Horace_01
码龄5年
关注
提问 私信
  • 博客:31,092
    31,092
    总访问量
  • 36
    原创
  • 2,281,651
    排名
  • 146
    粉丝
  • 0
    铁粉

个人简介:CSDN放笔记类相关博文,专业的知识性文章放知乎(小白Horace)

IP属地以运营商信息为准,境内显示到省(区、市),境外显示到国家(地区)
IP 属地:湖南省
  • 毕业院校: 湖南大学
  • 加入CSDN时间: 2020-08-15
博客简介:

m0_50123831的博客

查看详细资料
个人成就
  • 获得194次点赞
  • 内容获得26次评论
  • 获得269次收藏
  • 代码片获得147次分享
创作历程
  • 12篇
    2024年
  • 4篇
    2022年
  • 5篇
    2021年
  • 15篇
    2020年
成就勋章
TA的专栏
  • 语义分割
    2篇
  • python学习
    4篇
  • 爬虫学习
    2篇
  • 配置环境
    2篇
  • acm题
    5篇
  • 最近
  • 文章
  • 代码仓
  • 资源
  • 问答
  • 帖子
  • 视频
  • 课程
  • 关注/订阅/互动
  • 收藏
搜TA的内容
搜索 取消

【书生·浦语】大模型实战营——汇总记录

第一期【书生·浦语】大模型实战营结束了,现在汇总记录一下~
原创
发布博客 2024.01.29 ·
462 阅读 ·
1 点赞 ·
0 评论 ·
2 收藏

【书生·浦语】大模型实战营——第六课作业

视频链接:https://www.bilibili.com/video/BV1Gg4y1U7uc教程文档:https://github.com/InternLM/tutorial/blob/main/opencompass/opencompass_tutorial.md。
原创
发布博客 2024.01.21 ·
602 阅读 ·
8 点赞 ·
0 评论 ·
8 收藏

【书生·浦语】大模型实战营——第六课笔记

视频链接:https://www.bilibili.com/video/BV1Gg4y1U7uc/?教程文档:https://github.com/InternLM/tutorial/blob/main/opencompass/opencompass_tutorial.md仓库:https://github.com/open-compass/opencompass。
原创
发布博客 2024.01.21 ·
565 阅读 ·
9 点赞 ·
0 评论 ·
10 收藏

【书生·浦语】大模型实战营——第五课作业

教程文档:https://github.com/InternLM/tutorial/blob/vansin-patch-4/lmdeploy/lmdeploy.md#tritonserver-%E6%9C%8D%E5%8A%A1%E4%BD%9C%E4%B8%BA%E5%90%8E%E7%AB%AF视频链接:作业:使用如下命令创建conda环境然后激活环境,进入环境。通过pip命令安装lmdeploy途中遇到报错,说没有packaing这个包。那么通过pip install packagin
原创
发布博客 2024.01.14 ·
1230 阅读 ·
21 点赞 ·
0 评论 ·
17 收藏

【书生·浦语】大模型实战营——第五课笔记

LMDeploy是LLM在nvidia设备上部署的全流程解决方案。(还没有涉及到移动端)关于轻量化:1、权重的4bit量化2、k v cache的8bit量化关于推理引擎:1、turbomind,是LMDeploy的一个创新点2、pytorch关于服务:2、gradio:主要用于演示demoLMDeploy比vLLM的性能要好。
原创
发布博客 2024.01.14 ·
1191 阅读 ·
18 点赞 ·
0 评论 ·
17 收藏

【书生·浦语】大模型实战营——第四课作业

教程文档:https://github.com/InternLM/tutorial/blob/main/xtuner/self.md基础作业需要构建数据集,微调模型,让其明白自己的(OvO!
原创
发布博客 2024.01.12 ·
869 阅读 ·
18 点赞 ·
3 评论 ·
9 收藏

【书生·浦语】大模型实战营——第四课笔记

微调会使LLM在具体的领域中输出更好的回答。有两种微调模式:1、增量预训练微调:学会垂类领域的常识(只需要回答2、指令跟随微调:学会对话模板(一问一答场景与所需的训练数据不一样。实际对话时,通常会存在三种角色:1、System:要求系统担任一个具体的角色2、User:用户进行提问3、Assistant:根据user输入,结合system上下文,做出回答这些机械性的工作已经用xtuner打包好了,一键启动即可。
原创
发布博客 2024.01.12 ·
1668 阅读 ·
16 点赞 ·
0 评论 ·
30 收藏

【书生·浦语】大模型实战营——第三课作业

复现课程知识库助手搭建过程搭建过程:https://blog.csdn.net/m0_50123831/article/details/135497589?
原创
发布博客 2024.01.10 ·
495 阅读 ·
9 点赞 ·
0 评论 ·
10 收藏

