英文标题:《Maritime Target Saliency Detection for UAV Basedon the Stimulation Competition Selection Mechanism》
论文摘要
针对未知海洋环境下的无人机机载视觉系统,提出了一种受猛禽视觉刺激竞争选择机制启发的海上目标显著性检测方法。基于复杂场景中迅猛龙捕获猎物的现象,研究了迅猛龙视觉通路中的刺激、竞争和选择机制。然后,建立了猛禽视觉刺激竞争选择机制的数学模型,并将其应用于显著目标检测。应用流行的图像数据集和实际场景数据集验证了所提出方法的有效性。结果表明,该方法的检测性能优于其他比较方法。该算法为无人机或其他无人设备的海上目标显著性检测和跨域联合任务提供了思路。
关键词:无人机;视觉通路;激励竞争选择机制;海上目标显著性探测。
相关介绍
基于鹰的深中央窝,提出了一种基于深度中央窝的运动目标检测方法DeepFoveaNet的两个并行CNN子网络分别用于上下文感知和目标细节提取。
- 选取6个独立特征通道的初始视觉注意结果,模拟猛禽视觉的视觉刺激。在六个独立的特征通道中考虑了更多的图像特征。
- 建立刺激竞争和选择矩阵来描述OT-NI通路中不同刺激之间的关系。通过迅猛龙视觉系统的刺激竞争和选择机制来反映视网膜获得的图像中不同特征之间的关系。
- 设计开发了无人机/无人潜航器协同平台。
迅猛龙视觉的刺激竞争选择
迅猛龙的视觉系统包括四个主要的视觉信息处理通路,即丘脑通路、构造通路、视网膜通路和副视系统OT的视觉输入来自视网膜,峡视核(ION)接收OT的视觉信息。当信息从离子返回视网膜时,就形成了闭环。捕获的图像以刺激的形式在猛禽的视觉通路中传输。竞争发生在OTNI通路中两个连续刺激之间。刺激被描述为电流,它由脉冲序列呈现在OT-NI网络中,刺激竞争选择机制由前馈通路和反馈通路共同实现。
在OT-NI通路中,当猛禽视网膜只有一个刺激输入时,L10神经元产生有规律的反应。刺激的增强(兴奋性投射)和抑制(抑制性投射)在OT-NI通路中共同存在。
新位置的Imc神经元对原位置的L10神经元产生不同的抑制电流。随着L10神经元与直接投射的Ipc神经元或Imc神经元之间距离的增加,L10神经元对Ipc神经元或Imc神经元的增强作用逐渐减弱。
当新刺激的位置远离原刺激时,电流是温和的。反之,抑制电流较大。当原始L10神经元的反应克服新Imc神经元的抑制时,选择原始刺激。否则,将选择新的刺激。与兴奋性投射不同,Imc神经元对直接投射到Imc神经元上的L10神经元的抑制作用最弱,如图3虚线所示。ij是竞争选择矩阵,用于反映不同刺激之间的关系,其中i和j是L10、Imc或Ipc中的不同神经元。不同神经元间的ij由不同的事件函数表达根据以上分析,在猛禽的OT-NI路径中,猎物或目标具有很强的竞争力。因此,在复杂的场景中,猎物更容易被迅猛龙的视觉系统捕获。与自然界的其他脊椎动物类似,迅猛龙的视觉系统一次只处理一种特征,如颜色、渐变和纹理。此外,每个特征产生的初始视觉注意结果以刺激的形式反映在猛禽的视觉系统中。
在猛禽的OT-NI通路中,映射到视网膜的特征刺激相互竞争。最初的视觉注意导致较强的竞争力,获得较高的显著值。因此,在不同的任务场景中,猛禽的刺激竞争和选择机制与显著目标检测具有较好的对应关系。最后,将猛禽OT-NI通路中的刺激竞争选择机制用于多变复杂任务环境下的海上显著目标检测。
基于刺激竞争选择机制的海上显著目标检测
1.问题描述
猛禽通过克服海面上各种干扰因素的影响,在海面上捕捉到鱼。迅猛龙视觉的刺激竞争选择机制在这个过程中起着至关重要的作用。海上显著目标检测经常受到一些不确定因素的干扰,如覆盖、波浪和阳光等。不准确的有效区域对无人机/无人潜航器合作平台不利。提高海上目标探测方法的精度和精度,对无人机/无人潜航器协同平台至关重要。因此,将猛禽视觉机制应用到海上显著目标检测方法中。
2.方法描述
选择并利用了H通道、L通道、梯度通道、灰色通道、暗通道和光通道6个独立且相等的特征通道。
- Hue, Saturation, Value (HSV)色彩空间的H通道有效地抑制了波纹和闪烁对海面显著目标检测的影响
- Lab色彩空间的L通道对于消除海面上的异常色彩起着重要的作用
- 利用图像的梯度得到方向信息和幅度信息,用于检测被密集波纹包围的目标
- 通过灰度通道对像素值进行统计
- 迅猛龙的视锥细胞和视杆细胞在明亮环境和黑暗环境下更为敏感,故采用猛禽视觉的暗通道和光通道来镜像亮度信息
以上六个图像特征通道分别在各自的空间中形成初始视觉注意结果。每个由独立特征通道生成的显著性图被用作猛禽视网膜当前时刻的输入刺激。通过猛禽视觉系统在不同时间和地点的刺激竞争选择机制,获得了整体显著性图。
受猛禽OT-NI通路中刺激竞争选择机制的启发,提出的海上显著目标检测方法示意图

