标准化与归一化
标准化和归一化
什么时候用归一化?什么时候用标准化?
(1)如果对输出结果范围有要求,用归一化。
(2)如果数据较为稳定,不存在极端的最大最小值,用归一化。
(3)如果数据存在异常值和较多噪音,用标准化,可以间接通过中心化避免异常值和极端值的影响。
1.归一化
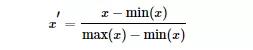
最大 - 最小规范化:对原始数据进行线性变换,将数据映射到[0,1]区间

2.标准化
Z-Score标准化:将原始数据映射到均值为0、标准差为1的分布上

#导入数据
import numpy as np
import matplotlib.pyplot as plt
import pandas as pd
df = pd.read_csv('Data.csv')
df['Salary'].fillna((df['Salary'].mean()), inplace= True)
df['Age'].fillna((df['Age'].mean()), inplace= True)
df['Purchased'] = df['Purchased'].apply(lambda x: 0 if x=='No' else 1)
df=pd.get_dummies(data=df, columns=['Country'])

最大 - 最小规范化
from sklearn.preprocessing import MinMaxScaler
scaler = MinMaxScaler()
scaler.fit(df)
scaled_features = scaler.transform(df)
df_MinMax = pd.DataFrame(data=scaled_features, columns=["Age", "Salary","Purchased","Country_France","Country_Germany", "Country_spain"])

Z-Score标准化
from sklearn.preprocessing import StandardScaler
sc_X = StandardScaler()
sc_X = sc_X.fit_transform(df)
sc_X = pd.DataFrame(data=sc_X, columns=["Age", "Salary","Purchased","Country_France","Country_Germany", "Country_spain"])

import seaborn as sns
import matplotlib.pyplot as plt
import statistics
plt.rcParams['font.sans-serif'] = ['Microsoft YaHei']
fig,axes=plt.subplots(2,3,figsize=(18,12))
sns.distplot(df['Age'], ax=axes[0, 0])
sns.distplot(df_MinMax['Age'], ax=axes[0, 1])
axes[0, 1].set_title('归一化方差:% s '% (statistics.stdev(df_MinMax['Age'])))
sns.distplot(sc_X['Age'], ax=axes[0, 2])
axes[0, 2].set_title('标准化方差:% s '% (statistics.stdev(sc_X['Age'])))
sns.distplot(df['Salary'], ax=axes[1, 0])
sns.distplot(df_MinMax['Salary'], ax=axes[1, 1])
axes[1, 1].set_title('MinMax:Salary')
axes[1, 1].set_title('归一化方差:% s '% (statistics.stdev(df_MinMax['Salary'])))
sns.distplot(sc_X['Salary'], ax=axes[1, 2])
axes[1, 2].set_title('StandardScaler:Salary')
axes[1, 2].set_title('标准化方差:% s '% (statistics.stdev(sc_X['Salary'])))
可以看出归一化比标准化方法产生的标准差小,使用归一化来缩放数据,则数据将更集中在均值附近。这是由于归一化的缩放是“拍扁”统一到区间(仅由极值决定),而标准化的缩放是更加“弹性”和“动态”的,和整体样本的分布有很大的关系。所以归一化不能很好地处理离群值,而标准化对异常值的鲁棒性强,在许多情况下,它优于归一化。

1777

被折叠的 条评论
为什么被折叠?