【书生·浦语】大模型实战营——第三课笔记

构建检索问答链,还需要构建一个,该 Template 其实是一个带变量的字符串,在检索之后,LangChain 会将检索到的相关文档片段填入到 Template 的变量中,从而实现带知识的 Prompt 构建。# 我们所构造的 Prompt 模板template = """使用以下上下文来回答最后的问题。如果你不知道答案,就说你不知道,不要试图编造答案。尽量使答案简明扼要。{context}问题: {question}有用的回答:"""
原创
发布博客 2024.01.10 ·
1100 阅读 ·
16 点赞 ·
0 评论 ·
27 收藏

【书生·浦语】大模型实战营——第二课作业

这个的等待时间比较久,需要耐心等待到有文字提示"Running on local URL: http://0.0.0.0:6006"后,你才能在本地ssh连接后在本地浏览器看到。不然提前操作都是没有用的。最好故事结尾比较温馨,让人心头一暖,感受到世界的爱。个人感觉就是把hf默认下载的源给换成国内的镜像源网站了,HF_ENDPOINT是hf会调用的系统变量(?我们可以从终端的输出看到,他是从根据关键词在网上搜索插图,放到文章里的。点击旁边的edit,可以更换图片,同时也可以看到模型搜图的prompt。
原创
发布博客 2024.01.06 ·
508 阅读 ·
10 点赞 ·
0 评论 ·
8 收藏

【书生·浦语】大模型实战营——第二课笔记

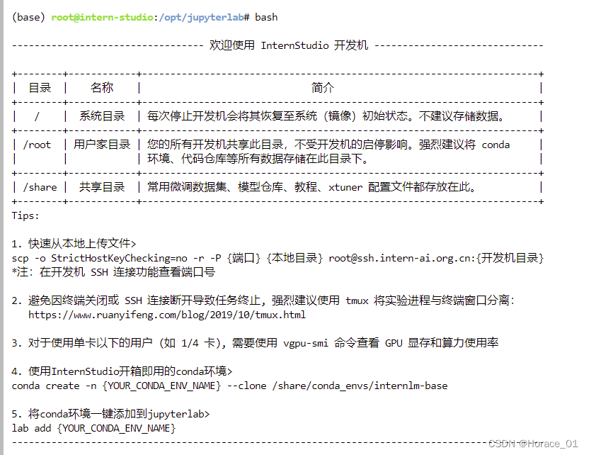
按照以下链接走流程:https://github.com/InternLM/tutorial/blob/main/helloworld/hello_world.md算力网站:https://studio.intern-ai.org.cn/console/dashboard。
原创
发布博客 2024.01.06 ·
1182 阅读 ·
16 点赞 ·
0 评论 ·
21 收藏

书生·浦语大模型实战营第一课笔记

在datawhale上看到此次大模型课的宣传链接,故参与进来。这是第一节课的笔记。全球对于大语言模型的关注程度从ChatGPT开始,急速上升。之所以全球关注度那么高,是因为大语言模型是,一种模型对应多种任务,通用模型是发展AGI的重要途经。从ChatGPT的文本模态,发展到GPT4的图文多模态,目前的大模型能力越来越强。上海人工智能实验室也不断跟进大模型发展进程,推出了InternLM大模型,后续推出了更多相关的版本和工具。发布了三个参数量级的模型,7B,20B,123B。
原创
发布博客 2024.01.04 ·
910 阅读 ·
20 点赞 ·
0 评论 ·
22 收藏

读取PSACAL VOC,训练FCN全流程

带你了解PASCAL VOC数据集,并使用paddle接口搭建起数据接口,供语义分割网络训练及测试(FCN)。
原创
发布博客 2022.08.03 ·
1082 阅读 ·
2 点赞 ·
0 评论 ·
9 收藏

FCN论文与实现代码详解

FCN网络,出自论文,是语义分割的开山之作。2012年,AlexNet凭借在ImageNet比赛中获取冠军,开启了使用深度学习解决计算机视觉问题的时代。2015年,大家还在研究图像分类,ImageNet 2012年冠军AlexNet,2014年冠军GoogLeNet,2014年亚军VGG,2015年冠军ResNet。而在大家都热衷于研究图像分类这种热潮下,FCN作者能够独创新网络结构用于语义分割,实属不易,而FCN的思想也深深影响了后续语义分割的研究者。......
原创
发布博客 2022.08.03 ·
2440 阅读 ·
5 点赞 ·
0 评论 ·
36 收藏

RESTful API简介及flask实现

restful架构简介及python中利用flask框架进行restful接口的实现
原创
发布博客 2022.07.04 ·
331 阅读 ·
0 点赞 ·
0 评论 ·
2 收藏

