R语言之-caret包应用

因原文可能要翻墙才能阅读,故转来此地,希望对想研究caret包的童靴有帮助。

caret包应用之一:数据预处理:http://xccds1977.blogspot.hk/2011/09/caret.html

caret包应用之一:数据预处理

在进行数据挖掘时,我们会用到R中的很多扩展包,各自有不同的函数和功能。如果能将它们综合起来应用就会很方便。caret包(Classification and Regression Training)就是为了解决分类和回归问题的数据训练而创建的一个综合工具包。下面的例子围绕数据挖掘的几个核心步骤来说明其应用。

本例涉及到的数据是一个医学实验数据,载入数据之后可以发现其样本数为528,自变量数为342,mdrrDescr为自变量数据框,mdrrClass为因变量。
library(caret)
data(mdrr)
本例的样本数据所涉及到的变量非常多,需要对变量进行初步降维。其中一种需要删除的变量是常数自变量,或者是方差极小的自变量,对应的命令是nearZeroVar,可以看到新数据集的自变量减少到了297个。

zerovar=nearZeroVar(mdrrDescr)
newdata1=mdrrDescr[,-zerovar]
另一类需要删除的是与其它自变量有很强相关性的变量,对应的命令是findcorrelation。自变量中还有可能存在多重共线性问题,可以用findLinearCombos命令将它们找出来。这样处理后自变量减少为94个。
descrCorr = cor(newdata1)
highCorr = findCorrelation(descrCorr, 0.90)
newdata2 = newdata1[, -highCorr]
comboInfo = findLinearCombos(newdata2)
newdata2=newdata2[, -comboInfo$remove]
我们还需要将数据进行标准化并补足缺失值,这时可以用preProcess命令,缺省参数是标准化数据,其高级功能还包括用K近邻和装袋决策树两种方法来预测缺失值。此外它还可以进行cox幂变换和主成分提取。
Process = preProcess(newdata2)
newdata3 = predict(Process, newdata2)
最后是用createDataPartition将数据进行划分,分成75%的训练样本和25%检验样本,类似的命令还包括了createResample用来进行简单的自助法抽样,还有createFolds来生成多重交叉检验样本。
inTrain = createDataPartition(mdrrClass, p = 3/4, list = FALSE)
trainx = newdata3[inTrain,]
testx = newdata3[-inTrain,]
trainy = mdrrClass[inTrain]
testy = mdrrClass[-inTrain]
在建模前还可以对样本数据进行图形观察,例如对前两个变量绘制箱线图
featurePlot(trainx[,1:2],trainy,plot='box')

caret包应用之二:特征选择

在进行数据挖掘时,我们并不需要将所有的自变量用来建模,而是从中选择若干最重要的变量,这称为特征选择(feature selection)。一种算法就是后向选择,即先将所有的变量都包括在模型中,然后计算其效能(如误差、预测精度)和变量重要排序,然后保留最重要的若干变量,再次计算效能,这样反复迭代,找出合适的自变量数目。这种算法的一个缺点在于可能会存在过度拟合,所以需要在此算法外再套上一个样本划分的循环。在caret包中的rfe命令可以完成这项任务。


首先定义几个整数,程序必须测试这些数目的自变量.
subsets = c(20,30,40,50,60,70,80)
然后定义控制参数,functions是确定用什么样的模型进行自变量排序,本例选择的模型是随机森林即rfFuncs,可以选择的还有lmFuncs(线性回归),nbFuncs(朴素贝叶斯),treebagFuncs(装袋决策树),caretFuncs(自定义的训练模型)。
method是确定用什么样的抽样方法,本例使用cv即交叉检验, 还有提升boot以及留一交叉检验LOOCV
ctrl= rfeControl(functions = rfFuncs, method = "cv",verbose = FALSE, returnResamp = "final")
最后使用rfe命令进行特征选择,计算量很大,这得花点时间
Profile = rfe(newdata3, mdrrClass, sizes = subsets, rfeControl = ctrl)
观察结果选择50个自变量时,其预测精度最高
print(Profile)
Variables Accuracy Kappa AccuracySD KappaSD Selected
        20   0.8200 0.6285    0.04072 0.08550         
        30   0.8200 0.6294    0.04868 0.10102         
        40   0.8295 0.6487    0.03608 0.07359         
        50   0.8313 0.6526    0.04257 0.08744        *
        60   0.8277 0.6447    0.03477 0.07199         
        70   0.8276 0.6449    0.04074 0.08353         
        80   0.8275 0.6449    0.03991 0.08173         
        94   0.8313 0.6529    0.03899 0.08006
用图形也可以观察到同样结果
plot(Profile)

