聚类性能度量大致分为两类:一,将聚类结果与某个“参考模型”进行比较,称为“外部指标”;二,直接考察聚类结果,称为“内部指标”。
外部指标主要有:Jaccard系数、FM指数、Rand指数。
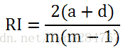
对数据集D={X1,X2,...Xm},假定通过聚类算法给出的簇划分为C={C1,C2,...Ck},参考模型给出的簇类划分为C*={C1*,C2*,...Cs*}。相应的λ和λ*分别表示C和C*对应的簇标记向量。我们定义:
a=|SS|, SS={(Xi,Xj) | λi = λj,λi* = λj*,i<j}
b=|SD|, SD={(Xi,Xj) | λi = λj,λi* ≠ λj*,i<j}
c=|DS|, DS={(Xi,Xj) | λi ≠ λj,λi* = λj*,i<j}
d=|DD|, DD={(Xi,Xj) | λi ≠ λj,λi* ≠ λj*,i<j}
Jaccard系数为:

FM指数为:

Rand指数为:

上述度量指标值在【0,1】区间,值越大越好。
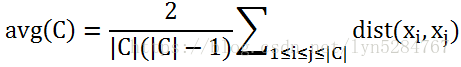
内部指标主要有:DB指数、Dunn指数。
定义:

![]()
![]()
![]()
DB指数(越小越好):

Dunn指数(越大越好):
![]()

4053

被折叠的 条评论
为什么被折叠?



