UDP-α-D-半乳糖二钠盐是糖生物学与糖蛋白药物研发领域中不可或缺的关键原料。作为细胞内糖基化过程的核心底物,它不仅是生命活动的基础分子,更是现代生物医药,特别是在抗体药物优化、细胞治疗与诊断试剂开发中至关重要的活性原料。

化学信息
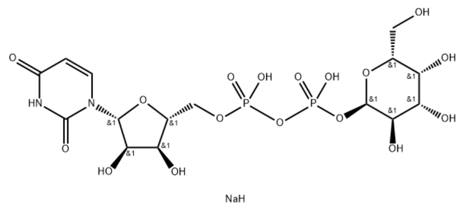
- 化学名称: 尿苷-5'-二磷酸-α-D-半乳糖二钠盐
- 通用名: UDP-半乳糖二钠盐
- 化学式: C15H25N2NaO17P2
- 分子量: 590.3 g/mol
- CAS号: 137868-52-1
结构特点
UDP-α-D-半乳糖二钠盐由一个尿苷二磷酸(UDP)集团与一个α-构型的D-半乳糖通过焦磷酸键连接而成,其独特之处在于:
- 高能糖基供体: UDP作为“能量基团”和“离去基团”,使得半乳糖部分具有很高的反应活性,能够被糖基转移酶高效地催化,连接到特定的受体分子(如蛋白质、脂类或其他糖链)上。
- 生物相容性与特异性: 作为天然存在的内源性物质,其在酶促反应中展现出无可替代的高底物特异性和催化效率,是体外糖基化反应的首选底物。
- 优异的稳定性与溶解性: 二钠盐形式赋予了该化合物良好的水溶性和化学稳定性,便于储存、运输以及在各类生化反应体系中的应用。
主要应用与优势
1. 糖蛋白与抗体药物开发的关键试剂
- 抗体定点偶联(ADC): 在ADC药物开发中,利用糖基转移酶(如GalT)和UDP-半乳糖作为底物,可以对抗体上的特定糖链(如聚糖)进行工程化修饰,进而实现细胞毒性药物的高效、定点偶联,显著提升ADC药物的均一性与治疗指数。
- 优化治疗性蛋白药物: 蛋白质的糖基化修饰直接影响其稳定性、半衰期和生物活性。使用UDP-半乳糖在体外重塑或延长糖蛋白的糖链,可以有效改善其药代动力学性质,降低免疫原性,增强疗效。
2. 细胞治疗与再生医学的赋能工具
- 细胞表面工程化: 通过酶催化反应,利用UDP-半乳糖将半乳糖基“标签”连接到细胞表面,可以用于调控细胞间相互作用、增强干细胞归巢能力,或为细胞治疗产品赋予新的功能,是前沿细胞疗法开发的有力工具。
- 三维细胞培养与组织工程: 在构建类器官或人工组织时,UDP-半乳糖可用于修饰支架材料的生物界面,模拟天然的糖萼环境,从而更好地指导细胞生长、分化和组织形成。
3. 基础研究与诊断开发的核心底物
- 糖生物学机制研究: 作为β-1,4-半乳糖基转移酶等多种关键酶的标准底物,我们的产品是研究糖基化在细胞识别、信号转导、疾病发生发展中作用的理想工具。
- 诊断试剂开发: 某些疾病(如自身免疫病、癌症)会导致患者体内特定糖基转移酶活性或糖基化谱式发生变化。UDP-半乳糖是开发相关酶活性检测试剂盒的核心原料,服务于精准医疗与体外诊断领域。
结语
UDP-α-D-半乳糖二钠盐远不止是一个简单的代谢中间体,它是连接化学与生物学、探索生命糖密码的桥梁,更是赋能下一代生物制药(从精准的抗体偶联药物到前沿的细胞治疗)的基石分子。
450

被折叠的 条评论
为什么被折叠?



