平衡二叉树(Self-Balancing Binary SearchTree或Height-Balanced Binary Search Tree),是一种二叉排序树,其中每一个节点的左子树和右子树的高度差至多等于1。
有两位俄罗斯数学家G.M. Adelson-Velskii和E.M. Landis在1962年共同发明一种解决平衡二叉树的算法,所以有不少资料中也称这样的平衡二叉树为AVL树。
的二叉排序树。那什么叫做高度平衡呢?意思是说,要么它是一棵空树,要么它的左子树和右子树都是平衡二叉树,且左子树和右子树的深度之差的绝对值不超过1。我们将二叉树上结点的左子树深度减去右子树深度的值称为平衡因子BF(Balance Factor),那么平衡二叉树上所有结点的平衡因子只可能是-1、0和1。只要二叉树上有一个结点的平衡因子的绝对值大于1,则该二叉树就是不平衡的。
看下图,为什么图1是平衡二叉树,而图2却不是呢?这里就是考查我们对平衡二叉树的定义的理解,它的前提首先是一棵二叉排序树,右上图的59比58大,却是58的左子树,这是不符合二叉排序树的定义的。图3不是平衡二叉树的原因就在于,结点58的左子树高度为3,而右子树为空,二者差大于了绝对值1,因此它也不是平衡的。而经过适当的调整后的图4,它就符合了定义,因此它是平衡二叉树。

距离插入结点最近的,且平衡因子的绝对值大于1的结点为根的子树,我们称为最小不平衡子树。下图,当新插入结点37时,距离它最近的平衡因子绝对值超过1的结点是58(即它的左子树高度3减去右子树高度1),所以从58开始以下的子树为最小不平衡子树。

平衡二叉树实现原理
平衡二叉树构建的基本思想就是在构建二叉排序树的过程中,每当插入一个结点时,先检查是否因插入而破坏了树的平衡性,若是,则找出最小不平衡子树。在保持二叉排序树特性的前提下,调整最小不平衡子树中各结点之间的链接关系,进行相应的旋转,使之成为新的平衡子树。
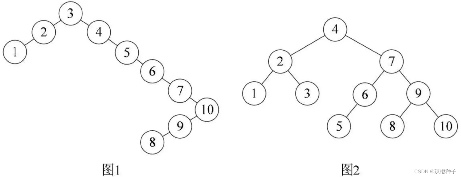
为了能在讲解算法时轻松一些,我们先讲一个平衡二叉树构建过程的例子。假设我们现在有一个数组a[10]={3,2,1,4,5,6,7,10,9,8}需要构建二叉排序树。在没有学习平衡二叉树之前,根据二叉排序树的特性,我们通常会将它构建成如下图的图1所示的样子。虽然它完全符合二叉排序树的定义,但是对这样高度达到8的二叉树来说,查找是非常不利的。我们更期望能构建成如下图的图2的样子,高度为4的二叉排序树才可以提供高效的查找效率。那么现在我们就来研究如何将一个数组构建出图2的树结构。

对于数组a[10]={3,2,1,4,5,6,7,10,9,8}的前两位3和2,我们很正常地构建,到了第3个数“1”时,发现此时根结点“3”的平衡因子变成了2,此时整棵树都成了最小不平衡子树,因此需要调整,如下图的图1(结点左上角数字为平衡因子BF值)。因为BF值为正,因此我们将整个树进行右旋(顺时针旋转),此时结点2成了根结点,3成了2的右孩子,这样三个结点的BF值均为0,非常的平衡,如下图的图2所示。

然后我们再增加结点4,平衡因子没有超出限定范围(-1,0,1),如图3。增加结点5时,结点3的BF值为-2,说明要旋转了。由于BF是负值,所以我们对这棵最小平衡子树进行左旋(逆时针旋转),如图4,此时我们整个树又达到了平衡。
继续,增加结点6时,发现根结点2的BF值变成了-2,如下图的图6。所以我们对根结点进行了左旋,注意此时本来结点3是4的左孩子,由于旋转后需要满足二叉排序树特性,因此它成了结点2的右孩子,如图7。增加结点7,同样的左旋转,使得整棵树达到平衡,如图8和图9所示。

当增加结点10时,结构无变化,如下图的图10。再增加结点9,此时结点7的BF变成了-2,理论上我们只需要旋转最小不平衡子树7、9、10即可,但是如果左旋转后,结点9就成了10的右孩子,这是不符合二叉排序树的特性的,此时不能简单的左旋,如图11所示。

