今天主要讲述的内容是关于一元线性回归的知识,Python实现,包括以下内容:
1.机器学习常用数据集介绍
2.什么是线性回顾
3.LinearRegression使用方法
4.线性回归判断糖尿病
前文推荐:
【Python数据挖掘课程】一.安装Python及爬虫入门介绍
【Python数据挖掘课程】二.Kmeans聚类数据分析及Anaconda介绍
【Python数据挖掘课程】三.Kmeans聚类代码实现、作业及优化
【Python数据挖掘课程】四.决策树DTC数据分析及鸢尾数据集分析
希望这篇文章对你有所帮助,尤其是刚刚接触数据挖掘以及大数据的同学,同时准备尝试以案例为主的方式进行讲解。如果文章中存在不足或错误的地方,还请海涵~
同时这篇文章是我上课的内容,所以参考了一些知识,强烈推荐大家学习斯坦福的机器学习Ng教授课程和Scikit-Learn中的内容。由于自己数学不是很好,自己也还在学习中,所以文章以代码和一元线性回归为主,数学方面的当自己学到一定的程度,才能进行深入的分享及介绍。抱歉~
一. 数据集介绍
1.diabetes dataset数据集
数据集参考:http://scikit-learn.org/stable/datasets/
这是一个糖尿病的数据集,主要包括442行数据,10个属性值,分别是:Age(年龄)、性别(Sex)、Body mass index(体质指数)、Average Blood Pressure(平均血压)、S1~S6一年后疾病级数指标。Target为一年后患疾病的定量指标。

输出如下所示:
-
-
-
-
-
-
-
- from sklearn import datasets
- diabetes = datasets.load_diabetes()
- print diabetes.data
- print diabetes.target
- print u'总行数: ', len(diabetes.data), len(diabetes.target)
- print u'特征数: ', len(diabetes.data[0])
- print u'数据类型: ', diabetes.data.shape
- print type(diabetes.data), type(diabetes.target)
-
-
-
-
-
-
-
-
-
-
-
-
-
-
-
-
-
-
-
2.sklearn常见数据集
常见的sklearn数据集包括,强烈推荐下面这篇文章:
http://blog.csdn.net/sa14023053/article/details/52086695
sklearn包含一些不许要下载的toy数据集,见下表,包括波士顿房屋数据集、鸢尾花数据集、糖尿病数据集、手写字数据集和健身数据集等。
3.UCI数据集
常用数据集包括:http://archive.ics.uci.edu/ml/datasets.html
二. 什么是线性回归
1.机器学习简述
机器学习(Machine Learning )包括:
a.监督学习(Supervised Learning):回归(Regression)、分类(Classification)
例:训练过程中知道结果。小孩给水果分类,给他苹果告诉他是苹果,反复训练学习。在给他说过,问他是什么?他回答准确,如果是桃子,他不能回答为苹果。
b.无监督学习(Unsupervised Learning):聚类(Clustering)
例:训练过程中不知道结果。给小孩一堆水果,如苹果、橘子、桃子,小孩开始不知道需要分类的水果是什么,让小孩对水果进行分类。分类完成后,给他一个苹果,小孩应该把它放到苹果堆中。
c.增强学习(Reinforcement Learning)
例:ML过程中,对行为做出评价,评价有正面的和负面两种。通过学习评价,程序应做出更好评价的行为。
d.推荐系统(Recommender System)
2.斯坦福公开课:第二课 单变量线性回归
这是NG教授的很著名的课程,这里主要引用52nlp的文章,真的太完美了。推荐阅读该作者的更多文章:
Coursera公开课笔记: 斯坦福大学机器学习第二课"单变量线性回归(Linear regression with one variable)"
<1>模型表示(Model Representation)
房屋价格预测问题,有监督学习问题。每个样本的输入都有正确输出或答案,它也是一个回归问题,预测一个真实值的输出。
训练集表示如下:
对于房价预测问题,讯息过程如下所示:
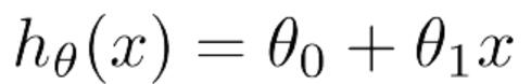
其中x代表房屋的大小,y代表预测的价格,h(hypothesis)将输入变量映射到输出变量y中,如何表示h呢?
