手撕Boost!Boost公式推导及实验验证
手撕Buck!Buck公式推导过程
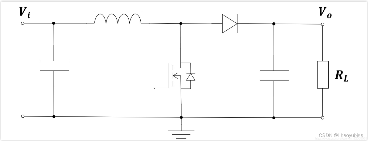
Boost
Boost的拓扑结构

在开关导通的时候
电感两端电压U=Vi不变,电感量L也是常数,di/dt=U/L=常数,电流随时间线性变化.。如果我们规定电流流向负载的方向是正,根据电感此时电压,是左边大于右边,所以电感的电流是线性增大的。
当开关断开的时候
电感两端的电压U=Vo+Vd-Vi,也是恒定的,电流同样随时间线性变化。只不过电压的方向是反的,右边大于左边,所以电感的电流是线性减小的。

电感的峰值电流不能超过电感的饱和电流

开关导通,电感电流增大,增大到饱和电流的时候,那么L会快速减小,意味着di/dt=U/L快速增大。
也就是说,di/dt变大了,即电感电流随时间更快的增大。
电流更大了,那么进一步电感感量L更小了,di/dt更更更大了,电流又更更更大了。
Boost各处电压电流波形

功率电感
电感伏秒特性
一个周期内,电感电流增大量等于减小量。
然后又因为U=Ldi/dt,di/dt=U/L,L不变,所以电感电流变化速度与电压成正比。
简单说就是,电感电流上升或下降的斜率与电压成正比。
斜率与电压成正比,电感电流上升的高度与下降高度又相同,那上升时间不就和电压成反比了吗?

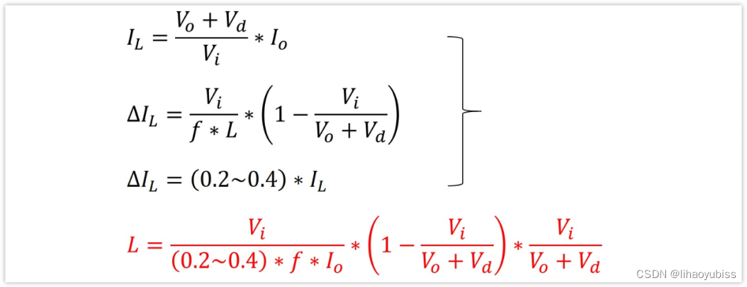
功率电感选型
两个参数,电感感量和电感电流
电感感量又决定了电感纹波电流的大小,为什么呢?
还是因为U=Ldi/dt,di/dt=U/L=电流变化斜率
所以,当我们确定了输入输出电压,那么电感两端的电压就是固定的,那么电感电流变化斜率与电感量成反比,电感越大,斜率越小。

一般来说,电感感量的确定,是让电感的纹波电流△IL等于电感平均电流的20%-40%之间。
电感过大或过小会有什么影响?
如果电感感量过小,那么电感纹波电流会比较大,即流过电感电流的峰值会很高,电感饱和电流就要很高。如此同时,过大的电流,在开关切换时,会导致EMI问题会更加明显。
如果电感感量过大,那么电感电流纹波会比较小,会导致动态响应变差。
电感值范围

输入滤波电容
电容上面的纹波变化可以分成两个部分。
一个是电容放电或者是充电,存储了电荷量发生了变化,这个变化会导致电压变化,可以用公式Q=CUq来表示,Uq即是电压的变化。
另一个是电容有等效串联电阻ESR,电容充放电时有电流流过,电流流过ESR会产生压降,这个压降用Uesr表示吧。
所以,电压纹波应该是:
△Vi=Uq+Uesr
电容特性
陶瓷电容ESR小,容量小,Uq对纹波起决定作用,所以可以近似△Vi=Uq
铝电解电容容量大,ESR大,Uesr对纹波起决定作用,所以可以近似△Vi=Uesr
陶瓷电容根据容量值去选

铝电解电容根据ESR去选

输出滤波电容


Boost实验

有一点需要说明下:图中二极管的电流和输出滤波电容的电流都有一个向下的尖峰,这个尖峰是因为二极管的反向恢复时间造成的
即二极管电压反向,它不能马上恢复截止功能的,需要时间,这个时间就是反向恢复时间,在这个时间里面,二极管可以通过较大的反向电流,所以就有了较大的反向电流存在。
陶瓷电容特性
陶瓷电容有一个特性,就是容量会随所加的电压发生变化,这个变化很大!!
这个特性叫直流偏压特性,MLCC有这个特性,铝电解电容没这个。
1、我们使用公式计算出的电容量大小,往往是偏小的,真实纹波要比计算值要高一些。
2、MLCC陶瓷电容的直流偏压特性,因此使用时,往往实际容量要比标称值小很多。
3、boost输出会容易产生高频毛刺,需要加小电容降低毛刺。
因此,设计时,真正的电容要比计算的大,纹波要求严格的地方,可能需要4-5倍。

214

被折叠的 条评论
为什么被折叠?



