目录
一 算法简介
1)算法解释
双指针主要用于遍历数组,两个指针指向不同的元素,从而协同完成任务。也可以延伸到多 个数组的多个指针。
若两个指针指向同一数组,遍历方向相同且不会相交,则也称为滑动窗口(两个指针包围的 区域即为当前的窗口),经常用于区间搜索。
若两个指针指向同一数组,但是遍历方向相反,则可以用来进行搜索,待搜索的数组往往是 排好序的。
2)概述
定义快慢指针
- 快指针:寻找新数组的元素 ,新数组就是不含有目标元素的数组
- 慢指针:指向更新 新数组下标的位置
双指针法(快慢指针法):通过一个快指针和慢指针在一个for循环下完成两个for循环的工作。
- 暴力解法时间复杂度:O(n^2)
- 双指针时间复杂度:O(n)
3)分类
i和j有以下两种扫描方向:
1.同向扫描:两个指针从头开始一起走,速度不同,如让j跑在i前面
2.反向扫描:一个指针从头开始,一个指针从尾开始,在中间相会
把同向扫描的i,j指针称为快慢指针,把反向扫描的i,j指针称为左右指针,更加形象。其中快慢指针在序列上产生了一个大小可变的滑动窗口,有灵活的应用,如寻找区间,数组去重,多指针问题
时间复杂度 : O(n)或者O(n logn)
4)前提
1)给定一个序列,有时需要他是有序的,先排序
2)问题和序列的区间有关,且需要操作两个变量,可以用两个下标(指针)i和j扫描区间
5)算法模板
//用while实现
int i=0,j=n-1;
while(i<j)//i和j再中间相遇,这样做还能防止i和j越界
{
...//满足题意的要求
i++;//i从头扫到尾
j--;//j从尾扫到头
}
//用for实现
for(int i=0,j=n-1;i<j;i++,j--)
{
...
}
6)常见问题
(1) 对于一个序列,用两个指针维护一段区间
(2) 对于两个序列,维护某种次序,比如归并排序中合并两个有序序列的操作
二 算法实践
1)反向扫描
1)反转字符串(一)
题目描述
编写一个函数,其作用是将输入的字符串反转过来。输入字符串以字符数组 char[] 的形式给出。
不要给另外的数组分配额外的空间,你必须原地修改输入数组、使用 O(1) 的额外空间解决这一问题。
你可以假设数组中的所有字符都是 ASCII 码表中的可打印字符。
示例 1:
输入:["h","e","l","l","o"]
输出:["o","l","l","e","h"]
示例 2:
输入:["H","a","n","n","a","h"]
输出:["h","a","n","n","a","H"]
思路
对于字符串,我们定义两个指针(也可以说是索引下标),一个从字符串前面,一个从字符串后面,两个指针同时向中间移动,并交换元素。
以字符串hello为例,过程如下:

解法
双指针法
代码
void reverseString(char* s, int sSize){
int left = 0;
int right = sSize - 1;
while(left < right) {
char temp = s[left];
s[left++] = s[right];
s[right--] = temp;
}
}
拓展
swap可以有两种实现。
一种就是常见的交换数值:
int tmp = s[i];
s[i] = s[j];
s[j] = tmp;
一种就是通过位运算:
s[i] ^= s[j];
s[j] ^= s[i];
s[i] ^= s[j];
2)反转字符串(二)
题目描述
给定一个字符串 s 和一个整数 k,从字符串开头算起, 每计数至 2k 个字符,就反转这 2k 个字符中的前 k 个字符。
如果剩余字符少于 k 个,则将剩余字符全部反转。
如果剩余字符小于 2k 但大于或等于 k 个,则反转前 k 个字符,其余字符保持原样。
示例:
输入: s = "abcdefg", k = 2
输出: "bacdfeg"
思路
模拟,实现题目中规定的反转规则就可以了
在遍历字符串的过程中,只要让 i += (2 * k),i 每次移动 2 * k 就可以了,然后判断是否需要有反转的区间。因为要找的也就是每2 * k 区间的起点
所以当需要固定规律一段一段去处理字符串的时候,要想想在在for循环的表达式上做做文章。
解法
char * reverseStr(char * s, int k){
int len = strlen(s);
for (int i = 0; i < len; i += (2 * k)) {
//判断剩余字符是否少于 k
k = i + k > len ? len - i : k;
int left = i;
int right = i + k - 1;
while (left < right) {
char temp = s[left];
s[left++] = s[right];
s[right--] = temp;
}
}
return s;
}
3)有序数组的平方
题目描述
给你一个按 非递减顺序 排序的整数数组 nums,返回 每个数字的平方 组成的新数组,要求也按 非递减顺序 排序。
示例 1: 输入:nums = [-4,-1,0,3,10] 输出:[0,1,9,16,100] 解释:平方后,数组变为 [16,1,0,9,100],排序后,数组变为 [0,1,9,16,100]
示例 2: 输入:nums = [-7,-3,2,3,11] 输出:[4,9,9,49,121]
思路
最直观的想法,莫过于:每个数平方之后,排个序。
暴力排序:这个时间复杂度是 O(n + nlogn), 可以说是O(nlogn)的时间复杂度,但为了和下面双指针法算法时间复杂度有鲜明对比,我记为 O(n + nlog n)。
双指针:
数组其实是有序的, 只不过负数平方之后可能成为最大数了。
那么数组平方的最大值就在数组的两端,不是最左边就是最右边,不可能是中间。
此时可以考虑双指针法了,i指向起始位置,j指向终止位置。
定义一个新数组result,和A数组一样的大小,让k指向result数组终止位置。
如果A[i] * A[i] < A[j] * A[j] 那么result[k--] = A[j] * A[j]; 。
如果A[i] * A[i] >= A[j] * A[j] 那么result[k--] = A[i] * A[i]; 。
时间复杂度为O(n)
解法
暴力:
for (int i = 0; i < A.size(); i++) {
A[i] *= A[i];
}
sort(A.begin(), A.end()); // 快速排序
return A;
双指针:
int* sortedSquares(int* nums, int numsSize, int* returnSize){
//返回的数组大小就是原数组大小
*returnSize = numsSize;
//创建两个指针,right指向数组最后一位元素,left指向数组第一位元素
int right = numsSize - 1;
int left = 0;
//最后要返回的结果数组
int* ans = (int*)malloc(sizeof(int) * numsSize);
int index;
for(index = numsSize - 1; index >= 0; index--) {
//左指针指向元素的平方
int lSquare = nums[left] * nums[left];
//右指针指向元素的平方
int rSquare = nums[right] * nums[right];
//若左指针指向元素平方比右指针指向元素平方大,将左指针指向元素平方放入结果数组。左指针右移一位
if(lSquare > rSquare) {
ans[index] = lSquare;
left++;
}
//若右指针指向元素平方比左指针指向元素平方大,将右指针指向元素平方放入结果数组。右指针左移一位
else {
ans[index] = rSquare;
right--;
}
}
//返回结果数组
return ans;
}
2)同向扫描
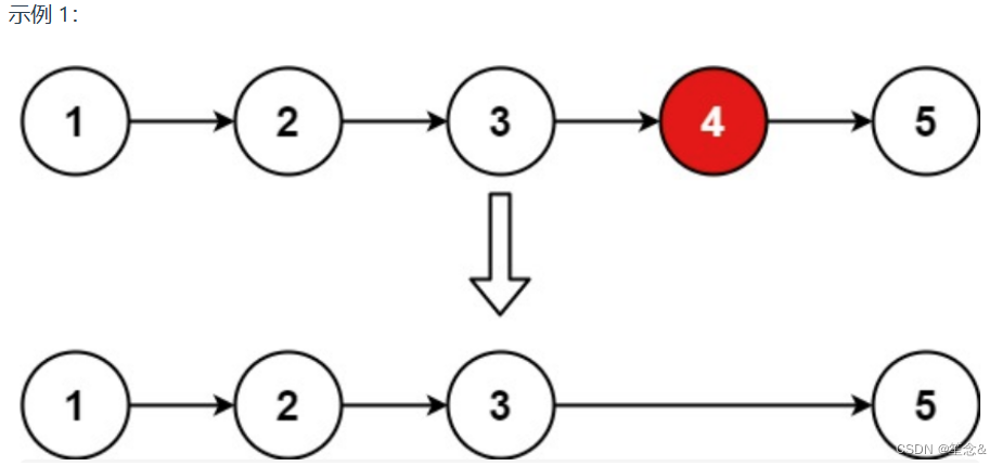
1)移除元素
题目描述
给你一个数组 nums 和一个值 val,你需要 原地 移除所有数值等于 val 的元素,并返回移除后数组的新长度。
不要使用额外的数组空间,你必须仅使用 O(1) 额外空间并原地修改输入数组。
元素的顺序可以改变。你不需要考虑数组中超出新长度后面的元素。
示例 1: 给定 nums = [3,2,2,3], val = 3, 函数应该返回新的长度 2, 并且 nums 中的前两个元素均为 2。 你不需要考虑数组中超出新长度后面的元素。
示例 2: 给定 nums = [0,1,2,2,3,0,4,2], val = 2, 函数应该返回新的长度 5, 并且 nums 中的前五个元素为 0, 1, 3, 0, 4。
你不需要考虑数组中超出新长度后面的元素。
思路
要知道数组的元素在内存地址中是连续的,不能单独删除数组中的某个元素,只能覆盖。
解法
1)暴力法
两层for循环,一个for循环遍历数组元素 ,第二个for循环更新数组。
删除过程如下:

暴力解法的时间复杂度是O(n^2)
代码:
int size = nums.size();
for (int i = 0; i < size; i++) {
if (nums[i] == val) { // 发现需要移除的元素,就将数组集体向前移动一位
for (int j = i + 1; j < size; j++) {
nums[j - 1] = nums[j];
}
i--; // 因为下标i以后的数值都向前移动了一位,所以i也向前移动一位
size--; // 此时数组的大小-1
}
}
return size;
2)双指针法
删除过程如下:

代码:
int removeElement(int* nums, int numsSize, int val){
int slow = 0;
for(int fast = 0; fast < numsSize; fast++) {
//若快指针位置的元素不等于要删除的元素
if(nums[fast] != val) {
//将其挪到慢指针指向的位置,慢指针+1
nums[slow++] = nums[fast];
}
}
//最后慢指针的大小就是新的数组的大小
return slow;
}
- 时间复杂度:O(n)
- 空间复杂度:O(1)
注意:这些实现方法并没有改变元素的相对位置!
2)替换空格
题目描述
请实现一个函数,把字符串 s 中的每个空格替换成"%20"。
示例 1: 输入:s = "We are happy."
输出:"We%20are%20happy."
思路
如果想把这道题目做到极致,就不要只用额外的辅助空间了!
首先扩充数组到每个空格替换成"%20"之后的大小。
然后从后向前替换空格,也就是双指针法,过程如下:
i指向新长度的末尾,j指向旧长度的末尾。

