这篇文章的基础是欧洲央行官网的 yield curve technical notes,主要目的是写一下yield curve是如何计算得出的。
1. yield curve是一系列bond的收益率(的拟合曲线),这些bond都是欧洲政府发行的国债,这些国债需要满足若干条件:
1)在外发行总量必须大于 €5 billion
2)只选取zero coupon bond和fixed coupon bond,其他的像inflation related bond之类的都排除在外
3)债券的bid-ask spread必须小于3 bp
4)债券到期日期从3个月到30年
5)yield curve的credit risk分为两级:
a)只有AAA级政府债券
b)既有AAA级也有其他级政府债券
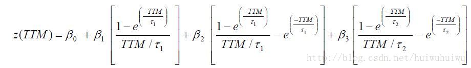
2. Spot Rate 的计算模型:
1)欧洲央行采用参数模型 Svensson Model,并且使用连续贴现模式,估计是用最小二乘法。
其中z是spot rate(input);Beta1、2、3和 tao 1、tao 2 是需要估计的参数,TTM是期限。
2)Instantous Forward rate 和 Spot rate的关系:
构想两种策略:
a. 在0时刻投资1欧元,直至 TTM 时刻,收获:。
b. 在0时刻投资1欧元,直至 t 时刻,收获:,再将这笔收入投入,至 TTM 时刻总共收获
。
在无套利环境下,两者的最终受益应当相同,因此:
(ECB 官网上的技术纪要里面并没有黄色高亮这一项,刚刚发邮件去问他们,等他们回复吧。)
于是,我们将上式对于TTM求导(瞬时Forward Rate),得到:
,表示的是在0时刻得到的 TTM时刻的瞬时远期利率(short rate)。
3. Spot Rate 和 Par yield curve 是不同的,使用Spot Rate 可以导出 Par Yield Curve 和 Instantanous Forward Curve!
4. 最后上一张图,给点Instantaneous Forward Rate 和 Spot Rate的关系(图里面的Forward也没标,先不看他)。

3135

被折叠的 条评论
为什么被折叠?