可以表示如下公式,简写为h(x),即带一个变量的线性回归或单变量线性回归问题。
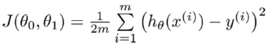
<2>成本函数(Cost Function)
对于上面的公式函数h(x),如何求theta0和theta1参数呢?
构想: 对于训练集(x, y),选取参数
0
,
1
使得
hθ(x)
尽可能的接近y。如何做呢?一种做法就是求训练集的平方误差函数(squared error function)。
Cost Function可表示为:
并且选取合适的参数使其最小化,数学表示如下:
总的来说,线性回归主要包括一下四个部分,分别是Hypothesis、Parameters、Cost Function、Goal。右图位简化版,theta0赋值为0。
然后令
θ1
分别取1、0.5、-0.5等值,同步对比
hθ(x)
和
J(θ0,θ1)
在二维坐标系中的变化情况,具体可参考原PPT中的对比图,很直观。
<3>梯度下降(Gradient descent)
应用的场景之一最小值问题:
对于一些函数,例如
J(θ0,θ1)
目标:
minθ0,θ1J(θ0,θ1)
方法的框架:
a. 给
θ0
,
θ1
一个初始值,例如都等于0;
b. 每次改变
θ0
,
θ1
的时候都保持
J(θ0,θ1)
递减,直到达到一个我们满意的最小值;
对于任一
J(θ0,θ1)
, 初始位置不同,最终达到的极小值点也不同,例如以下例子:
3.一元回归模型
转自文章:http://blog.sina.com.cn/s/blog_68c81f3901019hhp.html
<1>什么是线性回归?
回归函数的具体解释和定义,可查看任何一本“概率论与数理统计”的书。我看的是“陈希孺”的。
这里我讲几点:
1)统计回归分析的任务,就在于根据 x1,x2,...,xp 线性回归和Y的观察值,去估计函数f,寻求变量之间近似的函数关系。
2)我们常用的是,假定f函数的数学形式已知,其中若干个参数未知,要通过自变量和因变量的观察值去估计未知的参数值。这叫“参数回归”。其中应用最广泛的是f为线性函数的假设:
这种情况叫做“线性回归”。
3)自变量只有一个时,叫做一元线性回归。
f(x) = b0+b1x
自变量有多个时,叫做多元线性回归。
f(x1,x2,...,xp) = b0 + b1x1 + b2x2 + ... + bpxp
4)分类(Classification)与回归(Regression)都属于监督学习,他们的区别在于:
分类:用于预测有限的离散值,如是否得了癌症(0,1),或手写数字的判断,是0,1,2,3,4,5,6,7,8还是9等。分类中,预测的可能的结果是有限的,且提前给定的。
回归:用于预测实数值,如给定了房子的面积,地段,和房间数,预测房子的价格。
<2>一元线性回归
假设:我们要预测房价。当前自变量(输入特征)是房子面积x,因变量是房价y.给定了一批训练集数据。
我们要做的是利用手上的训练集数据,得出x与y之间的函数f关系,并用f函数来预测任意面积x对应的房价。
假设x与y是线性关系,则我们可以接着假设一元线性回归函数如下来代表y的预测值:
我们有训练集了,那么问题就成了如何利用现有的训练集来判定未知参数 (θ0,θ1) 的值,使其让h的值更接近实际值y? 训练集指的是已知x,y值的数据集合!
一种方法是计算它的成本函数(Cost function),即预测出来的h的值与实际值y之间的方差的大小来决定当前的(θ0,θ1)值是否是最优的!