仔细观察图11,发现根本原因在于结点7的BF是-2,而结点10的BF是1,也就是说,它们俩一正一负,符号并不统一,而前面的几次旋转,无论左还是右旋,最小不平衡子树的根结点与它的子结点符号都是相同的。这就是不能直接旋转的关键。那怎么办呢?
不统一,不统一就把它们先转到符号统一再说,于是我们先对结点9和结点10进行右旋,使得结点10成了9的右子树,结点9的BF为-1,此时就与结点7的BF值符号统一了,如上图的图12所示。
这样我们再以结点7为最小不平衡子树进行左旋,得到下图的图13。接着插入8,情况与刚才类似,结点6的BF是-2,而它的右孩子9的BF是1,如图14,因此首先以9为根结点,进行右旋,得到图15,此时结点6和结点7的符号都是负,再以6为根结点左旋,最终得到最后的平衡二叉树,如下图的图16所示。

当最小不平衡子树根结点的平衡因子BF是大于1时,就右旋,小于-1时就左旋,如上例中结点1、5、6、7的插入等。插入结点后,最小不平衡子树的BF与它的子树的BF符号相反时,就需要对结点先进行一次旋转以使得符号相同后,再反向旋转一次才能够完成平衡操作,如上例中结点9、8的插入时。
平衡二叉树实现算法
好了,有这么多的准备工作,我们可以来讲解代码了。首先是需要改进二叉排序树的结点结构,增加一个bf,用来存储平衡因子。
/* 二叉树的二叉链表结点结构定义 /
/ 结点结构 /
typedef struct BiTNode
{
/ 结点数据 /
int data;
/ 结点的平衡因子 /
int bf;
/ 左右孩子指针 /
struct BiTNode lchild, rchild;
} BiTNode, BiTree;
然后,对于右旋操作,我们的代码如下。
/* 对以p为根的二叉排序树作右旋处理, /
/ 处理之后p指向新的树根结点,即旋转处理之前的左子树的根结点 /
void R_Rotate(BiTree P)
{
BiTree L;
/* L指向P的左子树根结点 /
L = (P)->lchild;
/* L的右子树挂接为P的左子树 /
(P)->lchild = L->rchild;
L->rchild = (P);
/ P指向新的根结点 /
P = L;
}
此函数代码的意思是说,当传入一个二叉排序树P,将它的左孩子结点定义为L,将L的右子树变成P的左子树,再将P改成L的右子树,最后将L替换P成为根结点。这样就完成了一次右旋操作,如下图所示。图中三角形代表子树,N代表新增结点。
上面例子中的新增加结点N(如上图的图1和图2),就是右旋操作。
左旋操作代码如下。
/* 对以P为根的二叉排序树作左旋处理, /
/ 处理之后P指向新的树根结点,即旋转处理之前的右子树的根结点0 /
void L_Rotate(BiTree P)
{
BiTree R;
/* R指向P的右子树根结点 /
R = (P)->rchild;
/* R的左子树挂接为P的右子树 /
(P)->rchild = R->lchild;
R->lchild = (P);
/ P指向新的根结点 /
P = R;
}
这段代码与右旋代码是对称的,在此不做解释了。
现在我们来看左平衡旋转处理的函数代码。
#define LH +1 /* 左高 /
#define EH 0 / 等高 /
#define RH -1 / 右高 /
/ 对以指针T所指结点为根的二叉树作左平衡旋转处理 /
/ 本算法结束时,指针T指向新的根结点 /
void LeftBalance(BiTree T)
{
BiTree L,Lr;
/* L指向T的左子树根结点 /
L = (T)->lchild;
switch (L->bf)
{
/* 检查T的左子树的平衡度,并作相应平衡处理 /
/ 新结点插入在T的左孩子的左子树上,要作单右旋处理 /
case LH:
(T)->bf = L->bf = EH;
R_Rotate(T);
break;
/* 新结点插入在T的左孩子的右子树上,要作双旋处理 /
case RH:
/ Lr指向T的左孩子的右子树根 /
Lr = L->rchild;
/ 修改T及其左孩子的平衡因子 /
switch (Lr->bf)
{
case LH: (T)->bf = RH;
L->bf = EH;
break;
case EH: (T)->bf = L->bf = EH;
break;
case RH: (T)->bf = EH;
L->bf = LH;
break;
}
Lr->bf = EH;
/* 对T的左子树作左旋平衡处理 /
L_Rotate(&(T)->lchild);
/* 对T作右旋平衡处理 */
R_Rotate(T);
}
}
首先,我们定义了三个常数变量,分别代表1、0、-1。
- 函数被调用,传入一个需调整平衡性的子树T。由于LeftBalance函数被调用时,其实是已经确认当前子树是不平衡状态,且左子树的高度大于右子树的高度。换句话说,此时T的根结点应该是平衡因子BF的值大于1的数。
- 第4行,我们将T的左孩子赋值给L。
- 第5~27行是分支判断。
- 当L的平衡因子为LH,即为1时,表明它与根结点的BF值符号相同,因此,第8行,将它们的BF值都改为0,并且第9行,进行右旋操作。操作的方式如下图所示。
- 当L的平衡因子为RH,即为-1时,表明它与根结点的BF值符号相反,此时需要做双旋处理。第13~22行,针对L的右孩子Lr的BF作判断,修改根结点T和L的BF值。第24行将当前Lr的BF改为0。
- 第25行,对根结点的左子树进行左旋,如图8-7-10第二图所示。
- 第26行,对根结点进行右旋,如图8-7-10的第三图所示,完成平衡操作。

