一、标签数量N和Q的概率分析
动态Q:假设事先不知道场内标签的数量,需要选择合适的Q值盘点标签,若初始Q值选择不适配场景内的标签,会造成两种情况,要么大量冲突;要么没有回发。
算法需要给出一种策略实时的调整Q值。同时在盘点过程中,剩余未被盘点的标签数量会越来越少,此时也需要动态的减少Q值提高效率。
1.1概率计算——算法依据
如何判断场内标签的数量呢?——需要从概率的角度做出计算。
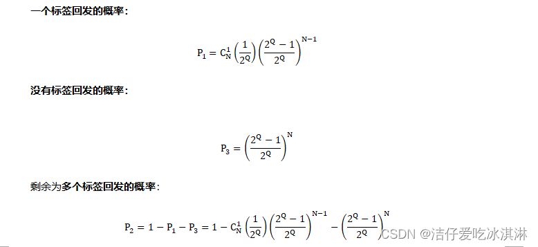
延续上篇内容,每个时隙有都存在3中情况:一个标签回发;多个标签回发;没有标签回发。
(插个题外话,何为时隙?一次Query为一个时隙,一次QueryRep为一个时隙,所有标签有可能回发RN16的指令都为一个时隙)
根据上篇文章的公式UHF RFID多标签防碰撞算法——碰撞读取率A:


本文探讨了动态Q算法在RFID系统中如何适应不同数量的标签,通过分析碰撞概率和空闲概率来动态调整Q值。算法基于连续两个时隙的状态变化来判断Q值是否合适,连续碰撞增加Q值,连续空闲减少Q值。通过实例和参考文献,展示了动态Q算法在提高盘点效率和避免标签冲突上的有效性。
最低0.47元/天 解锁文章
990

被折叠的 条评论
为什么被折叠?



