 pF
CL = 10 pF
ESR = 80 Ω
计算gmcrit
添加图片注释,不超过 140 字(可选)
添加图片注释,不超过 140 字(可选)
计算gain
添加图片注释,不超过 140 字(可选)
增益裕度足以开始振荡,并且满足增益裕度>5的条件。
如果增益裕量<5,可能无法稳定振荡,建议选择低ESR、低CL的晶体。
5、激励功率DL和外部串阻RExt的计算
激励功率DL和外部串阻RExt两个参数是相互联系的。
1> 激励功率DL的计算
激励功率描述了晶体的功率。
晶体的功耗必须限制在某一范围内,否则石英晶体可能会因为过度的机械振动而失效。
最大激励功率由晶体制造商给出,以mW为单位,超过此值可能导致晶体损坏,或缩短设备寿命。
激励功率DL—计算方式①
激励功率计算表达式如下
添加图片注释,不超过 140 字(可选)
其中,
ESR:晶体的等效串联电阻(其值制造商给出);
IQ:流过晶体的电流的均方根有效值,使用示波器可观测到其波形为正弦波,电流值可使用峰-峰值(IPP)。
当使用电流探头时(如图Figure7),示波器的量程比例可能需要设置为1mA/1mV。
添加图片注释,不超过 140 字(可选)
如前所述,当使用电位器调整电流值,可使流过晶体的电流不超过最大电流有效值IQmaxrms(假设流过晶体的电流波形为正弦波)。
最大电流有效值IQmaxrms计算表达式如下
添加图片注释,不超过 140 字(可选)
因此,流过晶体的电流峰峰值IPP(可从示波器读到)不应超过IQmaxPP,
IQmaxPP计算表达式如下
添加图片注释,不超过 140 字(可选)
当IQ超过IQmaxPP时,RExt是必需的,并且RExt要加入到ESR中去参与计算IQmax。
这也就是为什么需要外部电阻RExt!
激励功率DL—计算方式②
激励功率计算表达式如下
添加图片注释,不超过 140 字(可选)
其中,
IQRMS是交流电流的均方根有效值。
IQRMS可以通过使用小电容(<1pF)示波器探头在放大器的输入端,测量电压变化得到。
与流过CL1的电流相比,放大器的输入电流可以忽略不计,
所以可以假定流过晶体的电流等于流过CL1的电流;
电压的有效值与电流的有效值的关系表达式如下
添加图片注释,不超过 140 字(可选)
其中,
F:晶体振荡频率;
Ctot = CL1 + (CS/2) + Cprobe;
CL1:放大器输入端的外部电容;
CS:杂散电容;
Cprobe:示波器探头的电容。
添加图片注释,不超过 140 字(可选)
Vpp:测量得到的CL1两端电压的峰峰值
将以上等式带入,可得
添加图片注释,不超过 140 字(可选)
通过测量值计算得到的DL值一定不能超过晶体制造商规定的最大DL值,超过此值可能导致晶体损坏,或缩短设备寿命。
2> 外部串阻RExt的计算
外部串阻RExt的作用是限制晶体的激励功率;
同时,外部串阻RExt与CL2组成一个低通滤波器,以确保振荡器的起振点在基频上,而不是在其他高次谐波频率点上(避免3次,5次,7次谐波频率)。
-
若晶体的激励功率小于晶振制造商的规定值,没必要使用外部串联电阻RExt,可以焊接0Ω。
-
若晶体的激励功率超过晶振制造商的规定值,有必要使用外部串联电阻RExt降低晶体的激励功率,防止损坏避免晶体被过驱动。
首先,预估RExt值,
通过由RExt和CL2构成的低通滤波器来估算RExt,通带宽度应不小于振荡器频率;
当振荡频率与低通滤波器的截止频率相等时,有表达式如下
添加图片注释,不超过 140 字(可选)
举个栗子:
当振荡频率F = 8MHz,CL2 = 15pF;
RExt = 1326Ω。
其次,优化RExt值,
