2.2.2 麦克风阵列语音处理模型结构
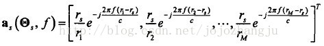
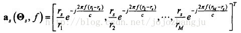
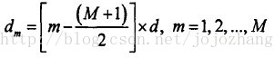
2.2.2.1 麦克风均匀线阵模型
图2-2 麦克风均匀线阵
方向矢量为:
传输矩阵为:
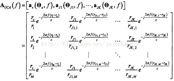
2.2.2.2 麦克风均匀圆阵模型
图2-3 麦克风均匀圆阵
传输矩阵为:
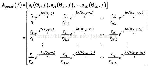
2.2.2.3 麦克风任意拓扑模型
图2-4 麦克风任意拓扑模型
传输矩阵为:
2.2.2.4 小结
以上三种麦克风均匀线阵、均匀圆阵、以及任意空间拓扑阵就是基于麦克风阵列语音信号处理的常见模型,通过计算传输矩阵,也就可以得到麦克风阵列接受的信号矢量:
630

被折叠的 条评论
为什么被折叠?