输入图像的原始布尔特征BCh是由上述六个通道Ch,即h通道、l通道、梯度通道、灰度通道、暗通道和光通道获得的。
1.暗通道和亮通道
猛禽视觉的暗通道和光通道由RGB色彩空间计算得到

式中D、L分别为暗通道图像和光通道图像,(x,y)是输入图像的像素位置,I, Ω是(x0,y0)的邻居,Ich是RGB空间的输入通道。
猛禽捕捉到的视觉信息在某一时刻只对应于一个布尔图将布尔图与猛禽视觉的不同特征相结合,以实现基本的显著目标。
从输入图像的上述特征通道用所选阈值获得BChCh通道的布尔特征采样
![]()
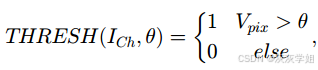
其中ICh为输入图像I的特征通道,I,θ∈[0, 255]是图像灰度值的随机阈值,服从均匀分布。
捕获图像的特征选择和阈值选择是布尔特征理论的关键,使用的阈值分割函数是
![]()
其中Vpix为输入图像I中Ch通道的像素值,加入一个高斯随机值来反映刺激的随机性,变化后的范围也设为[0, 255]。当Vpix >时,BCh的像素值设置为1;否则,BCh赋值为0。
布尔特征BCh的实现如下:
![]()
式中n为每个通道布尔特征的个数,BChi为输入图像I中Ch通道的第I个布尔特征。
获得每个BChi的初始视觉注意图AChi。由Ch通道产生的视觉刺激SCh是通过结合初始视觉注意图AChi得到的,SCh的描述为:

其中AChi(BChi)为布尔特征BChi对应的初始视觉注意图,p(BChi|Ch)描述了输入图像i的Ch通道的先验分布值。因此,传递到猛禽视网膜的视觉刺激是由初始视觉注意图SCh产生的。
信息熵用于描述信号的不确定性,即信号中包含的信息量。因此,利用信息熵来评价猛禽视觉各刺激的强度。刺激强度E(SCh)由

式中,SCh为视觉刺激,i为SCh的显著值,m为SCh的显著值最大值,显著值i在SCh中出现的概率用pi表示。
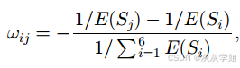
神经元i和神经元j之间的刺激竞争选择矩阵ij通过不同的刺激强度得到,其定义如下:

其中神经元i和神经元j位于猛禽视觉系统OT-NI通路的不同位置。例如,神经元i是L10神经元,神经元j是Imc神经元。当E(Sj)<= E(Si),Wij <= 0时,刺激措施Sj的竞争力大于Si。因此,刺激Si将部分或完全被抑制。否则,Si会增强。
一种刺激Si;i=1;2;…6;在猛禽视觉刺激竞争选择机制中,随机选取6作为视网膜的瞬时刺激。
此外,其他Sj;j≠i,j=1,2…6 与Si竞争。因此,基于猛禽视觉刺激竞争选择机制的输入图像I的¯nal显著目标检测结果S由下面公式计算

其中Si是迅猛龙视网膜接收到的初始刺激,Sj是与Si在迅猛龙视网膜内形成竞争关系的视觉刺激。
无人机海上目标显著性检测
综上所述,本文提出的基于猛禽视觉刺激竞争选择机制的海上显著目标检测方法流程如下:
- 分别获得h通道、l通道、g通道、g通道、dark通道和light通道的布尔特征序列BCh。
- 计算每个BCh的初始视觉注意图ACh,生成猛禽视网膜Ch通道Si的刺激信号。
- 得到所选特征通道的刺激强度EðSiÞ。
- 重建刺激竞争选择矩阵j,评估由一个特征通道形成的单个刺激对猛禽视网膜上的整体刺激的贡献。
- 随机选择刺激点Si作为猛禽视网膜的瞬时刺激。
- 对各通道进行选择、竞争、组合,得到显著目标检测结果S。
实验结果
采用四种流行的图像数据集(DUT-OMRON数据集、36个ECSSD数据集、37个HKU-IS数据集和MSRA10K数据集)验证了受猛禽视觉启发的海上显著目标检测方法的有效性



被折叠的 条评论
为什么被折叠?