先根据前面负载电容CL小节里的方法,确定匹配电容CL1和CL2的值,
然后,使用可调电位器替代Rext,RExt值可预设为CL2的电抗值,
再调整可调电位器的阻值,直到能满足晶体的激励功率要求。
需要注意的是,
最后,重新计算振荡器增益裕量gainmargin
计算出Rext值后,还要将Rext值加入到ESR中,
添加图片注释,不超过 140 字(可选)
重新计算前面提到的振荡器增益裕量gainmargin(保证gm >5 * gmcrit),从而确保RExt值对振荡条件没有影响。
如果RExt值太小,晶体上可能会承担太多的功耗。如果RExt值太大,振荡器起振条件将得不到满足从而无法正常工作
这也是晶体振荡器需要相当长的时间才能启动的原因。
如果RExt太小,晶体的功耗会显著增加; 如果RExt过高,不能满足振荡器的起振条件,导致不振荡。
6、启动时间
启动时间指的是振荡器从开始振荡到稳定振荡所需的时间;
启动时间取决于所用谐振器的品质因素Q等因素,陶瓷晶体振荡器的启动时间比石英晶体振荡器的启动时间更长。
启动时间除了受品质因素Q影响外;
还取决于外部匹配电容CL1、CL2,以及晶体频率。
晶体标称频率越高,启动时间越短;
此外,启动问题通常是由增益裕度的不正确(如前所述)而出现的;
这是由CL1、CL2太小或太大,或者ESR太高引起的。
通常,
几MHz标称频率晶体的启动时间在几ms内;
32.768kHz的标称频率晶体的启动时间为1~5s。
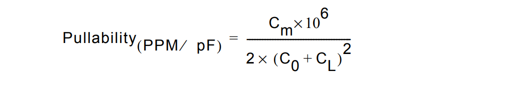
7、晶体的牵引度
晶体的牵引度,也叫晶体灵敏度;
是指工作在正常并联谐振区的晶振频率的变化率。
表征负载电容的微小变化对振荡频率偏移的影响,负载电容的任何变化都会引起振荡频率的偏移。
振荡器负载电容CL受以下因素影响:
a. 外部匹配电容CL1、CL2;
b. PCB走线带来的杂散电容;
c. 振荡器引脚的寄生电容。
晶体的牵引度表达式如下
添加图片注释,不超过 140 字(可选)
其中,
Cm:晶体运动电容(pF级);
C0:晶体并联电容(pF级);
CL:晶体标称负载电容(pF级)。
8、安全系数Sf
1> 定义
谐振器(如晶体谐振器)经历老化效应,随着时间的推移,表现为谐振器参数与规范定义的值的偏差;
在受影响的参数中有谐振器ESR,其值取决于环境条件,如湿度和温度;振荡器跨导取决于电源电压和温度。
安全系数参数能够确定振荡器在工作条件和应用寿命期间的安全运行; 安全系数表征振荡器在工作条件下不发生故障的能力。
安全系数Sf:振荡器负性阻抗与其ESR之间的比值,表达式如下
添加图片注释,不超过 140 字(可选)
2> 测量方法
为了测量振荡器的负性阻抗,在谐振器上串联添加一个电阻(如Figure 8所示)。
添加图片注释,不超过 140 字(可选)
振荡器负性阻抗是阻止振荡器成功启动的最小串联电阻RADD的值。
在实践中,这个值是通过进行一系列实验来设置的,在这些实验中,串联电阻的值与之前的实验相比略有增加。当振荡器无法正确启动时,停止增加;振荡器负性阻抗等于所加串联电阻的值。
3> 安全系数Sf推荐值
嵌入STM32和STM8设备的振荡器的安全系数Sf如下图(Table 4)
添加图片注释,不超过 140 字(可选)
对于LSE振荡器,当Sf≥3时,振荡是安全稳定的; 对于HSE振荡器,当Sf≥5时,振荡是安全稳定的。 LSE:Low Speed External HSE:High Speed External
不仅嵌入STM32和STM8设备的振荡器需要满足上述的安全系数,大多数内嵌振荡器的安全系数都要求负性阻抗在3~5倍;