为什么要从后向前填充,从前向后填充不行么?
从前向后填充就是O(n^2)的算法了,因为每次添加元素都要将添加元素之后的所有元素向后移动。
其实很多数组填充类的问题,都可以先预先给数组扩容带填充后的大小,然后在从后向前进行操作。
这么做有两个好处:
- 不用申请新数组。
- 从后向前填充元素,避免了从前向后填充元素时,每次添加元素都要将添加元素之后的所有元素向后移动的问题。
解法
双指针
代码
char* replaceSpace(char* s){
//统计空格数量
int count = 0;
int len = strlen(s);
for (int i = 0; i < len; i++) {
if (s[i] == ' ') {
count++;
}
}
//为新数组分配空间
int newLen = len + count * 2;
char* result = malloc(sizeof(char) * newLen + 1);
//填充新数组并替换空格
for (int i = len - 1, j = newLen - 1; i >= 0; i--, j--) {
if (s[i] != ' ') {
result[j] = s[i];
} else {
result[j--] = '0';
result[j--] = '2';
result[j] = '%';
}
}
result[newLen] = '\0';
return result;
}
- 时间复杂度:O(n)
- 空间复杂度:O(1)
3)翻转字符串里的单词
题目描述
给定一个字符串,逐个翻转字符串中的每个单词。
示例 1:
输入: "the sky is blue"
输出: "blue is sky the"
示例 2:
输入: " hello world! "
输出: "world! hello"
解释: 输入字符串可以在前面或者后面包含多余的空格,但是反转后的字符不能包括。
示例 3:
输入: "a good example"
输出: "example good a"
解释: 如果两个单词间有多余的空格,将反转后单词间的空格减少到只含一个。
思路
提高难度:不使用辅助空间,空间复杂度要求为O(1)
不能使用辅助空间之后,那么只能在原字符串上下功夫了。
想一下,我们将整个字符串都反转过来,那么单词的顺序指定是倒序了,只不过单词本身也倒序了,那么再把单词反转一下,单词不就正过来了。
所以解题思路如下:
1)移除多余空格
2)将整个字符串反转
3)将每个单词反转
举个例子,源字符串为:"the sky is blue "
- 移除多余空格 : "the sky is blue"
- 字符串反转:"eulb si yks eht"
- 单词反转:"blue is sky the"
这样我们就完成了翻转字符串里的单词
解法
双指针
代码:
注意:不是C语言,理解思想即可
void reverse(string& s, int start, int end){ //翻转,区间写法:左闭又闭 []
for (int i = start, j = end; i < j; i++, j--) {
swap(s[i], s[j]);
}
}
void removeExtraSpaces(string& s) {//去除所有空格并在相邻单词之间添加空格, 快慢指针。
int slow = 0; //
for (int i = 0; i < s.size(); ++i) { //
if (s[i] != ' ') { //遇到非空格就处理,即删除所有空格。
if (slow != 0) s[slow++] = ' '; //手动控制空格,给单词之间添加空格。slow != 0说明不是第一个单词,需要在单词前添加空格。
while (i < s.size() && s[i] != ' ') { //补上该单词,遇到空格说明单词结束。
s[slow++] = s[i++];
}
}
}
s.resize(slow); //slow的大小即为去除多余空格后的大小。
}
string reverseWords(string s) {
removeExtraSpaces(s); //去除多余空格,保证单词之间之只有一个空格,且字符串首尾没空格。
reverse(s, 0, s.size() - 1);
int start = 0; //removeExtraSpaces后保证第一个单词的开始下标一定是0。
for (int i = 0; i <= s.size(); ++i) {
if (i == s.size() || s[i] == ' ') { //到达空格或者串尾,说明一个单词结束。进行翻转。
reverse(s, start, i - 1); //翻转,注意是左闭右闭 []的翻转。
start = i + 1; //更新下一个单词的开始下标start
}
}
return s;
}
4)三数之和
题目描述
给你一个包含 n 个整数的数组 nums,判断 nums 中是否存在三个元素 a,b,c ,使得 a + b + c = 0 ?请你找出所有满足条件且不重复的三元组。
注意: 答案中不可以包含重复的三元组。
示例:
给定数组 nums = [-1, 0, 1, 2, -1, -4],
满足要求的三元组集合为: [ [-1, 0, 1], [-1, -1, 2] ]
思路
注意[0, 0, 0, 0] 这组数据
拿这个nums数组来举例,首先将数组排序,然后有一层for循环,i从下标0的地方开始,同时定一个下标left 定义在i+1的位置上,定义下标right 在数组结尾的位置上。
依然还是在数组中找到 abc 使得a + b +c =0,我们这里相当于 a = nums[i],b = nums[left],c = nums[right]。
接下来如何移动left 和right呢, 如果nums[i] + nums[left] + nums[right] > 0 就说明 此时三数之和大了,因为数组是排序后了,所以right下标就应该向左移动,这样才能让三数之和小一些。
如果 nums[i] + nums[left] + nums[right] < 0 说明 此时 三数之和小了,left 就向右移动,才能让三数之和大一些,直到left与right相遇为止。
时间复杂度:O(n^2)。
解法
//qsort辅助cmp函数
int cmp(const void* ptr1, const void* ptr2) {
return *((int*)ptr1) > *((int*)ptr2);
}
int** threeSum(int* nums, int numsSize, int* returnSize, int** returnColumnSizes) {
//开辟ans数组空间
int **ans = (int**)malloc(sizeof(int*) * 18000);
int ansTop = 0;
//若传入nums数组大小小于3,则需要返回数组大小为0
if(numsSize < 3) {
*returnSize = 0;
return ans;
}
//对nums数组进行排序
qsort(nums, numsSize, sizeof(int), cmp);
int i;
//用for循环遍历数组,结束条件为i < numsSize - 2(因为要预留左右指针的位置)
for(i = 0; i < numsSize - 2; i++) {
//若当前i指向元素>0,则代表left和right以及i的和大于0。直接break
if(nums[i] > 0)
break;
//去重:i > 0 && nums[i] == nums[i-1]
if(i > 0 && nums[i] == nums[i-1])
continue;
//定义左指针和右指针
int left = i + 1;
int right = numsSize - 1;
//当右指针比左指针大时进行循环
while(right > left) {
//求出三数之和
int sum = nums[right] + nums[left] + nums[i];
//若和小于0,则左指针+1(因为左指针右边的数比当前所指元素大)
if(sum < 0)
left++;
//若和大于0,则将右指针-1
else if(sum > 0)
right--;
//若和等于0
else {
//开辟一个大小为3的数组空间,存入nums[i], nums[left]和nums[right]
int* arr = (int*)malloc(sizeof(int) * 3);
arr[0] = nums[i];
arr[1] = nums[left];
arr[2] = nums[right];
//将开辟数组存入ans中
ans[ansTop++] = arr;
//去重
while(right > left && nums[right] == nums[right - 1])
right--;
while(left < right && nums[left] == nums[left + 1])
left++;
//更新左右指针
left++;
right--;
}
}
}
//设定返回的数组大小
*returnSize = ansTop;
*returnColumnSizes = (int*)malloc(sizeof(int) * ansTop);
int z;
for(z = 0; z < ansTop; z++) {
(*returnColumnSizes)[z] = 3;
}
return ans;
}
去重逻辑的思考
a的去重
说道去重,其实主要考虑三个数的去重。 a, b ,c, 对应的就是 nums[i],nums[left],nums[right]