常用的成本函数是最小二乘法:
<3>模型总结
整个一元线性回归通过下面这张图总结即可:
参考文章:斯坦福大学机器学习——线性回归(Linear Regression)
最后,梯度下降和多元回归模型将继续学习,当我学到一定程度,再进行分享。
http://www.52nlp.cn/coursera公开课笔记-斯坦福大学机器学习第四课多变量
三. LinearRegression使用方法
LinearRegression模型在Sklearn.linear_model下,它主要是通过fit(x,y)的方法来训练模型,其中x为数据的属性,y为所属类型。
sklearn中引用回归模型的代码如下:
- from sklearn import linear_model
- regr = linear_model.LinearRegression()
- print regr
输出的函数原型如下所示:
- LinearRegression(copy_X=True,
- fit_intercept=True,
- n_jobs=1,
- normalize=False)
fit(x, y): 训练。分析模型参数,填充数据集。其中x为特征,y位标记或类属性。
predict(): 预测。它通过fit()算出的模型参数构成的模型,对解释变量进行预测其类属性。预测方法将返回预测值y_pred。
这里推荐"搬砖小工053"大神的文章,非常不错,强烈推荐。
引用他文章的例子,参考:scikit-learn : 线性回归,多元回归,多项式回归
-
-
-
-
-
-
-
- from sklearn import linear_model
- import matplotlib.pyplot as plt
- import numpy as np
-
-
- X = [[6], [8], [10], [14], [18]]
- Y = [[7], [9], [13], [17.5], [18]]
-
- print u'数据集X: ', X
- print u'数据集Y: ', Y
-
-
- clf = linear_model.LinearRegression()
- clf.fit(X, Y)
- res = clf.predict(np.array([12]).reshape(-1, 1))[0]
- print(u'预测一张12英寸匹萨价格:$%.2f' % res)
-
-
- X2 = [[0], [10], [14], [25]]
- Y2 = clf.predict(X2)
-
-
- plt.figure()
- plt.title(u'diameter-cost curver')
- plt.xlabel(u'diameter')
- plt.ylabel(u'cost')
- plt.axis([0, 25, 0, 25])
- plt.grid(True)
- plt.plot(X, Y, 'k.')
- plt.plot(X2, Y2, 'g-')
- plt.show()
运行结果如下所示,首先输出数据集,同时调用sklearn包中的LinearRegression()回归函数,fit(X, Y)载入数据集进行训练,然后通过predict()预测数据12尺寸的匹萨价格,最后定义X2数组,预测它的价格。
- 数据集X: [[6], [8], [10], [14], [18]]
- 数据集Y: [[7], [9], [13], [17.5], [18]]
- 预测一张12英寸匹萨价格:$13.68
输出的图形如下所示:
线性模型的回归系数W会保存在他的coef_方法中,截距保存在intercept_中。score(X,y,sample_weight=None) 评分函数,返回一个小于1的得分,可能会小于0。
- print u'系数', clf.coef_
- print u'截距', clf.intercept_
- print u'评分函数', clf.score(X, Y)
- ''
-
-
-
-
其中具体的系数介绍推荐如下资料:
sklearn学习笔记之简单线性回归 - Magle
四. 线性回归判断糖尿病
1.Diabetes数据集(糖尿病数据集)
糖尿病数据集包含442个患者的10个生理特征(年龄,性别、体重、血压)和一年以后疾病级数指标。
然后载入数据,同时将diabetes糖尿病数据集分为测试数据和训练数据,其中测试数据为最后20行,训练数据从0到-20行(不包含最后20行),即diabetes.data[:-20]。
- from sklearn import datasets
-
-
- diabetes = datasets.load_diabetes()
-
- diabetes_x = diabetes.data[:, np.newaxis]
- diabetes_x_temp = diabetes_x[:, :, 2]
-
- diabetes_x_train = diabetes_x_temp[:-20]
- diabetes_x_test = diabetes_x_temp[-20:]
- diabetes_y_train = diabetes.target[:-20]
- diabetes_y_test = diabetes.target[-20:]
-
- print u'划分行数:', len(diabetes_x_temp), len(diabetes_x_train), len(diabetes_x_test)
- print diabetes_x_test
输出结果如下所示,可以看到442个数据划分为422行进行训练回归模型,20行数据用于预测。输出的diabetes_x_test共20行数据,每行仅一个特征。
- 划分行数: 442 422 20
- [[ 0.07786339]
- [-0.03961813]
- [ 0.01103904]
- [-0.04069594]
- [-0.03422907]
- [ 0.00564998]