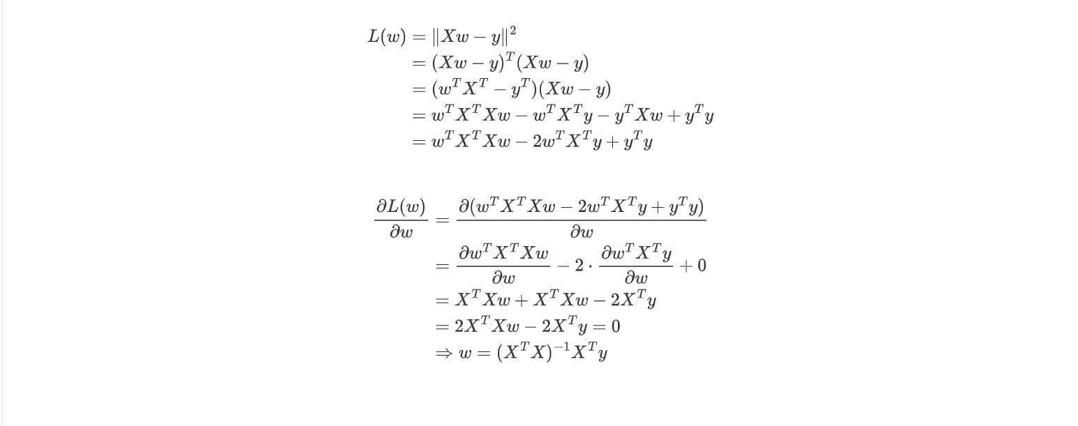
线性回归原理讲解

同内容讲解视频,如果不想看文字就去看视频吧~线性回归,线性回归,首先我们要搞懂这四个字里两个词的意思何为线性?何为回归?线性,包括可加性和齐次性
原创
发布博客 2022.03.26 ·
1771 阅读 ·
0 点赞 ·
0 评论 ·
2 收藏

C语言 生成随机数存入文件,读取文件数字的bug

C语言 生成随机数存入文件,读取文件数字的bug如果心急,可以直接点解决方法文章目录C语言 生成随机数存入文件,读取文件数字的bug背景介绍问题解决方法背景介绍先介绍下背景:我现在分别生成10000个,30000个,50000个随机数,将其存入txt文件中,分别命名为1w,3w,5w。函数分别命名为save和load。相应主函数的调用现在从这个三个文件中读取数字存到三个相应的数组里。打印出来看数组生成的数字的情况问题很奇怪的来了!!!前方高能!!!当读取1w数据量的文件时,对应的
原创
发布博客 2021.04.19 ·
570 阅读 ·
0 点赞 ·
2 评论 ·
6 收藏

pycharm使用anaconda下载的库

最近在熟悉pycharm,想跑我在jupyter上写的代码,结果开始的库导入部分就给我报了错ModuleNotFoundError: No module named 'requests'也就是找不到requests库,可我明明在anaconda prompt下pip install requests过呀查了CSDN上的资料,发现是勾选的解释器有问题(python interpreter处)试了很多种方法,只有这种办法解决了问题如下为解决方法:首先从菜单栏的file处点入Settings点击P
原创
发布博客 2021.02.15 ·
483 阅读 ·
2 点赞 ·
5 评论 ·
4 收藏

python爬取虎嗅网首页新闻超链接、图片链接、标题

要求:爬取该网站首页内容,即获取每一个超链接、图片链接、标题,以.CSV存储(一行就是一个新闻的超链接、图片链接、标题)文章目录用不上的思考过程正文1.观察新闻页面源码2.编写代码提取信息3.观察首页源码并编写正则表达式源码建议直接点正文????用不上的思考过程1.新闻超链接存在于a的herf属性中,/article/408795.html,前面要加上https://www.huxiu.com2.图片链接暂时还不知道存在哪https://img.huxiucdn.com/article/cove
原创
发布博客 2021.02.08 ·
2358 阅读 ·
10 点赞 ·
1 评论 ·
13 收藏

使用 Beautiful Soup

使用 Beautiful Soup参考资料:https://cuiqingcai.com/5548.html# 导入Beautiful模块from bs4 import BeautifulSoup# 初始化soup = BeautifulSoup(html,'lxml')soup = BeautifulSoup(html,'lxml)完成了初始化。如果该html不是完整的html代码(指没有html和body节点),初始化过程可以自动更正格式,将html,body部分补上。第一个参数html
原创
发布博客 2021.02.05 ·
256 阅读 ·
0 点赞 ·
0 评论 ·
0 收藏
加载更多