目录
1. ⼆叉搜索树的概念
⼆叉搜索树⼜称⼆叉排序树,它或者是⼀棵空树,或者是具有以下性质的⼆叉树:
1. 若它的左⼦树不为空,则左⼦树上所有结点的值都⼩于等于根结点的值
2. 若它的右⼦树不为空,则右⼦树上所有结点的值都⼤于等于根结点的值
3. 它的左右⼦树也分别为⼆叉搜索树
4. ⼆叉搜索树中可以⽀持插⼊相等的值,也可以不⽀持插⼊相等的值,具体看使⽤场景定义,map/set/multimap/multiset系列容器底层就是⼆叉搜索树,其中map/set不⽀持插⼊相等值,multimap/multiset⽀持插⼊相等值

2. ⼆叉搜索树的性能分析
最优情况下,⼆叉搜索树为完全⼆叉树(或者接近完全⼆叉树),其⾼度为: O(log2 N)
最差情况下,⼆叉搜索树退化为单⽀树(或者类似单⽀),其⾼度为: O( 2/N)
所以综合⽽⾔⼆叉搜索树增删查改时间复杂度为: O(N)
那么这样的效率显然是⽆法满⾜我们需求的,我们后续课程需要继续讲解⼆叉搜索树的变形,平衡⼆叉搜索树AVL树和红⿊树,才能适⽤于我们在内存中存储和搜索数据
另外需要说明的是,⼆分查找也可以实现 O(logN) 级别的查找效率,但是⼆分查找有两⼤缺陷:
1. 需要存储在⽀持下标随机访问的结构中,并且有序
2. 插⼊和删除数据效率很低,因为存储在下标随机访问的结构中,插⼊和删除数据⼀般需要挪动数据
这⾥也就体现出了平衡⼆叉搜索树的价值

3. ⼆叉搜索树的插⼊
插⼊的具体过程如下:
1. 树为空,则直接新增结点,赋值给root指针
2. 树不空,按⼆叉搜索树性质,插⼊值⽐当前结点⼤往右⾛,插⼊值⽐当前结点⼩往左⾛,找到空位置,插⼊新结点
3. 如果⽀持插⼊相等的值,插⼊值跟当前结点相等的值可以往右⾛,也可以往左⾛,找到空位置,插⼊新结点。(要注意的是要保持逻辑⼀致性,插⼊相等的值不要⼀会往右⾛,⼀会往左⾛)

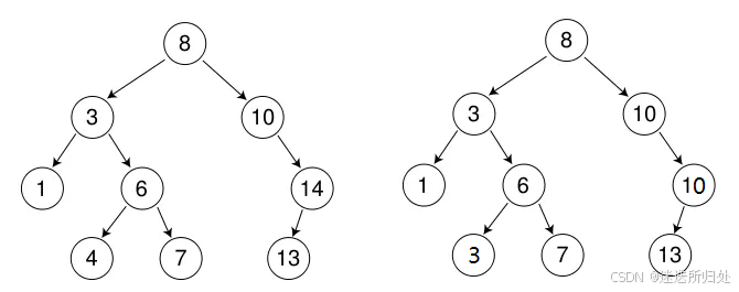
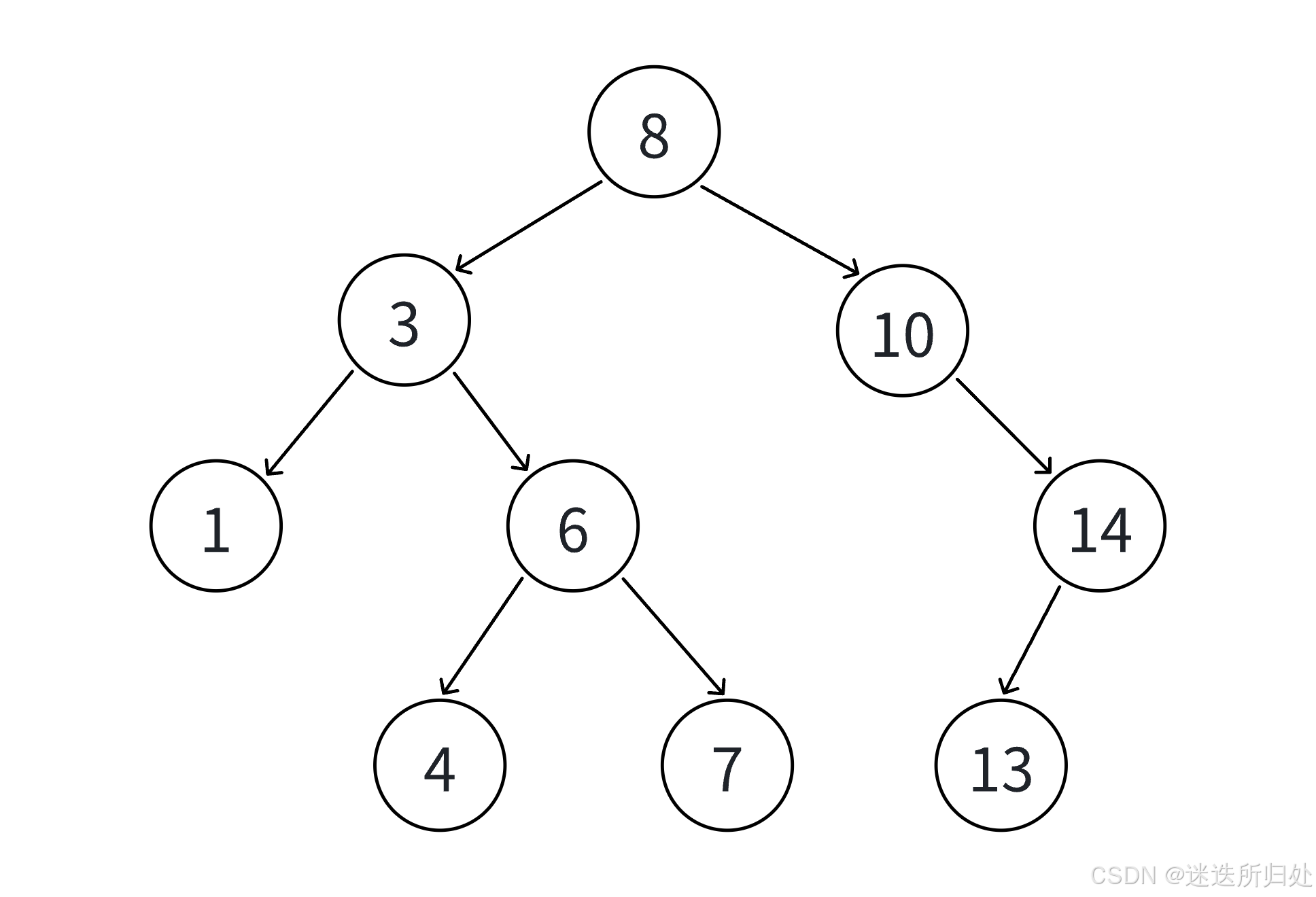
int a[] = {8, 3, 1, 10, 6, 4, 7, 14, 13};


//插入
//插⼊值⽐当前结点⼤往右⾛,插⼊值⽐当前结点⼩往左⾛,找到空位置,插⼊新结点
bool Insert(const K& key)
{
//如果树为空
if (_root == nullptr)
{
_root = new Node(key);
return true;
}
//parent记录父节点才能插入子节点
Node* parent = nullptr;
Node* cur = _root;
while (cur)
{
//插⼊值⽐当前结点⼤往右⾛
if (cur->_key < key)
{
parent = cur;
cur = cur->_right;
}
//插⼊值⽐当前结点⼩往左⾛
else if (cur->_key > key)
{
parent = cur;
cur = cur->_left;
}
//遇到重复的不插入
else
{
return false;
}
}
//找到空位置,插⼊新结点
cur = new Node(key, value);
if (parent->_key < key)
{
parent->_right = cur;
}
else
{
parent->_left = cur;
}
return true;
}
4. ⼆叉搜索树的查找
1. 从根开始⽐较,查找x,x⽐根的值⼤则往右边⾛查找,x⽐根值⼩则往左边⾛查找
2. 最多查找⾼度次,⾛到到空,还没找到,这个值不存在
3. 如果不⽀持插⼊相等的值,找到x即可返回
4. 如果⽀持插⼊相等的值,意味着有多个x存在,⼀般要求查找中序的第⼀个x。如下图,查找3,要找到1的右孩⼦的那个3返回

//查找
bool Find(const K& key)
{
Node* cur = _root;
while (cur)
{
if (cur->_key < key)
{
cur = cur->_right;
}
else if (cur->_key > key)
{
cur = cur->_left;
}
else
{
return true;
}
}
return false;
}
5. ⼆叉搜索树的删除(重点)
⾸先查找元素是否在⼆叉搜索树中,如果不存在,则返回false
如果查找元素存在则分以下四种情况分别处理:(假设要删除的结点为N)
1. 要删除结点N左右孩⼦均为空