- [ 0.08864151]
- [-0.03315126]
- [-0.05686312]
- [-0.03099563]
- [ 0.05522933]
- [-0.06009656]
- [ 0.00133873]
- [-0.02345095]
- [-0.07410811]
- [ 0.01966154]
- [-0.01590626]
- [-0.01590626]
- [ 0.03906215]
- [-0.0730303 ]]
2.完整代码
改代码的任务是从生理特征预测疾病级数,但仅获取了一维特征,即一元线性回归。【线性回归】的最简单形式给数据集拟合一个线性模型,主要是通过调整一系列的参以使得模型的残差平方和尽量小。
线性模型:y = βX+b
X:数据 y:目标变量 β:回归系数 b:观测噪声(bias,偏差)
参考文章:Linear Regression Example - Scikit-Learn
-
-
-
-
-
-
-
- from sklearn import datasets
- import matplotlib.pyplot as plt
- import numpy as np
-
-
- diabetes = datasets.load_diabetes()
-
-
- diabetes_x_temp = diabetes.data[:, np.newaxis, 2]
-
- diabetes_x_train = diabetes_x_temp[:-20]
- diabetes_x_test = diabetes_x_temp[-20:]
- diabetes_y_train = diabetes.target[:-20]
- diabetes_y_test = diabetes.target[-20:]
-
-
- clf = linear_model.LinearRegression()
- clf.fit(diabetes_x_train, diabetes_y_train)
-
-
- print 'Coefficients :\n', clf.coef_
- print ("Residual sum of square: %.2f" %np.mean((clf.predict(diabetes_x_test) - diabetes_y_test) ** 2))
- print ("variance score: %.2f" % clf.score(diabetes_x_test, diabetes_y_test))
-
-
- plt.title(u'LinearRegression Diabetes')
- plt.xlabel(u'Attributes')
- plt.ylabel(u'Measure of disease')
-
- plt.scatter(diabetes_x_test, diabetes_y_test, color = 'black')
-
- plt.plot(diabetes_x_test, clf.predict(diabetes_x_test), color='blue', linewidth = 3)
- plt.show()
运行结果如下所示,包括系数、残差平方和、方差分数。
- Coefficients :[ 938.23786125]
- Residual sum of square: 2548.07
- variance score: 0.47
绘制图形如下所示,每个点表示真实的值,而直线表示预测的结果,比较接近吧。
同时绘制图形时,想去掉坐标具体的值,可增加如下代码:
- plt.xticks(())
- plt.yticks(())
五. 优化代码
下面是优化后的代码,增加了斜率、 截距的计算,同时增加了点图到线性方程的距离,保存图片设置像素。
-
-
-
-
-
-
-
- from sklearn import datasets
- import numpy as np
-
-
- d = datasets.load_diabetes()
- x = d.data
- print u'获取x特征'
- print len(x), x.shape
- print x[:4]
-
-
- x_one = x[:,np.newaxis, 2]
- print x_one[:4]
-
-
- y = d.target
- print u'获取的结果'
- print y[:4]
-
-
- x_train = x_one[:-42]
- x_test = x_one[-42:]
- print len(x_train), len(x_test)
- y_train = y[:-42]
- y_test = y[-42:]
- print len(y_train), len(y_test)
-
-
-
- from sklearn import linear_model
- clf = linear_model.LinearRegression()
- print clf
- clf.fit(x_train, y_train)
- pre = clf.predict(x_test)
- print u'预测结果'
- print pre
- print u'真实结果'
- print y_test
-
-
-
- cost = np.mean(y_test-pre)**2
- print u'次方', 2**5
- print u'平方和计算:', cost
- print u'系数', clf.coef_
- print u'截距', clf.intercept_
- print u'方差', clf.score(x_test, y_test)
-
-
-
- import matplotlib.pyplot as plt
- plt.title("diabetes")
- plt.xlabel("x")
- plt.ylabel("y")
- plt.plot(x_test, y_test, 'k.')