a 如果重复了怎么办,a是nums里遍历的元素,那么应该直接跳过去。
但这里有一个问题,是判断 nums[i] 与 nums[i + 1]是否相同,还是判断 nums[i] 与 nums[i-1] 是否相同。
这不都一样吗。
其实不一样!
都是和 nums[i]进行比较,是比较它的前一个,还是比较他的后一个。
如果我们的写法是 这样:
if (nums[i] == nums[i + 1]) { // 去重操作
continue;
}
那就我们就把 三元组中出现重复元素的情况直接pass掉了。 例如{-1, -1 ,2} 这组数据,当遍历到第一个-1 的时候,判断 下一个也是-1,那这组数据就pass了。
我们要做的是 不能有重复的三元组,但三元组内的元素是可以重复的!
所以这里是有两个重复的维度。
那么应该这么写:
if (i > 0 && nums[i] == nums[i - 1]) {
continue;
}
这么写就是当前使用 nums[i],我们判断前一位是不是一样的元素,在看 {-1, -1 ,2} 这组数据,当遍历到 第一个 -1 的时候,只要前一位没有-1,那么 {-1, -1 ,2} 这组数据一样可以收录到 结果集里。
这是一个非常细节的思考过程。
b与c的去重
写本题的时候,去重的逻辑多加了 对right 和left 的去重:(代码中注释部分)
while (right > left) {
if (nums[i] + nums[left] + nums[right] > 0) {
right--;
// 去重 right
while (left < right && nums[right] == nums[right + 1]) right--;
} else if (nums[i] + nums[left] + nums[right] < 0) {
left++;
// 去重 left
while (left < right && nums[left] == nums[left - 1]) left++;
} else {
}
}
但细想一下,这种去重其实对提升程序运行效率是没有帮助的。
拿right去重为例,即使不加这个去重逻辑,依然根据 while (right > left) 和 if (nums[i] + nums[left] + nums[right] > 0) 去完成right-- 的操作。
多加了 while (left < right && nums[right] == nums[right + 1]) right--; 这一行代码,其实就是把 需要执行的逻辑提前执行了,但并没有减少 判断的逻辑。
最直白的思考过程,就是right还是一个数一个数的减下去的,所以在哪里减的都是一样的。
所以这种去重 是可以不加的。 仅仅是 把去重的逻辑提前了而已。
4)四数之和(了解)
题目描述
题意:给定一个包含 n 个整数的数组 nums 和一个目标值 target,判断 nums 中是否存在四个元素 a,b,c 和 d ,使得 a + b + c + d 的值与 target 相等?找出所有满足条件且不重复的四元组。
注意:
答案中不可以包含重复的四元组。
示例: 给定数组 nums = [1, 0, -1, 0, -2, 2],和 target = 0。 满足要求的四元组集合为: [ [-1, 0, 0, 1], [-2, -1, 1, 2], [-2, 0, 0, 2] ]
思路
四数之和,和三数之和是一个思路,都是使用双指针法, 基本解法就是在三数之和的基础上再套一层for循环。
但是有一些细节需要注意,例如: 不要判断nums[k] > target 就返回了,三数之和 可以通过 nums[i] > 0 就返回了,因为 0 已经是确定的数了,四数之和这道题目 target是任意值。比如:数组是[-4, -3, -2, -1],target是-10,不能因为-4 > -10而跳过。但是我们依旧可以去做剪枝,逻辑变成nums[i] > target && (nums[i] >=0 || target >= 0)就可以了。
三数之和的双指针解法是一层for循环num[i]为确定值,然后循环内有left和right下标作为双指针,找到nums[i] + nums[left] + nums[right] == 0。
四数之和的双指针解法是两层for循环nums[k] + nums[i]为确定值,依然是循环内有left和right下标作为双指针,找出nums[k] + nums[i] + nums[left] + nums[right] == target的情况,三数之和的时间复杂度是O(n^2),四数之和的时间复杂度是O(n^3) 。
那么一样的道理,五数之和、六数之和等等都采用这种解法。
对于三数之和双指针法就是将原本暴力O(n^3)的解法,降为O(n^2)的解法,四数之和的双指针解法就是将原本暴力O(n^4)的解法,降为O(n^3)的解法。
解法
c++代码
class Solution {
public:
vector<vector<int>> fourSum(vector<int>& nums, int target) {
vector<vector<int>> result;
sort(nums.begin(), nums.end());
for (int k = 0; k < nums.size(); k++) {
// 剪枝处理
if (nums[k] > target && nums[k] >= 0) {
break; // 这里使用break,统一通过最后的return返回
}
// 对nums[k]去重
if (k > 0 && nums[k] == nums[k - 1]) {
continue;
}
for (int i = k + 1; i < nums.size(); i++) {
// 2级剪枝处理
if (nums[k] + nums[i] > target && nums[k] + nums[i] >= 0) {
break;
}
// 对nums[i]去重
if (i > k + 1 && nums[i] == nums[i - 1]) {
continue;
}
int left = i + 1;
int right = nums.size() - 1;
while (right > left) {
// nums[k] + nums[i] + nums[left] + nums[right] > target 会溢出
if ((long) nums[k] + nums[i] + nums[left] + nums[right] > target) {
right--;
// nums[k] + nums[i] + nums[left] + nums[right] < target 会溢出
} else if ((long) nums[k] + nums[i] + nums[left] + nums[right] < target) {
left++;
} else {
result.push_back(vector<int>{nums[k], nums[i], nums[left], nums[right]});
// 对nums[left]和nums[right]去重
while (right > left && nums[right] == nums[right - 1]) right--;
while (right > left && nums[left] == nums[left + 1]) left++;
// 找到答案时,双指针同时收缩
right--;
left++;
}
}
}
}
return result;
}
};
3)同向扫描经典应用一:滑动窗口
1)简介
滑动窗口,就是不断的调节子序列的起始位置和终止位置,从而得出我们要想的结果
滑动窗口的精妙之处在于根据当前子序列和大小的情况,不断调节子序列的起始位置。从而将O(n^2)暴力解法降为O(n)。
2)题目实践
1)长度最小的子数组
题目描述
给定一个含有 n 个正整数的数组和一个正整数 s ,找出该数组中满足其和 ≥ s 的长度最小的 连续 子数组,并返回其长度。如果不存在符合条件的子数组,返回 0。
示例:
输入:s = 7, nums = [2,3,1,2,4,3] 输出:2 解释:子数组 [4,3] 是该条件下的长度最小的子数组
思路
暴力法:
- 时间复杂度:O(n^2)
- 空间复杂度:O(1)
滑动窗口:
在暴力解法中,是一个for循环滑动窗口的起始位置,一个for循环为滑动窗口的终止位置,用两个for循环 完成了一个不断搜索区间的过程。
那么滑动窗口如何用一个for循环来完成这个操作呢。
首先要思考 如果用一个for循环,那么应该表示 滑动窗口的起始位置,还是终止位置。
如果只用一个for循环来表示 滑动窗口的起始位置,那么如何遍历剩下的终止位置?
此时难免再次陷入 暴力解法的怪圈。
所以 只用一个for循环,那么这个循环的索引,一定是表示 滑动窗口的终止位置。
那么问题来了, 滑动窗口的起始位置如何移动呢?
这里还是以题目中的示例来举例,s=7, 数组是 2,3,1,2,4,3,来看一下查找的过程:
最后找到 4,3 是最短距离。
其实从动画中可以发现滑动窗口也可以理解为双指针法的一种!只不过这种解法更像是一个窗口的移动,所以叫做滑动窗口更适合一些。
在本题中实现滑动窗口,主要确定如下三点:
- 窗口内是什么?
- 如何移动窗口的起始位置?
- 如何移动窗口的结束位置?
窗口就是 满足其和 ≥ s 的长度最小的 连续 子数组。
窗口的起始位置如何移动:如果当前窗口的值大于s了,窗口就要向前移动了(也就是该缩小了)。
窗口的结束位置如何移动:窗口的结束位置就是遍历数组的指针,也就是for循环里的索引。
解题的关键在于 窗口的起始位置如何移动,如图所示:

解法
暴力法:
这道题目暴力解法当然是 两个for循环,然后不断的寻找符合条件的子序列,时间复杂度很明显是O(n^2)。
int minSubArrayLen(int target, int* nums, int numsSize){
//初始化最小长度为INT_MAX
int minLength = INT_MAX;
int sum;
int left, right;
for(left = 0; left < numsSize; ++left) {
//每次遍历都清零sum,计算当前位置后和>=target的子数组的长度
sum = 0;
//从left开始,sum中添加元素
for(right = left; right < numsSize; ++right) {
sum += nums[right];
//若加入当前元素后,和大于target,则更新minLength
if(sum >= target) {
int subLength = right - left + 1;
minLength = minLength < subLength ? minLength : subLength;
}
}
}
//若minLength不为INT_MAX,则返回minLnegth
return minLength == INT_MAX ? 0 : minLength;
}
滑动窗口:
int minSubArrayLen(int target, int* nums, int numsSize){
//初始化最小长度为INT_MAX
int minLength = INT_MAX;
int sum = 0;
int left = 0, right = 0;
//右边界向右扩展
for(; right < numsSize; ++right) {
sum += nums[right];
//当sum的值大于等于target时,保存长度,并且收缩左边界
while(sum >= target) {
int subLength = right - left + 1;
minLength = minLength < subLength ? minLength : subLength;
sum -= nums[left++];
}
}
//若minLength不为INT_MAX,则返回minLnegth
return minLength == INT_MAX ? 0 : minLength;
}
2)寻找区间和
题目描述
给定一个长度为 n 的数组a]和一个数 s,在这个数组中找一个区间,使这个区间的数组元素之和等于 s。输出区间的起点和终点位置。说明:输入样例的第1行是n=15,第 2 行是数组a],第 3 行是区间和s=6。输出样例共有4种情况。
输人样例:
15
6 1 2 3 4 6 4 2 8 9 10 11 12 13 14
6
输出样例:
0 0
1 3
5 5
6 2
思路
指针i和j(i<j) 都从头向尾扫描,判断区间[i,j],数组元素的和是否等于 s。
如何寻找区间和等于 s 的区间? 如果简单地对 和做二重循环,复杂度为 O(n2)
用尺取法,复杂度为 O(n),操作步骤如下。
(1) 初始值 i=0,j=0,即开始都指向第 1 个元素a[o]。定义 sum 是区间[i,j]数组元
素的和,初始值 sum=a[0]。
(2) 如果 sum=s,输出一个解。继续,把 sum 减掉元素 a[i],并把向后移动一位。
(3)如果 sum>s,让 sum 减掉元素 a[],并把向后移动一位。
(4) 如果 sum<s,把,向后移动一位,并把 sum 的值加上这个新元素。在上面的步骤中,有两个关键技巧。
(1)滑动窗口的实现。窗口就是区间[i,门,随着和从头到尾移动,窗口就“滑动”扫描了整个序列,检索了所有数据。i 和,并不是同步增加的,窗口像一只蚯蚓伸缩前进,它的长度是变化的,这个变化正对应了对区间和的计算。
(2)sum 的使用。如何计算区间和? 暴力的方法是从 a[]到 a[j]累加,但是这个累加的复杂度为 O(n),超时。如果利用 sum,每次移动i或时,只需要把 sum 加或减一次,得到了区间和,复杂度为 O(1)。这是“前缀和”递推思想的应用。
解法
代码
void findsum(int *a,int s)
{
int i=0,j=0;
int sum=a[0];
while(j<n)//下面代码保证i<=j
{
if(sum>=s)
{
if(sum==s) printf("%d %d\n",i,j);
sum-=a[i];
i++;
if(i>j) {sum=a[i];j++}//防止i超过j
}
if(sum<s) {j++;sum+=a[j];}
}
}
拓展
滑动窗口的例子还有:
1)给定一个序列以及一个整数M,在序列中找M个连续递增的元素,使他们的区间和最大
2)给定一个序列以及一个整数K,求一个最短的连续子序列,其中包含至少K个不同的元素
4)同向扫描经典应用二:数组去重
数组去重是很常见的操作,方法也很多,尺取法是比较优秀的算法;
问题描述
给定数组a[],长度为n,把数组中重复的数去掉
解法
1)哈希
哈希函数的特点是有冲突,利用这个特点去重。把所有数插入哈希表,用冲突过滤重复的数,就能得到不同的数。缺点是哈希把数据的值本身看作地址,如果数据值过大,需要的空间也非常大;
2)尺取法
1)将数组排序,排序后重复的整数就会挤在一起
2)定义双指针i和j,初始值都指向a[0].i和j都从头到尾扫描数组a[],i指针走得快,逐个遍历整个数组;j指针走的慢,他始终指向当前不重复部分的最后一个数。也就是说,j用于获取不重复的数
3)扫描数组。快指针执行i++,如果此时a【i】不等于满指针j指向的a[j],就执行j++,并且把a【i]
复制到满指针j的当前位置a【j】。
4)i扫描结束后,a[0]-a[j]就是不重复数组
5)同向扫描经典应用三:多指针
问题描述
给出一串数以及一个数字 C,要求计算出所有A-B=C 的数对的个数(不同位置的数字一样的数对算不同的数对)。
输入:共两行。第1行输入两个整数和C;第2 行输入个整数,作为要求处理的那串数。
输出:该串数中包含的满足A-B=C 的数对的个数。数据范围:1 n≤2X10;所有输入数据绝对值小于 2的30次方
输入样例:6 3
8 4 5 7 7 4
输出样例:
5
解法
尺取法:
对输人样例排序后得(4 4 5 7 7 8),其中第1个4和后面两个7 是两对,第2个4和面两个 7也是两对,共 4 对。如果仅使用 i 和两个指针,无法实现。如何解决?可以把后面两个7看作一个整体,一起统计数对。用两个指针 j和指这种区间,[j,k]区间内每个数都相同,这个区间可以产生k一i个数对。细节见下面的代码。使用3 个指针,i 是主指针,从头到尾遍历 n个数;j和k 是辅助指针,用于查找数字相同的区间[j,k]。
第 10 行的尺取法代码只有一个 for 循环,且和k 随着递增,所以复杂度为 O(n)。
另外,第8行的排序复杂度为 O(nlog2n)
#include < stdio.h>
const int N= 2e5 + 5;
int a[N];
int main ()
{
int n,c;
scanf("%d %d",&n,&c);
for(int i=1;i<=n;i++)
scanf("%d",&a[i]);
sort(a+1,a+1+n);
long long ans= 0;
for(int i=1,j=1,k=1; i<= n;i++)
{
while(j<= n&&a[j] - a[i]<c) j++; //用j和k查找数字相同的区间
while(k<= n && a[k] - a[i]<= c) k++; //区间[j,k]内所有数字相同
if(a[j]-a[i]==c&& a[k-1]-a[i]==c&& k-1>=1) ans += k - j;
}
printf("%d",ans);
return 0;
}
6)与链表相关的题目
1)翻转链表
题目描述
反转一个单链表。
示例: 输入: 1->2->3->4->5->NULL 输出: 5->4->3->2->1->NULL
思路
如果再定义一个新的链表,实现链表元素的反转,其实这是对内存空间的浪费。
其实只需要改变链表的next指针的指向,直接将链表反转 ,而不用重新定义一个新的链表,如图所示:

之前链表的头节点是元素1, 反转之后头结点就是元素5 ,这里并没有添加或者删除节点,仅仅是改变next指针的方向。
示例:
注意:下图应该是先移动pre,再移动cur;

首先定义一个cur指针,指向头结点,再定义一个pre指针,初始化为null。
然后就要开始反转了,首先要把 cur->next 节点用tmp指针保存一下,也就是保存一下这个节点。
为什么要保存一下这个节点呢,因为接下来要改变 cur->next 的指向了,将cur->next 指向pre ,此时已经反转了第一个节点了。
接下来,就是循环走如下代码逻辑了,继续移动pre和cur指针。
最后,cur 指针已经指向了null,循环结束,链表也反转完毕了。 此时我们return pre指针就可以了,pre指针就指向了新的头结点。
解法
双指针法
struct ListNode* reverseList(struct ListNode* head){
//保存cur的下一个结点
struct ListNode* temp;
//pre指针指向前一个当前结点的前一个结点
struct ListNode* pre = NULL;
//用head代替cur,也可以再定义一个cur结点指向head。
while(head) {
//保存下一个结点的位置
temp = head->next;
//翻转操作
head->next = pre;
//更新结点
pre = head;
head = temp;
}
return pre;
}
递归法
struct ListNode* reverse(struct ListNode* pre, struct ListNode* cur) {
if(!cur)
return pre;
struct ListNode* temp = cur->next;
cur->next = pre;
//将cur作为pre传入下一层
//将temp作为cur传入下一层,改变其指针指向当前cur
return reverse(cur, temp);
}
struct ListNode* reverseList(struct ListNode* head){
return reverse(NULL, head);
}
2)删除链表的倒数第N个节点
题目描述
给你一个链表,删除链表的倒数第 n 个结点,并且返回链表的头结点。
进阶:你能尝试使用一趟扫描实现吗?