2. 要删除的结点N左孩⼦位空,右孩⼦结点不为空
3. 要删除的结点N右孩⼦位空,左孩⼦结点不为空
4. 要删除的结点N左右孩⼦结点均不为空
对应以上四种情况的解决⽅案:
1. 把N结点的⽗亲对应孩⼦指针指向空,直接删除N结点(情况1可以当成2或者3处理,效果是⼀样的)
2. 把N结点的⽗亲对应孩⼦指针指向N的右孩⼦,直接删除N结点
3. 把N结点的⽗亲对应孩⼦指针指向N的左孩⼦,直接删除N结点
4. ⽆法直接删除N结点,因为N的两个孩⼦⽆处安放,只能⽤替换法删除
找N左⼦树的值最⼤结点R(最右结点)或者N右⼦树的值最⼩结点R(最左结点)替代N,因为这两个结点中任意⼀个,放到N的位置,都满⾜⼆叉搜索树的规则
替代N的意思就是N和R的两个结点的值交换,转⽽变成删除R结点,R结点符合情况2或情况3,可以直接删除
//删除
bool Erase(const K& key)
{
Node* parent = nullptr;
Node* cur = _root;
while (cur)
{
if (cur->_key < key)
{
parent = cur;
cur = cur->_right;
}
else if (cur->_key > key)
{
parent = cur;
cur = cur->_left;
}
else
{
// 删除
// 左为空
if (cur->_left == nullptr)
{
if (cur == _root)
{
_root = cur->_right;
}
else
{
if (parent->_left == cur)
{
parent->_left = cur->_right;
}
else
{
parent->_right = cur->_right;
}
}
delete cur;
}
else if (cur->_right == nullptr)
{
if (cur == _root)
{
_root = cur->_left;
}
else
{
// 右为空
if (parent->_left == cur)
{
parent->_left = cur->_left;
}
else
{
parent->_right = cur->_left;
}
}
delete cur;
}
else
{
// 左右都不为空
// 右子树最左节点
Node* replaceParent = cur;
Node* replace = cur->_right;
while (replace->_left)
{
replaceParent = replace;
replace = replace->_left;
}
cur->_key = replace->_key;
if (replaceParent->_left == replace)
replaceParent->_left = replace->_right;
else
replaceParent->_right = replace->_right;
delete replace;
}
return true;
}
}
return false;
}
6. ⼆叉搜索树key和key/value使用场景
6.1 key搜索场景
只有key作为关键码,结构中只需要存储key即可,关键码即为需要搜索到的值,搜索场景只需要判断key在不在。key的搜索场景实现的⼆叉树搜索树⽀持增删查,但是不⽀持修改,修改key破坏搜索树结构了
场景1:⼩区⽆⼈值守⻋库,⼩区⻋库买了⻋位的业主⻋才能进⼩区,那么物业会把买了⻋位的业主的⻋牌号录⼊后台系统,⻋辆进⼊时扫描⻋牌在不在系统中,在则抬杆,不在则提⽰⾮本⼩区⻋辆,⽆法进⼊
场景2:检查⼀篇英⽂⽂章单词拼写是否正确,将词库中所有单词放⼊⼆叉搜索树,读取⽂章中的单词,查找是否在⼆叉搜索树中,不在则波浪线标红提⽰
//key模型
namespace key
{
//创建二叉搜索树
template<class K>
struct BSTNode
{
K _key;
BSTNode<K>* _left;
BSTNode<K>* _right;
BSTNode(const K& key)
:_key(key)
, _left(nullptr)
, _right(nullptr)
{}
};
template<class K>
class BSTree
{
typedef BSTNode<K> Node;
//using Node = BSTNode<K>;
public:
bool Insert(const K& key)
{
if (_root == nullptr)
{
_root = new Node(key);
return true;
}
Node* parent = nullptr;
Node* cur = _root;
while (cur)
{
if (_root->_key < key)
{
parent = cur;
cur = cur->_right;
}
else if (_root->_key > key)
{
parent = cur;
cur = cur->_left;
}
else
{
return false;
}
}
cur = new Node(key);
if (parent->_key < key)
{
parent->_right = cur;
}
else
{
parent->_left = cur;
}
return true;
}
//使用公有成员函数调用私有可以避免实例化调用时无法使用私有成员变量的问题
void InOrder()
{
_InOrder(_root);
cout << endl;
}
//查找
bool Find(const K& key)
{
Node* cur = _root;
while (cur)
{
if (cur->_key > key)
{
cur = cur->_left;
}
else if (cur->_key < key)
{
cur = cur->_right;
}
else
{
return true;
}
}
return false;
}
//删除
bool Erase(const K& key)
{
Node* cur = _root;
Node* parent = nullptr;
while (cur)
{
if (cur->_key < key)
{
parent = cur;
cur = cur->_right;
}
else if (cur->_key > key)
{
parent = cur;
cur = cur->_left;
}
else
{
//删除
//1.左为空
if (cur->_left == nullptr)
{
//当需要删除根节点
//需要特殊处理
if (cur == _root)
{
_root = cur->_right;
}
else
{
//当前节点为父节点的左节点
//则将父节点的左指针指向被删除节点的左节点
if (parent->_left == cur)
{
parent->_left = cur->_right;
}
//当前节点为父节点的右节点
//则将父节点的右指针指向被删除节点的左节点
else
{
parent->_right = cur->_right;
}
}
delete cur;
}
//2.右为空
else if (cur->_right == nullptr)
{
//需要删除的是根节点
if (cur == _root)
{
_root = cur->_left;
}
else
{
//当前节点为父节点的左节点
//则将父节点的左指针指向被删除节点的右节点
if (parent->_left == cur)
{
parent->_left = cur->_left;
}
//当前节点为父节点的右节点
//则将父节点的右指针指向被删除节点的右节点
else
{
parent->_right = cur->_left;
}
}
delete cur;
}
else
{
//左右都不为空
//此时需要寻找一个替代节点来保证不违反搜索二叉树的规则
//还可以保证删除时步骤冗余
//即左子树的最右节点或者右子树的最左节点都可以
//右子树的最左节点
Node* replaceParent = cur;
Node* replace = cur->_right;
while (cur->_left)
{
//寻找右子树的最左节点
replaceParent = replace;
replace = replace->_left;
}
cur->_key = replace->_key;
if (replaceParent->_left == replace)
{
//replace的左节点一定为空,所以用他的父节点指向他的右节点
replaceParent->_left = replace->_right;
}
else
{
replaceParent->_right = replace->_right;
}