- plt.plot(x_test, pre, 'g-')
-
- for idx, m in enumerate(x_test):
- plt.plot([m, m],[y_test[idx],
- pre[idx]], 'r-')
-
- plt.savefig('power.png', dpi=300)
-
- plt.show()
运行结果如下所示:
- 获取x特征
- 442 (442L, 10L)
- [[ 0.03807591 0.05068012 0.06169621 0.02187235 -0.0442235 -0.03482076
- -0.04340085 -0.00259226 0.01990842 -0.01764613]
- [-0.00188202 -0.04464164 -0.05147406 -0.02632783 -0.00844872 -0.01916334
- 0.07441156 -0.03949338 -0.06832974 -0.09220405]
- [ 0.08529891 0.05068012 0.04445121 -0.00567061 -0.04559945 -0.03419447
- -0.03235593 -0.00259226 0.00286377 -0.02593034]
- [-0.08906294 -0.04464164 -0.01159501 -0.03665645 0.01219057 0.02499059
- -0.03603757 0.03430886 0.02269202 -0.00936191]]
- [[ 0.06169621]
- [-0.05147406]
- [ 0.04445121]
- [-0.01159501]]
- 获取的结果
- [ 151. 75. 141. 206.]
- 400 42
- 400 42
- LinearRegression(copy_X=True, fit_intercept=True, n_jobs=1, normalize=False)
- 预测结果
- [ 196.51241167 109.98667708 121.31742804 245.95568858 204.75295782
- 270.67732703 75.99442421 241.8354155 104.83633574 141.91879342
- 126.46776938 208.8732309 234.62493762 152.21947611 159.42995399
- 161.49009053 229.47459628 221.23405012 129.55797419 100.71606266
- 118.22722323 168.70056841 227.41445974 115.13701842 163.55022706
- 114.10695016 120.28735977 158.39988572 237.71514243 121.31742804
- 98.65592612 123.37756458 205.78302609 95.56572131 154.27961264
- 130.58804246 82.17483382 171.79077322 137.79852034 137.79852034
- 190.33200206 83.20490209]
- 真实结果
- [ 175. 93. 168. 275. 293. 281. 72. 140. 189. 181. 209. 136.
- 261. 113. 131. 174. 257. 55. 84. 42. 146. 212. 233. 91.
- 111. 152. 120. 67. 310. 94. 183. 66. 173. 72. 49. 64.
- 48. 178. 104. 132. 220. 57.]
- 次方 32
- 平方和计算: 83.192340827
- 系数 [ 955.70303385]
- 截距 153.000183957
- 方差 0.427204267067
绘制图形如下所示:
强烈推荐下面线性回归相关的文章,希望读者自行阅读:
[译]针对科学数据处理的统计学习教程(scikit-learn教程2)Tacey Wong (重点)
scikit-learn : 线性回归 - 搬砖小工053
结合Scikit-learn介绍几种常用的特征选择方法 - Bryan
用Python开始机器学习(3:数据拟合与广义线性回归) - lsldd
Scikit Learn: 在python中机器学习 - yyliu
Python机器学习——线性模型 - 郝智恒
sklearn 数据加载工具(1) - 搬砖小工053
sklearn系列之----线性回归 - Gavin__Zhou