二叉树的层序遍历1
给你一个二叉树,请你返回其按 层序遍历 得到的节点值。 (即逐层地,从左到右访问所有节点)。
示例:
二叉树:[3,9,20,null,null,15,7],
3 / \ 9 20 / \ 15 7
返回其层序遍历结果:
[ [3], [9,20], [15,7] ]
参考答案
class Solution {
public:
vector<vector<int>> levelOrder(TreeNode* root) {
vector <vector <int>> ret;
if (!root) {
return ret;
}
queue <TreeNode*> q;
q.push(root);
while (!q.empty()) {
int currentLevelSize = q.size();
ret.push_back(vector <int> ());
for (int i = 1; i <= currentLevelSize; ++i) {
auto node = q.front(); q.pop();
ret.back().push_back(node->val);
if (node->left) q.push(node->left);
if (node->right) q.push(node->right);
}
}
return ret;
}
};
二叉树层序遍历2
给定一个二叉树,返回其节点值自底向上的层序遍历。 (即按从叶子节点所在层到根节点所在的层,逐层从左向右遍历)
例如: 给定二叉树 [3,9,20,null,null,15,7],
3 / \ 9 20 / \ 15 7
返回其自底向上的层序遍历为:
[ [15,7], [9,20], [3] ]
参考答案
class Solution {
public:
vector<vector<int>> levelOrderBottom(TreeNode* root) {
auto levelOrder = vector<vector<int>>();
if (!root) {
return levelOrder;
}
queue<TreeNode*> q;
q.push(root);
while (!q.empty()) {
auto level = vector<int>();
int size = q.size();
for (int i = 0; i < size; ++i) {
auto node = q.front();
q.pop();
level.push_back(node->val);
if (node->left) {
q.push(node->left);
}
if (node->right) {
q.push(node->right);
}
}
levelOrder.push_back(level);
}
reverse(levelOrder.begin(), levelOrder.end());
return levelOrder;
}
};
二叉树后序遍历
给定一个二叉树,返回它的 后序 遍历。
示例:
输入: [1,null,2,3] 1 \ 2 / 3 输出: [3,2,1]
参考答案
class Solution {
public:
void addPath(vector<int> &vec, TreeNode *node) {
int count = 0;
while (node != nullptr) {
++count;
vec.emplace_back(node->val);
node = node->right;
}
reverse(vec.end() - count, vec.end());
}
vector<int> postorderTraversal(TreeNode *root) {
vector<int> res;
if (root == nullptr) {
return res;
}
TreeNode *p1 = root, *p2 = nullptr;
while (p1 != nullptr) {
p2 = p1->left;
if (p2 != nullptr) {
while (p2->right != nullptr && p2->right != p1) {
p2 = p2->right;
}
if (p2->right == nullptr) {
p2->right = p1;
p1 = p1->left;
continue;
} else {
p2->right = nullptr;
addPath(res, p1->left);
}
}
p1 = p1->right;
}
addPath(res, root);
return res;
}
};
二叉树的锯齿形层序遍历
给定一个二叉树,返回其节点值的锯齿形层序遍历。(即先从左往右,再从右往左进行下一层遍历,以此类推,层与层之间交替进行)。
例如: 给定二叉树 [3,9,20,null,null,15,7],
3 / \ 9 20 / \ 15 7
返回锯齿形层序遍历如下:
[ [3], [20,9], [15,7] ]
参考答案
class Solution {
public:
vector<vector<int>> zigzagLevelOrder(TreeNode* root) {
vector<vector<int>> ans;
if (!root) {
return ans;
}
queue<TreeNode*> nodeQueue;
nodeQueue.push(root);
bool isOrderLeft = true;
while (!nodeQueue.empty()) {
deque<int> levelList;
int size = nodeQueue.size();
for (int i = 0; i < size; ++i) {
auto node = nodeQueue.front();
nodeQueue.pop();
if (isOrderLeft) {
levelList.push_back(node->val);
} else {
levelList.push_front(node->val);
}
if (node->left) {
nodeQueue.push(node->left);
}
if (node->right) {
nodeQueue.push(node->right);
}
}
ans.emplace_back(vector<int>{levelList.begin(), levelList.end()});
isOrderLeft = !isOrderLeft;
}
return ans;
}
};
二叉树的前序遍历
给你二叉树的根节点 root ,返回它节点值的 前序 遍历。
示例 1:

输入:root = [1,null,2,3] 输出:[1,2,3]
示例 2:
输入:root = [] 输出:[]
示例 3:
输入:root = [1] 输出:[1]
示例 4:

输入:root = [1,2] 输出:[1,2]
示例 5:

输入:root = [1,null,2] 输出:[1,2]
提示:
-
树中节点数目在范围 [0, 100] 内
-
-100 <= Node.val <= 100
class Solution {
public:
vector<int> preorderTraversal(TreeNode *root) {
vector<int> res;
if (root == nullptr) {
return res;
}
TreeNode *p1 = root, *p2 = nullptr;
while (p1 != nullptr) {
p2 = p1->left;
if (p2 != nullptr) {
while (p2->right != nullptr && p2->right != p1) {
p2 = p2->right;
}
if (p2->right == nullptr) {
res.emplace_back(p1->val);
p2->right = p1;
p1 = p1->left;
continue;
} else {
p2->right = nullptr;
}
} else {
res.emplace_back(p1->val);
}
p1 = p1->right;
}
return res;
}
};
二叉树的右视图
给定一棵二叉树,想象自己站在它的右侧,按照从顶部到底部的顺序,返回从右侧所能看到的节点值。
示例:
输入: [1,2,3,null,5,null,4] 输出: [1, 3, 4] 解释: 1 <--- / \ 2 3 <--- \ \ 5 4 <---
参考答案
class Solution {
public:
vector<int> rightSideView(TreeNode* root) {
unordered_map<int, int> rightmostValueAtDepth;
int max_depth = -1;
queue<TreeNode*> nodeQueue;
queue<int> depthQueue;
nodeQueue.push(root);
depthQueue.push(0);
while (!nodeQueue.empty()) {
TreeNode* node = nodeQueue.front();nodeQueue.pop();
int depth = depthQueue.front();depthQueue.pop();
if (node != NULL) {
// 维护二叉树的最大深度
max_depth = max(max_depth, depth);
// 由于每一层最后一个访问到的节点才是我们要的答案,因此不断更新对应深度的信息即可
rightmostValueAtDepth[depth] = node -> val;
nodeQueue.push(node -> left);
nodeQueue.push(node -> right);
depthQueue.push(depth + 1);
depthQueue.push(depth + 1);
}
}
vector<int> rightView;
for (int depth = 0; depth <= max_depth; ++depth) {
rightView.push_back(rightmostValueAtDepth[depth]);
}
return rightView;
}
};
二叉树的中序遍历
给定一个二叉树的根节点 root ,返回它的 中序 遍历。
示例 1:
输入:root = [1,null,2,3] 输出:[1,3,2]
示例 2:
输入:root = [] 输出:[]
示例 3:
输入:root = [1] 输出:[1]
示例 4:
输入:root = [1,2] 输出:[2,1]
示例 5:
输入:root = [1,null,2] 输出:[1,2]
提示:
-
树中节点数目在范围 [0, 100] 内
-
-100 <= Node.val <= 100
class Solution {
public:
vector<int> postorderTraversal(TreeNode* root) {
vector<int> result;
stack<TreeNode*> st;
if (root != NULL) st.push(root);
while (!st.empty()) {
TreeNode* node = st.top();
if (node != NULL) {
st.pop();
st.push(node); // 中
st.push(NULL);
if (node->right) st.push(node->right); // 右
if (node->left) st.push(node->left); // 左
} else {
st.pop();
node = st.top();
st.pop();
result.push_back(node->val);
}
}
return result;
}
};
二叉树的最大深度
给定一个二叉树,找出其最大深度。
二叉树的深度为根节点到最远叶子节点的最长路径上的节点数。
说明: 叶子节点是指没有子节点的节点。
示例: 给定二叉树 [3,9,20,null,null,15,7],
3 / \ 9 20 / \ 15 7
返回它的最大深度 3 。
参考答案
class Solution {
public:
int maxDepth(TreeNode* root) {
if (root == nullptr) return 0;
queue<TreeNode*> Q;
Q.push(root);
int ans = 0;
while (!Q.empty()) {
int sz = Q.size();
while (sz > 0) {
TreeNode* node = Q.front();Q.pop();
if (node->left) Q.push(node->left);
if (node->right) Q.push(node->right);
sz -= 1;
}
ans += 1;
}
return ans;
}
};
二叉树的最小深度
给定一个二叉树,找出其最小深度。
最小深度是从根节点到最近叶子节点的最短路径上的节点数量。
说明:叶子节点是指没有子节点的节点。
示例 1:
输入:root = [3,9,20,null,null,15,7] 输出:2
示例 2:
输入:root = [2,null,3,null,4,null,5,null,6] 输出:5
提示:
树中节点数的范围在 [0, 105] 内 -1000 <= Node.val <= 1000
class Solution {
public:
int minDepth(TreeNode *root) {
if (root == nullptr) {
return 0;
}
queue<pair<TreeNode *, int> > que;
que.emplace(root, 1);
while (!que.empty()) {
TreeNode *node = que.front().first;
int depth = que.front().second;
que.pop();
if (node->left == nullptr && node->right == nullptr) {
return depth;
}
if (node->left != nullptr) {
que.emplace(node->left, depth + 1);
}
if (node->right != nullptr) {
que.emplace(node->right, depth + 1);
}
}
return 0;
}
};
二叉树展开为链表
给你二叉树的根结点 root ,请你将它展开为一个单链表:
展开后的单链表应该同样使用 TreeNode ,其中 right 子指针指向链表中下一个结点,而左子指针始终为 null 。 展开后的单链表应该与二叉树 先序遍历 顺序相同。
示例 1:
输入:root = [1,2,5,3,4,null,6] 输出:[1,null,2,null,3,null,4,null,5,null,6]
示例 2:
输入:root = [] 输出:[]
示例 3:
输入:root = [0] 输出:[0]
提示:
树中结点数在范围 [0, 2000] 内 -100 <= Node.val <= 100
参考答案
class Solution {
public:
void flatten(TreeNode* root) {
TreeNode *curr = root;
while (curr != nullptr) {
if (curr->left != nullptr) {
auto next = curr->left;
auto predecessor = next;
while (predecessor->right != nullptr) {
predecessor = predecessor->right;
}
predecessor->right = curr->right;
curr->left = nullptr;
curr->right = next;
}
curr = curr->right;
}
}
};
二叉树的最大路径和
路径 被定义为一条从树中任意节点出发,沿父节点-子节点连接,达到任意节点的序列。同一个节点在一条路径序列中 至多出现一次 。该路径 至少包含一个 节点,且不一定经过根节点。
路径和 是路径中各节点值的总和。
给你一个二叉树的根节点 root ,返回其 最大路径和 。
示例 1:

输入:root = [1,2,3] 输出:6 解释:最优路径是 2 -> 1 -> 3 ,路径和为 2 + 1 + 3 = 6
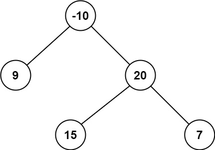
示例 2:

输入:root = [-10,9,20,null,null,15,7] 输出:42 解释:最优路径是 15 -> 20 -> 7 ,路径和为 15 + 20 + 7 = 42
提示:
-
树中节点数目范围是 [1, 3 * 104]
-
-1000 <= Node.val <= 1000
参考答案
class Solution {
private:
int maxSum = INT_MIN;
public:
int maxGain(TreeNode* node) {
if (node == nullptr) {
return 0;
}
// 递归计算左右子节点的最大贡献值
// 只有在最大贡献值大于 0 时,才会选取对应子节点
int leftGain = max(maxGain(node->left), 0);
int rightGain = max(maxGain(node->right), 0);
// 节点的最大路径和取决于该节点的值与该节点的左右子节点的最大贡献值
int priceNewpath = node->val + leftGain + rightGain;
// 更新答案
maxSum = max(maxSum, priceNewpath);
// 返回节点的最大贡献值
return node->val + max(leftGain, rightGain);
}
int maxPathSum(TreeNode* root) {
maxGain(root);
return maxSum;
}
};
二叉搜索树迭代器
实现一个二叉搜索树迭代器类BSTIterator ,表示一个按中序遍历二叉搜索树(BST)的迭代器:
-
BSTIterator(TreeNode root) 初始化 BSTIterator 类的一个对象。BST 的根节点 root 会作为构造函数的一部分给出。指针应初始化为一个不存在于 BST 中的数字,且该数字小于 BST 中的任何元素。
-
boolean hasNext() 如果向指针右侧遍历存在数字,则返回 true ;否则返回 false 。
-
int next()将指针向右移动,然后返回指针处的数字。 注意,指针初始化为一个不存在于 BST 中的数字,所以对 next() 的首次调用将返回 BST 中的最小元素。
你可以假设 next() 调用总是有效的,也就是说,当调用 next() 时,BST 的中序遍历中至少存在一个下一个数字。
示例:
输入 ["BSTIterator", "next", "next", "hasNext", "next", "hasNext", "next", "hasNext", "next", "hasNext"] [[[7, 3, 15, null, null, 9, 20]], [], [], [], [], [], [], [], [], []] 输出 [null, 3, 7, true, 9, true, 15, true, 20, false] 解释 BSTIterator bSTIterator = new BSTIterator([7, 3, 15, null, null, 9, 20]); bSTIterator.next(); // 返回 3 bSTIterator.next(); // 返回 7 bSTIterator.hasNext(); // 返回 True bSTIterator.next(); // 返回 9 bSTIterator.hasNext(); // 返回 True bSTIterator.next(); // 返回 15 bSTIterator.hasNext(); // 返回 True bSTIterator.next(); // 返回 20 bSTIterator.hasNext(); // 返回 False
提示:
-
树中节点的数目在范围 [1, 105] 内
-
0 <= Node.val <= 106
-
最多调用 105 次 hasNext 和 next 操作
参考答案
class BSTIterator {
private:
TreeNode* cur;
stack<TreeNode*> stk;
public:
BSTIterator(TreeNode* root): cur(root) {}
int next() {
while (cur != nullptr) {
stk.push(cur);
cur = cur->left;
}
cur = stk.top();
stk.pop();
int ret = cur->val;
cur = cur->right;
return ret;
}
bool hasNext() {
return cur != nullptr || !stk.empty();
}
};

1184

被折叠的 条评论
为什么被折叠?