这样才能确保振荡器在工作条件以及应用寿命期间的安全运行。
负性阻抗测试是三炮儿供职公司的单板硬件测试中必不可少的项目之一,一般要求5倍的负性阻抗,如上图Figure 8所示
举个栗子:
某晶体的ESR为50Ω,为满足5倍的负性阻抗,在Figure 8中的RADD位置焊接亦可200Ω的电阻;
若该单板上电后CPU能启动,示波器能测到晶体时钟信号,则证明满足5倍的负性阻抗,负性阻抗测试项通过。
添加图片注释,不超过 140 字(可选)
9、晶体及外部组件选型准
1> 计算增益裕量gainmargin
首先,选择一个晶体(根据CPU需求、封装大小要求等);
然后,计算晶体增益裕量(gainmargin);
若gainmargin > 5,说明这是一个合适的晶振;
若gainmargin < 5,说明这不是一个合适的晶振,
重新选一个低ESR、低CL值的晶体,直到其gainmargin > 5。
2>计算外部匹配电容CL1、CL2
根据上述提到的计算方法计算出CL1和CL2的值,并确认市场上是否能买到该容值的电容,
如果能买到,则晶振可以在期望的频率正常起振。
如果买不到,对振荡频率频的要求不是特别严苛时,选择能买到的电容中容值最接近的电容。
3> 计算激励功率DL、RExt
首先,计算激励功率DL,并晶体规格书中给定的DLcrystal比较:
a. 若DL < DLcrystal,没必要使用外部串联电阻RExt,该晶体合适;
b. 若DL > DLcrystal,有必要使用外部串联电阻RExt,
根据上述提到的计算方法计算出RExt值(确保DL< DLcrystal)
然后,在上述基础上,重新计算gainmargin,
若gainmargin > 5,该晶体合适。
若Gainmargin< 5,回到1> 重新选颗晶体...
有的晶体制造商提供的规格书中也会给出相应的外部组件参考值。
五、PCB Layout指导参考
1> 降低外部杂散电容、电感值,避免晶振进入非正常工作模式或造成起振不正常等问题;
2> 走线尽可能短,振荡器路径及外围器件必须远离传输高频信号;
3> 专用接地平面用于信号隔离和减少噪声;
在晶体的保护环(在器件或走线外铺出一圈用于屏蔽干扰的导线环,一般要求理论上没有电流从该导线环上经过)下直接敷地有助于将晶体和来自其他PCB层的噪声隔离开;
振荡器专用接地平面要靠近晶体并且只限于晶体下面,切记不能将此专用接地平面敷满整个PCB板;
振荡器接地平面应连接到最近的MCU/MPU的地,以防止振荡器组件和其他应用程序组件之间的干扰。
4> 在VDD与VSS上接去耦电容以平滑噪声。
5> 将振荡器的输入与输出隔离开来,同时也将振荡器与临近的电路隔离;
所有的VSS过孔都不是直接连到地平面上(除晶振焊盘之外),而是连接到CL1和CL2下方的地线(振荡器专用接地平面)上;如下图Figure 13 振荡器电路的推荐布局。
添加图片注释,不超过 140 字(可选)
六、晶体/晶振相关的硬件测试项
幅值、频率及频率稳定性、占空比、相噪、稳定性测试:负性阻抗(3~5倍)、包络测试(无抖动)等...
一般晶体相关的硬件测试项包括但不限于以上项目;
负性阻抗测试方法前面已经介绍,其余测试项的具体测试方法不再阐述,有兴趣的小伙伴可以自行查询。
以上内容参考ST官方设计指南、海创电子选型手册,可在其官网下载。
也可在同名微信公众号回复关键词 晶体晶振指南 获取手册合辑。
更多笔记
为什么总是习惯将 1uF和 0.1uF 的两个电容并联摆放在电路中
这里是软磨硬泡公众号,号主三炮儿的硬件开发学习笔记、经验分享
学习分享以助能力增长,经验交流以期跻身一流
同名微信公众号:软磨硬泡
7945

被折叠的 条评论
为什么被折叠?



