MySql数据库索引的简单理解
1.索引的定义:
1.1:索引是对数据库表中一列或多列的值进行排序的一种结构,使用索引可快速访问数据库表中的特定信息。如果想按特定职员的姓来查找他或她,则与在表中搜索所有的行相比,索引有助于更快地获取信息。
2.索引的目的:
2.1:索引的一个主要目的就是加快检索表中数据,亦即能协助信息搜索者尽快的找到符合限制条件的记录ID的辅助数据结构。
3.索引的主要类型:
3.1索引分为聚簇索引和非聚簇索引两种,聚簇索引 是按照数据存放的物理位置为顺序的,而非聚簇索引就不一样了;聚簇索引能提高多 行检索的速度,而非聚簇索引对于单行的检索很快。
3.2根据数据库的功能,可以在数据库设计器中创建三种索引:唯一索引、主键索引和聚集索引。
3.2.1:唯一索引
唯一索引是不允许其中任何两行具有相同索引值的索引。当现有数据中存在重复的键值时,大多数数据库不允许将新创建的唯一索引与表一起保存。数据库还可能防止添加将在表中创建重复键值的新数据。例如,如果在employee表中职员的姓(lname)上创建了唯一索引,则任何两个员工都不能同姓。
3.2.2:主键索引
数据库表经常有一列或多列组合,其值唯一标识表中的每一行。该列称为表的主键。在数据库关系图中为表定义主键将自动创建主键索引,主键索引是唯一索引的特定类型。该索引要求主键中的每个值都唯一。当在查询中使用主键索引时,它还允许对数据的快速访问。
3.2.3:聚集索引
在聚集索引中,表中行的物理顺序与键值的逻辑(索引)顺序相同。一个表只能包含一个聚集索引。如果某索引不是聚集索引,则表中行的物理顺序与键值的逻辑顺序不匹配。与非聚集索引相比,聚集索引通常提供更快的数据访问速度。聚集索引和非聚集索引的区别,如字典默认按字母顺序排序,读者如知道某个字的读音可根据字母顺序快速定位。因此聚集索引和表的内容是在一起的。如读者需查询某个生僻字,则需按字典前面的索引,举例按偏旁进行定位,找到该字对应的页数,再打开对应页数找到该字。这种通过两个地方而查询到某个字的方式就如非聚集索引。
以上更多的是对所以概念的描述:
4. b+树:
例子 :
数据库中有一张 user 表: id 是主键

4.1 查询user表中的索引 show INDEX FROM user; 可以看到,主键索引默认的结构类型是 BTREE (B树)。

4.2 查询user表数据 SELECT * FROM USER; 可以看到,是默认按照主键的大小顺序排列的。 原因是,数据库会根据主键的大小,从小到大进行排序。

4.3 想象一下,如果没有主键,若此时需要找到 ID 为7的记录,数据库需要多少次才能找到?
正常的逻辑应该是按照磁盘写入的顺序,每次读取一条记录到内存,再进行条件比较,判断ID是否符合条件,那么答案应当是4次。(也就是4次io操作)
4.4 那么如果是要找 ID 为 5 的记录呢?
那么结果就是,遍历表中所有的记录,而且找不到ID 为5的这条记录。但是实际的IO操作是 8 次,那么问题就来了,这种方式的查询效率很低。
所以回头看下设置有主键索引的查询过程:id按照顺序排列,查询到第四次会读取到ID为7的记录,那么就可以判断ID为5的记录不存在。原因是5小于 7,而表中小于7的记录中,没有ID为5的记录,且7之后的记录也一定是不符合条件的,也没有必要再进行IO读取后判断。所以,4次即可。相对于前者,效率提升明显。
4.5 但其实每次我们进行条件查询时,查询到的并不只是自己给定的条件的记录,例如 查询ID 为1 的记录,实际查询到的是一个‘页’ 的记录。 例如执行查询ID为1的记录,但实际从磁盘读取到的数据 是ID为1的记录所属的那 ‘一页’的数据(页也可理解为一个容器)。至于一页的数据有多少条记录,那么则取决于两个方面,一是,页容量的大小,二是表中每条记录的大小。

