TensorFlow中交叉熵的实现
手动实现
import tensorflow as tf
# logits 为输出层输出
logits = tf.constant([[1.0, 2.0, 3.0], [4.0, 5.0, 6.0], [7.0, 8.0, 9.0]])
# softmax
soft_y = tf.nn.softmax(logits)
# label y_
y_ = tf.constant([[0.0, 0.0, 1.0], [0.0, 0.0, 1.0], [0.0, 0.0, 1.0]])
# negative log
neg_soft_log= y_ * tf.log(soft_y)
# cross entorpy
cross_entropy = -tf.reduce_sum(neg_soft_log)
调库实现
# softmax_cross_entropy_with_logits
soft_ce_logits=tf.nn.softmax_cross_entropy_with_logits_v2(logits=logits, labels=y_)
# sum all negitive log
cross_entropy_tf = tf.reduce_sum(soft_ce_logits)
代码验证
with tf.Session() as sess:
softmax = sess.run(soft_y)
ce = sess.run(cross_entropy)
ce_tf = sess.run(cross_entropy_tf)
print('softmax(y):')
print(softmax)
print()
print('negative log: - y_ * log(y)')
print(sess.run(neg_soft_log))
print()
print("softmax result")
print(ce)
print()
print('soft cross entropy logits:')
print(sess.run(soft_ce_logits))
print("softmax_cross_entropy_with_logits")
print(ce_tf)
输出结果
softmax(y):
[[0.09003057 0.24472848 0.66524094]
[0.09003057 0.24472848 0.66524094]
[0.09003057 0.24472848 0.66524094]]
negative log: - y_ * log(y)
[[-0. -0. -0.407606 ]
[-0. -0. -0.407606 ]
[-0. -0. -0.40760598]]
softmax result
1.222818
soft cross entropy logits:
[0.40760595 0.40760595 0.40760595]
softmax_cross_entropy_with_logits
1.2228179
Pytorch中交叉熵的实现
手动实现
y = torch.Tensor([[1.0, 2.0, 3.0], [4.0, 5.0, 6.0], [7.0, 8.0, 9.0]])
# softmax
soft_y = torch.nn.Softmax(dim=-1)(y)
print("step1:softmax result=")
print(soft_y)
print()
# label y_
y_ = torch.Tensor([[0.0, 0.0, 1.0], [0.0, 0.0, 1.0], [0.0, 0.0, 1.0]])
log_soft_y=torch.log(soft_y)
print('log soft y:')
print(log_soft_y)
print()
ce=-torch.mean(y_*log_soft_y)
print('tf way ce: ', ce)
y_2 = torch.LongTensor([2, 2, 2])
ce_torch=torch.nn.NLLLoss()(log_soft_y,y_2)
print('torch way ce :',ce_torch)
调库实现
ce_loss_torch=torch.nn.CrossEntropyLoss()(y,y_2)
print('ce in torch nn')
print(ce_loss_torch)
输出结果
softmax result=
tensor([[0.0900, 0.2447, 0.6652],
[0.0900, 0.2447, 0.6652],
[0.0900, 0.2447, 0.6652]])
log soft y:
tensor([[-2.4076, -1.4076, -0.4076],
[-2.4076, -1.4076, -0.4076],
[-2.4076, -1.4076, -0.4076]])
tf way ce: tensor(0.1359)
torch way ce : tensor(0.4076)
ce in torch nn
tensor(0.4076)
结论
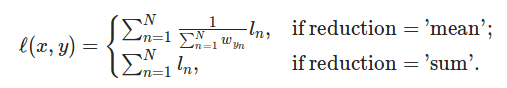
TensorFlow 没有求平均,Pytorch对输出结果求了平均!



4020

被折叠的 条评论
为什么被折叠?