下面的命令则可以返回最终保留的自变量
Profile$optVariables

caret包应用之三:建模与参数优化

在进行建模时,需对模型的参数进行优化,在caret包中其主要函数命令是train。

首先得到经过特征选择后的样本数据,并划分为训练样本和检验样本
newdata4=newdata3[,Profile$optVariables]
inTrain = createDataPartition(mdrrClass, p = 3/4, list = FALSE)
trainx = newdata4[inTrain,]
testx = newdata4[-inTrain,]
trainy = mdrrClass[inTrain]
testy = mdrrClass[-inTrain]
然后定义模型训练参数,method确定多次交叉检验的抽样方法,number确定了划分的重数, repeats确定了反复次数。

fitControl = trainControl(method = "repeatedcv", number = 10, repeats = 3,returnResamp = "all")
确定参数选择范围,本例建模准备使用gbm算法,相应的参数有如下三项
gbmGrid = expand.grid(.interaction.depth = c(1, 3),.n.trees = c(50, 100, 150, 200, 250, 300),.shrinkage = 0.1)
利用train函数进行训练,使用的建模方法为提升决策树方法,
gbmFit1 = train(trainx,trainy,method = "gbm",trControl = fitControl,tuneGrid = gbmGrid,verbose = FALSE)
从结果可以观察到interaction.depth取1,n.trees取150时精度最高

interaction.depth  n.trees  Accuracy  Kappa  Accuracy SD  Kappa SD
  1                  50       0.822     0.635  0.0577       0.118   
  1                  100      0.824     0.639  0.0574       0.118   
  1                  150      0.826     0.643  0.0635       0.131   
  1                  200      0.824     0.64   0.0605       0.123   
  1                  250      0.816     0.623  0.0608       0.124   
  1                  300      0.824     0.64   0.0584       0.119   
  3                  50       0.816     0.621  0.0569       0.117   
  3                  100      0.82      0.631  0.0578       0.117   
  3                  150      0.815     0.621  0.0582       0.117   
  3                  200      0.82      0.63   0.0618       0.125   
  3                  250      0.813     0.617  0.0632       0.127   
  3                  300      0.812     0.615  0.0622       0.126   

同样的图形观察
plot(gbmFit1)

caret包应用之四:模型预测与检验

模型建立好后,我们可以利用predict函数进行预测,例如预测检测样本的前五个
predict(gbmFit1, newdata = testx)[1:5]
为了比较不同的模型,还可用装袋决策树建立第二个模型,命名为gbmFit2
gbmFit2= train(trainx, trainy,method = "treebag",trControl = fitControl)
models = list(gbmFit1, gbmFit2)
另一种得到预测结果的方法是使用extractPrediction函数,得到的部分结果如下显示

predValues = extractPrediction(models,testX = testx, testY = testy)
head(predValues)

     obs     pred model dataType  object
1 Active   Active   gbm Training Object1
2 Active   Active   gbm Training Object1
3 Active Inactive   gbm Training Object1
4 Active   Active   gbm Training Object1
5 Active   Active   gbm Training Object1 
6 Active Active gbm Training Object1

从中可提取检验样本的预测结果
testValues = subset(predValues, dataType == "Test")
如果要得到预测概率,则使用extractProb函数
probValues = extractProb(models,testX = testx, testY = testy)
testProbs = subset(probValues, dataType == "Test")
对于分类问题的效能检验,最重要的是观察预测结果的混淆矩阵
Pred1 = subset(testValues, model == "gbm")
Pred2 = subset(testValues, model == "treebag")
confusionMatrix(Pred1$pred, Pred1$obs)
confusionMatrix(Pred2$pred, Pred2$obs)
结果如下,可见第一个模型在准确率要比第二个模型略好一些

          Reference
Prediction Active Inactive
  Active       65       12
  Inactive      9       45
                                      
               Accuracy : 0.8397          

 
 Reference 
 
Prediction Active Inactive
  Active       63       12
  Inactive     11       45
                                          
               Accuracy : 0.8244          

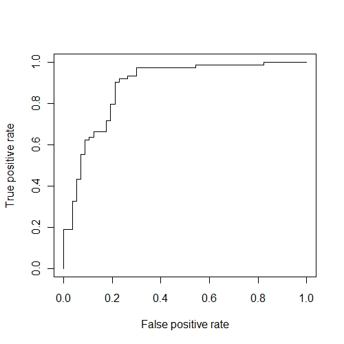
最后是利用ROCR包来绘制ROC图
prob1 = subset(testProbs, model == "gbm")
prob2 = subset(testProbs, model == "treebag")
library(ROCR)
prob1$lable=ifelse(prob1$obs=='Active',yes=1,0)
pred1 = prediction(prob1$Active,prob1$lable)
perf1 = performance(pred1, measure="tpr", x.measure="fpr" )
plot( perf1 )


评论 7
添加红包

请填写红包祝福语或标题

红包个数最小为10个

红包金额最低5元

当前余额3.43前往充值 >
需支付:10.00
成就一亿技术人!
领取后你会自动成为博主和红包主的粉丝 规则
hope_wisdom
发出的红包
实付
使用余额支付
点击重新获取
扫码支付
钱包余额 0

抵扣说明:

1.余额是钱包充值的虚拟货币,按照1:1的比例进行支付金额的抵扣。
2.余额无法直接购买下载,可以购买VIP、付费专栏及课程。

余额充值