4.5.1 : 页的大小: SHOW GLOBAL STATUS LIKE ‘INNODB_page_size’; 这里是接近16KB。(页的大小时可以调整的)

4.5.2 :记录的大小则取决于 设计表时,给每个字段设定的类型,int,varchar…(不同的字符集,大小不同)以及存储在记录中的数据的实际大小。
简单的理解,若是页的容量是 100 , 每条记录的大小恰好都是10 ,那么当查询ID为1的记录时,实际内存拿到的是ID为1-10的 10条记录。
4.53. 页的结构图: 如图,
页头(两个指针,分别指向上一页,和下一页,也就是链表结构)
页目录(下面单独解释)
用户数据区域(该页所对应的数据,上一条记录会指向下一条记录,单向的)

页目录: 可以想象成一本书的目录: 记录的都是某一章内容开始的最小的页数。
第一章…1; 第一章的开始页是: 1
第二章…30; 第二章的开始页是: 30
第三章…45; ~
第四章…70; ~
4.5.4 换个素材,这里解释下,一张表有5个字段,第一个字段是主键ID(其他四个字段无所谓,不说了)。这一页总的用户数据区域有四条记录。 页目录存放的是按组划分之后的ID。 两个也目录分别指向其所对应的记录。

此时若查找ID为3的记录,查询逻辑则是,首先查找页目录,判断3属于页目录中的哪一组,找到对应的组,之后再在组内进行判断,找到对应的记录。
4.5.5 随着数据量的增多,一页数据肯定无法存放所有的数据,那么与之对应的就会增加响应的页。如图:需要指出的是,页与页之间关联就是通过页头的指针进行关联的(双向链表),PS:素材里的第二页,应该是101页。

此时若查询ID为6的记录,则流程是,先从第一页开始,判断页目录是否包含或者符合条件,符合则再对记录进行筛选,知道拿到符合条件的记录。
4.5.7 其实页的功能是对数据的管理。 数据的增多会导致页数量的增多,那么页数量多了之后也面临需要管理的问题(管理起来可以提高查询效率),那么管理的解决方法也是相同的,新增一个目录页,之前管理数据的页,就称之为数据页。

目录页中记录多个数据页目录信息,信息包含数据页中ID的最小值,以及对应的数据页的地址信息。
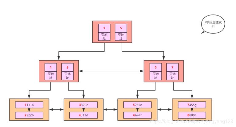
4.6 再来看下B树的结构:(MySql的B+树结构,和实际的B+树结构略有不同4.7会解释)
依次添加7个数:1.2.3.4.5.6.7 ,其按照B+树的结构如图:

特点是: 1. 非叶子节点,会冗余在叶子节点上。
2.叶子节点上面,会保存所有的数据。
3.叶子节点有一个指针,指向下一个节点数据。
总结下: 这个B+树种,既有非叶子节点,(索引),也有全部的数据(叶子节点),且是按数值的大小进行排序。
4.7: 对 4.5.7 进行整理后的示例MySql索引结构,如图:MySql 与 单纯B+树结构的不同是,MySql的叶子节点是双向的,而B+树叶子节点是单向的。 (个人理解是一种定制化的改进吧:例如需求是查询ID小于99的记录,单向就很尴尬,没有办法回头找)

通过4.6的描述总结,可以得知MySql的InnoDB中,主键索引的相关内容是:
- 主键索引,会在插入时,根据主键值的大小,自动排序,目的是提高查询效率。
- 主键索引也是 聚集索引,因为索引的叶子节点会包含完整的所有的数据。(索引和数据是在一起的)
补充中…
685

被折叠的 条评论
为什么被折叠?



