不瞎搞了,开始好好搞项目,按时毕业!!!!!!!!
重新整理相关知识,为后面写论文做准备,不整理,不总结,一知半解总是学不明白.
针孔摄像机模型
- 思想一:如果要是直接将相应的胶片放到物体的前面

可以发现相应的图像完全是模糊的.
- 思想二:直接使用相应的一个小孔成像的方式
隔板的使用,使得相应的图像变得清晰. - 针孔摄像机的模型是如下所示:

上述过程在相应的坐标系上进行表示



- 光圈的作用:随着光圈的减小,成像效果是会变的越来越清晰,但是图像会变得越来越暗


如上所示,是现在项目之中的一个镜头,可以变焦,也是可以调节光圈的大小.
那既然光圈小的时候,图像是比较暗的,那么是如何将图像变得更加亮一些??

透镜的增加,使得更多的光线汇聚在相应的成像点上,这就改善光暗的现象.实际的光线是如下所示:
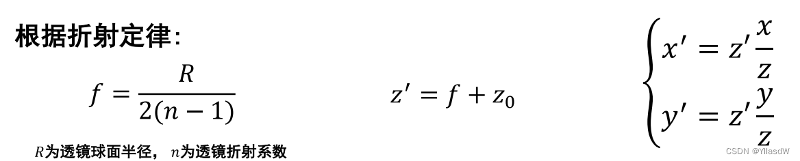
- 近轴折射模型


上面的东西可能会在论文之中会有所体现,比如下面的这篇论文截图
这个地方提到了相应的一个关系.
- 透镜带来的问题:①失焦

上面会提到一个名词---景深,在一定的景深范围内是清晰的.
- 透镜带来的问题:②畸变
径向畸变:图像像素点以畸变中心为中心店,沿着径向产生位置偏差,从而导致图像所成的像发生形变.


摄影几何
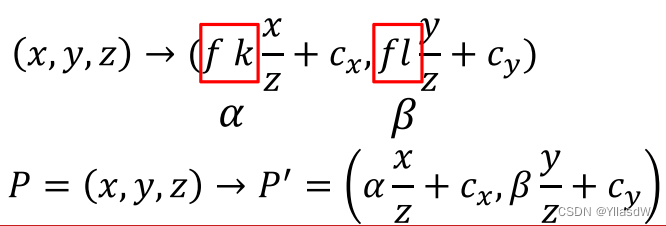
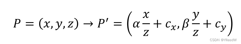
- 像平面(m为单位)到像素平面(像素为单位)


注意:上面的k l是将m转换为pixel的过程.

上述的f和k是相机内部的东西,因此,二者可以直接合并成一个a进行表示.

- P点的变换过程并不是一个线性关系,如下所示:

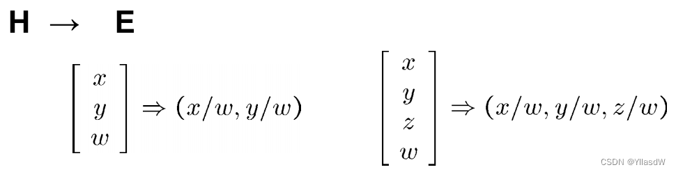
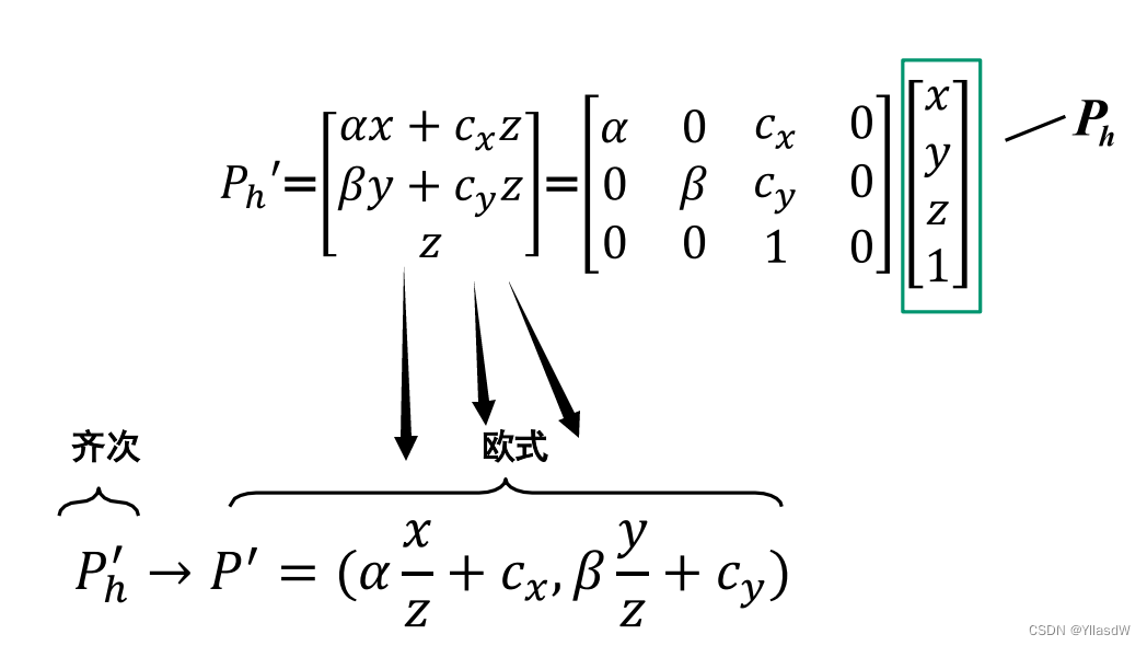
- 齐次坐标的转换过程


- 齐次坐标系中的投影变换

-
摄像机的投影矩阵


- 摄像机偏斜
有的时候摄像机的像素平面并不是一个正正方方的矩形,可能是一个平行四边形.


这个地方就是解答了有些论文之中,会引入一个变量r,但是他也说不明白r是什么,模模糊糊就过去了.

上面的K有5个自由度(公式编辑器真难用,就是上面的五个未知数)
- 世界坐标系


- 各个符号的物理含义和意义


- 1993年提出的Faugeras定理(这个地方就当知识拓展,论文中基本没看到)

最小二乘解
线性方程组
线性方程组在大学的时候已经学过了,简单的很.

针对于第三种情况,所谓的超定方程.
上面的这个奇异值分解法,后续会进行新的整理.
齐次线性方程组(在PnP标定的时候用到,见博客的上传资源文档)

上述的方法,求出的x可能与真实的x差一个放大系数.
非线性方程组

923

被折叠的 条评论
为什么被折叠?