输入:head = [1,2,3,4,5], n = 2 输出:[1,2,3,5]
示例 2:
输入:head = [1], n = 1 输出:[]
示例 3:
输入:head = [1,2], n = 1 输出:[1]
思路
双指针的经典应用,如果要删除倒数第n个节点,让fast移动n步,然后让fast和slow同时移动,直到fast指向链表末尾。删掉slow所指向的节点就可以了。
思路是这样的,但要注意一些细节。
分为如下几步:
-
首先这里我推荐大家使用虚拟头结点,这样方便处理删除实际头结点的逻辑,
-
定义fast指针和slow指针,初始值为虚拟头结点,如图:
fast首先走n + 1步 ,为什么是n+1呢,因为只有这样同时移动的时候slow才能指向删除节点的上一个节点(方便做删除操作),如图:

fast和slow同时移动,直到fast指向末尾,如图:

删除slow指向的下一个节点,如图:

解法
/**c语言单链表的定义
* Definition for singly-linked list.
* struct ListNode {
* int val;
* struct ListNode *next;
* };
*/
struct ListNode* removeNthFromEnd(struct ListNode* head, int n) {
//定义虚拟头节点dummy 并初始化使其指向head
struct ListNode* dummy = malloc(sizeof(struct ListNode));
dummy->val = 0;
dummy->next = head;
//定义 fast slow 双指针
struct ListNode* fast = head;
struct ListNode* slow = dummy;
for (int i = 0; i < n; ++i) {
fast = fast->next;
}
while (fast) {
fast = fast->next;
slow = slow->next;
}
slow->next = slow->next->next;//删除倒数第n个节点
head = dummy->next;
free(dummy);//删除虚拟节点dummy
return head;
}
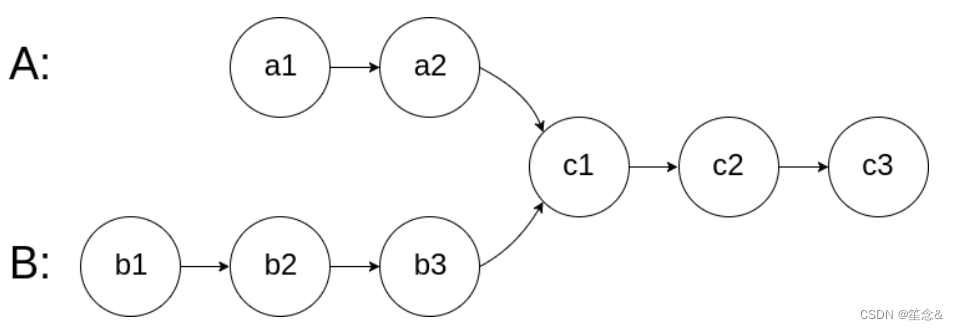
3)链表相交
题目描述
给你两个单链表的头节点 headA 和 headB ,请你找出并返回两个单链表相交的起始节点。如果两个链表没有交点,返回 null 。
图示两个链表在节点 c1 开始相交:

题目数据 保证 整个链式结构中不存在环。
注意,函数返回结果后,链表必须 保持其原始结构 。
示例 1:

示例2:

示例 3:


思路
简单来说,就是求两个链表交点节点的指针。 这里同学们要注意,交点不是数值相等,而是指针相等。
为了方便举例,假设节点元素数值相等,则节点指针相等。
看如下两个链表,目前curA指向链表A的头结点,curB指向链表B的头结点:

我们求出两个链表的长度,并求出两个链表长度的差值,然后让curA移动到,和curB 末尾对齐的位置,如图:

