SM3算法原理解析

(1)消息填充
首先将比特“1“ 添加到消息的末尾,再添加k个零,这里k是方程l+1+k = 448 mod 512的最小的非负解。然后再添加一个64比特长的块,其值等于消息M的长度l的二进制表示,使得填充后的消息的长度为512比特的倍数。
(2)迭代
消息分组和初始值进入MD结构进行迭代压缩,初始变量如下:

填充后的消息M’ = B(0)B(1)… B(n-1),n=(k+l+65)/512,消息B(i)为512比特。
伪代码:
FOR i=O TO n-1
H(i+1) = CF(H(i), B(i))
ENDFOR
其中H(i+1)是链接变量,链接变量H(n)为hash值; CF(.,.)为压缩函数。
(3)消息编排
当消息填充完成后,将消息块B(i)分为16个32比特字W0, W1, … ,W15
伪代码:
FOR j=16 TO 67
Wj ← P1(Wj-16⊕Wj- 9⊕(Wj-3<<< 15))⊕(Wj-18<<< 7)⊕Wj-6
ENDFOR
FOR j=0 TO 63
W’j ← Wj⊕Wj+4
ENDFOR
(4)压缩函数
输入链接变量H(i)和消息字B(i),A,B,C,D,E,F,G,H为字寄存器: A,B,C,D,E,E,G,H← H(i)
FOR t=0 TO 63
SS1 ← ((A <<< 12) + E + (Tj <<< (j mod 32))) <<< 7
SS2 ← SS1⊕(A<<<12)
TT1 ← FFj(A,B,C)+ D + SS2 + W’j
TT2 ← GGj(E,F,G)+H +SS1 + Wj
D←C
C←B<<< 9
B←A
A←TT1
H←G
G←F<<<19
F←E
E←P0(TT2)
ENDFOR
H(i+1) = ABCDEFGH⊕H(i)

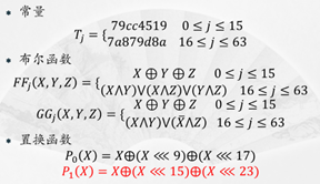
(5)参数设置

2442

被折叠的 条评论
为什么被折叠?