有了这些准备,我们的主函数才算是正式登场了。
/* 若在平衡的二叉排序树T中不存在和e有相同关键
字的结点,则插入一个 /
/ 数据元素为e的新结点并返回1,否则返回0。若
因插入而使二叉排序树 /
/ 失去平衡,则作平衡旋转处理,布尔变量taller
反映T长高与否。 /
Status InsertAVL(BiTree T, int e, Status taller)
{
if (!T)
{
/* 插入新结点,树“长高”,置taller为TRUE /
T = (BiTree)malloc(sizeof(BiTNode));
(T)->data = e;
(T)->lchild = (T)->rchild = NULL;
(T)->bf = EH;
taller = TRUE;
}
else
{
if (e == (T)->data)
{
/* 树中已存在和e有相同关键字的结点则不再插入 /
taller = FALSE;
return FALSE;
}
if (e < (T)->data)
{
/ 应继续在T的左子树中进行搜索 /
/ 未插入 /
if (!InsertAVL(&(T)->lchild, e, taller))
return FALSE;
/* 已插入到T的左子树中且左子树“长高” /
if (taller)
{
/* 检查T的平衡度 /
switch ((T)->bf)
{
/* 原本左子树比右子树高,需要作左平衡处理 /
case LH:
LeftBalance(T);
taller = FALSE;
break;
/* 原本左右子树等高,现因左子树增高而树增高 /
case EH:
(T)->bf = LH;
taller = TRUE;
break;
/ 原本右子树比左子树高,现左右子树等高 /
case RH:
(T)->bf = EH;
taller = FALSE;
break;
}
}
}
else
{
/ 应继续在T的右子树中进行搜索 /
/ 未插入 /
if (!InsertAVL(&(T)->rchild, e, taller))
return FALSE;
/* 已插入到T的右子树且右子树“长高” /
if (taller)
{
/* 检查T的平衡度 /
switch ((T)->bf)
{
/* 原本左子树比右子树高,现左、右子树等高 /
case LH:
(T)->bf = EH;
taller = FALSE;
break;
/ 原本左右子树等高,现因右子树增高而树增高 /
case EH:
(T)->bf = RH;
taller = TRUE;
break;
/ 原本右子树比左子树高,需要作右平衡处理 /
case RH:
RightBalance(T);
taller = FALSE;
break;
}
}
}
}
return TRUE;
}
- 程序开始执行时,第3~10行是指当前T为空时,则申请内存新增“一个结点。
- 第13~17行表示当存在相同结点,则不需要插入。
- 第18~40行,当新结点e小于T的根结点值时,则在T的左子树查找。
- 第20~21行,递归调用本函数,直到找到则返回false,否则说明插入结点成功,执行下面语句。
- 第22~39行,当taller为TRUE时,说明插入了结点,此时需要判断T的平衡因子,如果是1,说明左子树高于右子树,需要调用LeftBalance函数进行左平衡旋转处理。如果为0或-1,则说明新插入结点没有让整棵二叉排序树失去平衡性,只需要修改相关的BF值即可。
- 第41~63行,说明新结点e大于T的根结点的值,在T的右子树查找。代码上述类似。
对于这段代码来说,我们只需要在需要构建平衡二叉树的时候执行如下列代码即可在内存中生成一棵与上面的图的图2相同的平衡的二叉树。
int i;
int a[10] = { 3, 2, 1, 4, 5, 6, 7, 10, 9, 8 };
BiTree T = NULL;
Status taller;
for (i = 0; i < 10; i++)
{
InsertAVL(&T, a[i], &taller);
}
3万+

被折叠的 条评论
为什么被折叠?