delete replace;
}
return true;
}
}
return false;
}
private:
//中序遍历
//此时中序遍历就满足了递增排序
void _InOrder(Node* root)
{
if (root == nullptr)
{
return;
}
_InOrder(root->_left);
cout << root->_key << " ";
_InOrder(root->_right);
}
private:
Node* _root = nullptr;
};
}
6.2 key/value搜索场景
每⼀个关键码key,都有与之对应的值value,value可以任意类型对象。树的结构中(结点)除了需要存储key还要存储对应的value,增/删/查还是以key为关键字⾛⼆叉搜索树的规则进⾏⽐较,可以快速查找到key对应的value。key/value的搜索场景实现的⼆叉树搜索树⽀持修改,但是不⽀持修改key,修改key破坏搜索树结构了,可以修改value
场景1:简单中英互译字典,树的结构中(结点)存储key(英⽂)和vlaue(中⽂),搜索时输⼊英⽂,则同时查找到了英⽂对应的中⽂
场景2:商场⽆⼈值守⻋库,⼊⼝进场时扫描⻋牌,记录⻋牌和⼊场时间,出⼝离场时,扫描⻋牌,查找⼊场时间,⽤当前时间-⼊场时间计算出停⻋时⻓,计算出停⻋费⽤,缴费后抬杆,⻋辆离场
场景3:统计⼀篇⽂章中单词出现的次数,读取⼀个单词,查找单词是否存在,不存在这个说明第⼀次出现,(单词,1),单词存在,则++单词对应的次数
//key_value模型
namespace key_val
{
//创建二叉搜索树
template<class K, class V>
struct BSTNode
{
K _key;
V _value;
BSTNode<K, V>* _left;
BSTNode<K, V>* _right;
BSTNode(const K& key, const V& value)
:_key(key)
,_value(value)
, _left(nullptr)
, _right(nullptr)
{}
};
template<class K, class V>
class BSTree
{
typedef BSTNode<K, V> Node;
//using Node = BSTNode<K, V>;
public:
//后序析构
void Destroy(Node* root)
{
if (root == nullptr)
{
return;
}
Destroy(root->left);
Destroy(root->right);
delete root;
}
~BSTree()
{
Destroy(_root);
_root = nullptr;
}
Node* Copy(Node* root)
{
if (root == nullptr)
{
return nullptr;
}
//前序遍历拷贝树
Node* newRoot = new Node(root->_key, root->_value);
Copy(newRoot->left);
Copy(newRoot->right);
return newRoot;
}
//拷贝构造
BSTree(const BSTree& T)
{
_root = Copy(T._root);
}
//强制生成默认构造函数
BSTree() = default;
//赋值重载
BSTree& operator=(BTNode tmp)
{
swap(_root, tmp._root);
return *this;
}
bool Insert(const K& key, const V& value)
{
if (_root == nullptr)
{
_root = new Node(key, value);
return true;
}
Node* parent = nullptr;
Node* cur = _root;
while (cur)
{
if (_root->_key < key)
{
parent = cur;
cur = cur->_right;
}
else if (_root->_key > key)
{
parent = cur;
cur = cur->_left;
}
else
{
return false;
}
}
cur = new Node(key, value);
if (parent->_key < key)
