问:现有10件产品,3件次品,7件正品,不放回的取,求第三次取得次品的概率
分析:这是典型的用全概率公式的题目,但是也有方便计算的其他解法
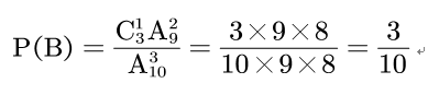
法一:全概率公式
这个不用多解释了,解法如下

法二:排列
全概率公式算起来有些麻烦
还有一种做法:

为什么是这样呢,很简单。给你10个产品让你依次取三次,不放回。
得到的结果,其实相当于把10个产品进行排列,取每一种排列方式的前三个产品。
这两种操作是等价的
十个产品排列出来,前三个位置有多少可能呢,是A(10,3),我们只要第三个是次品的情况
那就拿一个次品出来放到第三个位置上,是C(3,1),剩下的9个产品争两个位置,是A(9,2)
别看都是A,觉得麻烦,这是可以约的
这样算起来可以快一些,做选择填空时候方便一些
法三:抽签原理
明白了第二种方法之后,你有没有发现什么呢?
10个产品,3个次品,第三次取得次品的概率是3/10,那第一次取得次品的概率呢?
你肯定会算,也是3/10,第二次呢?你算一下,也是3/10
那是不是每一次都是3/10呢
哈哈,是滴,这就叫抽签原理
n个签,其中有m个是“上”签,第一个人抽到“上”签的概率是m/n,第k个人抽到“上”签的概率也是m/n
前提是:每个人都不知道前面人的抽签结果,如果知道的话,就不是这样了
所以呢,这也就说说明了,抽签先后顺序是不影响概率的,是公平的
所以,知道了抽签原理,再看这个问题
只用一秒就做出来了,3/10
补充:
上面这个题目太简单
我们做一个更复杂一点试试
一个盒子中有五个红球,五个白球,逐个抽取,不放回。求:取到两个白球和两个红球的概率是多少?
这就不能用抽签原理了~
10个球,4个位置,所以排列出来的情况是 A(10,4)
而我们要前四个球,两个白两个红
从前四个位置中选2个位置,是C(4,2),放红球,是A(5,2)
白球的位置不用选,因为4个位置,红球选剩下的放白球,是A(5,2)
故计算如下:

ps:还可以这样理解
你看A(10,4)=10x9x8x7 其实相等于你取4次,每次你面对的选择,第一次有10个选择,第二次9个,这是总的选择数
而四次中的两次,C(4,2),你必须选红球,红球有5个,第一次你有5种选择,第二次4种,所以是5x4。A(5,2)就是5x4
拓展一下,如果逐个取,每次放回,取4次,得到两个白两个红的概率是多少?
每次放回的取4次,也就是说,你每次都面对10个球,每次10个选择,所以共有10x10x10x10个选择
四次中选出2次,C(4,2) ,这两次你必须拿到红球,这两次你都是5个选择,所以是5x5
剩下两次必须拿白球,也是5x5,所以计算如下

4258

被折叠的 条评论
为什么被折叠?



