因为业务需要之前在百度搜了下这方面的资料,发现没有适用的(乱七八糟的一大堆),
用了个VPN,用google搜了下,资料也很少,
这边的问题已经解决了,同时也将方法告知大家。
1、获取redis文件夹下所有key
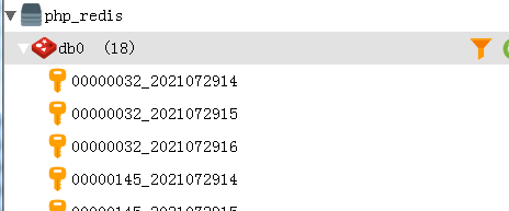
测试数据(可能有些人对redis的使用也比较少,如何使用文件夹也不清楚,尾部也有补充)

利用redisTemplate的keys()——通配符获取key的方法,即可实现




2、添加文件夹管理key方法
最初的可能是这样的

只需要在之前加入的key前加入【:】即可,例:patientRoles:00000035
读取时同样道理


本文分享了如何在Redis中高效地获取文件夹下的所有Key,以及如何进行键值管理。通过利用RedisTemplate的keys()方法配合通配符,可以方便地实现Key的检索。同时,介绍了在键名前添加特定前缀来组织键的策略,便于管理和读取。此方法尤其适用于对Redis操作不够熟悉或者需要整理键空间的读者。
1887

被折叠的 条评论
为什么被折叠?