{
parent->_right = cur;
}
else
{
parent->_left = cur;
}
return true;
}
//使用公有成员函数调用私有可以避免实例化调用时无法使用私有成员变量的问题
void InOrder()
{
_InOrder(_root);
cout << endl;
}
//查找
Node* Find(const K& key)
{
Node* cur = _root;
while (cur)
{
if (cur->_key > key)
{
cur = cur->_left;
}
else if (cur->_key < key)
{
cur = cur->_right;
}
else
{
return cur;
}
}
return nullptr;
}
//删除
bool Erase(const K& key)
{
Node* cur = _root;
Node* parent = nullptr;
while (cur)
{
if (cur->_key < key)
{
parent = cur;
cur = cur->_right;
}
else if (cur->_key > key)
{
parent = cur;
cur = cur->_left;
}
else
{
//删除
//1.左为空
if (cur->_left == nullptr)
{
//当需要删除根节点
//需要特殊处理
if (cur == _root)
{
_root = cur->_right;
}
else
{
//当前节点为父节点的左节点
//则将父节点的左指针指向被删除节点的左节点
if (parent->_left == cur)
{
parent->_left = cur->_right;
}
//当前节点为父节点的右节点
//则将父节点的右指针指向被删除节点的左节点
else
{
parent->_right = cur->_right;
}
}
delete cur;
}
//2.右为空
else if (cur->_right == nullptr)
{
//需要删除的是根节点
if (cur == _root)
{
_root = cur->_left;
}
else
{
//当前节点为父节点的左节点
//则将父节点的左指针指向被删除节点的右节点
if (parent->_left == cur)
{
parent->_left = cur->_left;
}
//当前节点为父节点的右节点
//则将父节点的右指针指向被删除节点的右节点
else
{
parent->_right = cur->_left;
}
}
delete cur;
}
else
{
//左右都不为空
//此时需要寻找一个替代节点来保证不违反搜索二叉树的规则
//还可以保证删除时步骤冗余
//即左子树的最右节点或者右子树的最左节点都可以
//右子树的最左节点
Node* replaceParent = cur;
Node* replace = cur->_right;
while (cur->_left)
{
//寻找右子树的最左节点
replaceParent = replace;
replace = replace->_left;
}
cur->_key = replace->_key;
if (replaceParent->_left == replace)
{
//replace的左节点一定为空,所以用他的父节点指向他的右节点
replaceParent->_left = replace->_right;
}
else
{
replaceParent->_right = replace->_right;
}
delete replace;
}
return true;
}
}
return false;
}
private:
//中序遍历
//此时中序遍历就满足了递增排序
void _InOrder(Node* root)
{
if (root == nullptr)
{
return;
}
_InOrder(root->_left);
cout << root->_key << ":" << root->_value << endl;
_InOrder(root->_right);
}
private:
Node* _root = nullptr;
};
}
感谢观看,完结撒花~





2010

被折叠的 条评论
为什么被折叠?