此时我们就可以比较curA和curB是否相同,如果不相同,同时向后移动curA和curB,如果遇到curA == curB,则找到交点。
否则循环退出返回空指针。
解法
代码
ListNode *getIntersectionNode(ListNode *headA, ListNode *headB) {
ListNode *l = NULL, *s = NULL;
int lenA = 0, lenB = 0, gap = 0;
// 求出两个链表的长度
s = headA;
while (s) {
lenA ++;
s = s->next;
}
s = headB;
while (s) {
lenB ++;
s = s->next;
}
// 求出两个链表长度差
if (lenA > lenB) {
l = headA, s = headB;
gap = lenA - lenB;
} else {
l = headB, s = headA;
gap = lenB - lenA;
}
// 尾部对齐
while (gap--) l = l->next;
// 移动,并检查是否有相同的元素
while (l) {
if (l == s) return l;
l = l->next, s = s->next;
}
return NULL;
}
4)环形链表
题目描述
给定一个链表,返回链表开始入环的第一个节点。 如果链表无环,则返回 null。
为了表示给定链表中的环,使用整数 pos 来表示链表尾连接到链表中的位置(索引从 0 开始)。 如果 pos 是 -1,则在该链表中没有环。
说明:不允许修改给定的链表。

思路
主要考察两知识点:
- 判断链表是否环
- 如果有环,如何找到这个环的入口
1)判断链表是否有环
可以使用快慢指针法,分别定义 fast 和 slow 指针,从头结点出发,fast指针每次移动两个节点,slow指针每次移动一个节点,如果 fast 和 slow指针在途中相遇 ,说明这个链表有环。
为什么fast 走两个节点,slow走一个节点,有环的话,一定会在环内相遇呢,而不是永远的错开呢
首先第一点:fast指针一定先进入环中,如果fast指针和slow指针相遇的话,一定是在环中相遇,这是毋庸置疑的。
那么来看一下,为什么fast指针和slow指针一定会相遇呢?
可以画一个环,然后让 fast指针在任意一个节点开始追赶slow指针。
会发现最终都是这种情况, 如下图:

fast和slow各自再走一步, fast和slow就相遇了
这是因为fast是走两步,slow是走一步,其实相对于slow来说,fast是一个节点一个节点的靠近slow的,所以fast一定可以和slow重合。
2)如果有环,如何找到这个环的入口
此时已经可以判断链表是否有环了,那么接下来要找这个环的入口了。
假设从头结点到环形入口节点 的节点数为x。 环形入口节点到 fast指针与slow指针相遇节点 节点数为y。 从相遇节点 再到环形入口节点节点数为 z。 如图所示:

那么相遇时: slow指针走过的节点数为: x + y, fast指针走过的节点数:x + y + n (y + z),n为fast指针在环内走了n圈才遇到slow指针, (y+z)为 一圈内节点的个数A。
因为fast指针是一步走两个节点,slow指针一步走一个节点, 所以 fast指针走过的节点数 = slow指针走过的节点数 * 2:
(x + y) * 2 = x + y + n (y + z)
两边消掉一个(x+y): x + y = n (y + z)
因为要找环形的入口,那么要求的是x,因为x表示 头结点到 环形入口节点的的距离。
所以要求x ,将x单独放在左面:x = n (y + z) - y ,
再从n(y+z)中提出一个 (y+z)来,整理公式之后为如下公式:x = (n - 1) (y + z) + z 注意这里n一定是大于等于1的,因为 fast指针至少要多走一圈才能相遇slow指针。
这个公式说明什么呢?
先拿n为1的情况来举例,意味着fast指针在环形里转了一圈之后,就遇到了 slow指针了。
当 n为1的时候,公式就化解为 x = z,
这就意味着,从头结点出发一个指针,从相遇节点 也出发一个指针,这两个指针每次只走一个节点, 那么当这两个指针相遇的时候就是 环形入口的节点。
也就是在相遇节点处,定义一个指针index1,在头结点处定一个指针index2。
让index1和index2同时移动,每次移动一个节点, 那么他们相遇的地方就是 环形入口的节点。
动画如下:

那么 n如果大于1是什么情况呢,就是fast指针在环形转n圈之后才遇到 slow指针。
其实这种情况和n为1的时候 效果是一样的,一样可以通过这个方法找到 环形的入口节点,只不过,index1 指针在环里 多转了(n-1)圈,然后再遇到index2,相遇点依然是环形的入口节点。
解法
代码如下:
ListNode *detectCycle(ListNode *head) {
ListNode *fast = head, *slow = head;
while (fast && fast->next) {
// 这里判断两个指针是否相等,所以移位操作放在前面
slow = slow->next;
fast = fast->next->next;
if (slow == fast) { // 相交,开始找环形入口:分别从头部和从交点出发,找到相遇的点就是环形入口
ListNode *f = fast, *h = head;
while (f != h) f = f->next, h = h->next;
return h;
}
}
return NULL;
}
总结:判断链表中是否含有环
在单链表中,每个节点只知道下一个节点,用一个指针能否判断链表中是否含有环?
如果链表中不含环,那么这个指针最终会遇到空指针 null,表示链表到头,可以判断该链表不含环。
但是如果链表中含有环,那么这个指针就会陷入死循环,因为环形数组中没有 null指针作为尾部节点。
经典解法是用两个指针,一个跑得快,一个跑得慢。
如果不含有环,跑得快的指针最终会遇到 null 指针,说明链表不含环;如果含有环,快指针最终会超慢指针一圈,和慢指针相遇,说明链表含有环。

280

被折叠的 条评论
为什么被折叠?



