自定义博客皮肤VIP专享

*博客头图:

格式为PNG、JPG,宽度*高度大于1920*100像素,不超过2MB,主视觉建议放在右侧,请参照线上博客头图

请上传大于1920*100像素的图片!

博客底图:

图片格式为PNG、JPG,不超过1MB,可上下左右平铺至整个背景

栏目图:

图片格式为PNG、JPG,图片宽度*高度为300*38像素,不超过0.5MB

主标题颜色:

RGB颜色,例如:#AFAFAF

Hover:

RGB颜色,例如:#AFAFAF

副标题颜色:

RGB颜色,例如:#AFAFAF

自定义博客皮肤

-+
  • 博客(28)
  • 收藏
  • 关注

原创 wsl2 pk 虚拟机 pk 双系统

文章摘要:本文分析了三种在Windows环境下使用Linux的方案:双系统、WSL2和VMware虚拟机。双系统存在中文支持差、系统切换麻烦等问题;WSL2交互方便但底层调用受限;虚拟机功能完整但启动较慢。结论建议:新手推荐WSL2,需要底层功能选VMware,爱折腾的用户可选双系统。三种方案各有优劣,用户可根据需求选择最适合的方式。(149字)

2025-07-05 09:18:34 524

原创 getRequestURI返回值总是‘‘ /error “

在我使用springboot做项目的时候,我想写一个记录 用户请求地址的拦截器,然后我发现直接使用获取访问路径,有时候是正确的,有时候是错误的。具体分析,当我的程序有这个路径的时候,返回值正确,当没有这个路径映射的时候,就会统一返回"/error"。但是我想知道用户错误访问的路径是什么,这无法解决。

2025-04-02 13:22:34 360

原创 汽车华容道BFS求解(幼儿益智玩具

汽车华容道BFS解法

2024-04-06 17:55:51 553 3

原创 vue全局响应拦截器401报错

在处理全局响应拦截器的时候,处理401,错误,尝试了各种方法,但是都没有效果。最终,各种方式试过了,修改axios的版本,解决了问题。

2023-12-15 12:25:38 787

原创 一个nginx部署两个vue项目

所以,上面有用的地方就三个,一个是监听的端口,一个是浏览器中的地址,再一个就是反向代理。首先,已经编写好两个vue工程,打包获得了两个dist文件夹,本文前提是 windows环境,linux环境类似。然后,就是最重要的nginx.conf文件的编写。将他们放在nginx/html中,如下图。最后的最后,不要忘记,重载nginx。

2023-10-06 19:49:36 1009

原创 使用JavaScript实现保存文件,用户可以自己选择本地路径

浏览器的权限是很低的,是不能与操作系统实现交互,只有少量的api可以与操作系统交互,例如文件上传。但是,软件是有很高的权限的,例如,迅雷下载就可以轻松实现,下载到指定目录。// 创建可写入的文件对象。// 打开保存文件对话框。// 在这里写入文件内容。

2023-09-28 22:58:51 10544 13

原创 一个数是否可以被表示成两个数平方差

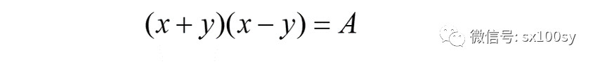
注意,这里的A要求是正整数,而x和y也是正整数。显然,x^2>y^2,x>y,不可能x=y。并且,再请注意,这里并非要解上面的方程,而是要确定A取什么值时,方程有解。这个不难理解,因为两者的差等于2x,是偶数,而只有两个偶数的差或两个奇数的差才会是偶数。所以,上式就相当于把A分解成两个同奇或同偶的因数的乘积。所以,我们就把研究什么样的A可以写成两个平方数的差这个问题,转换成为研究什么样的A可以分解成两个同奇或同偶的正整数的乘积。我们下面具体来研究什么样的正整数可以写成两个数的平方差,即两个平方数的差。

2023-04-08 20:59:01 2878

原创 【蓝桥杯】网络分析

小明正在做一个网络实验。他设置了n台电脑,称为节点,用于收发和存储数据。初始时,所有节点都是独立的,不存在任何连接。小明可以通过网线将两个节点连接起来,连接后两个节点就可以互相通信了。两个节点如果存在网线连接,称为相邻。小明有时会测试当时的网络,他会在某个节点发送一条信息,信息会发送到每个相邻的节点,之后这些节点又会转发到自己相邻的节点,直到所有直接或间接相邻的节点都收到了信息。所有发送和接收的节点都会将信息存储下来。一条信息只存储一次。给出小明连接和测试的过程,请计算出每个节点存储信息的大小。

2023-04-04 12:09:44 222

原创 【蓝桥杯】整数拼接

给定一个长度为n的数组A1​A2​⋯An​。你可以从中选出两个数Ai​和Aj​ij),然后将Ai​和Aj​一前一后拼成一个新的整数。例如12和345可以拼成12345或34512。注意交换Ai​和Aj​的顺序总是被视为2种拼法,即便是Ai​Aj​时。请你计算有多少种拼法满足拼出的整数是K的倍数。

2023-04-04 11:37:09 244

原创 【模板题】动态求连续区间和

个数组成的一个数列,规定有两种操作,一是修改某个元素,二是求子数列。数据保证在任何时候,数列中所有元素之和均在 int 范围内。,分别表示数的个数和操作次数。个整数,表示完整数列。行,每行包含三个整数。输出若干行数字,表示。

2023-03-28 11:53:50 117

原创 【蓝桥杯】错误票据

某涉密单位下发了某种票据,并要在年终全部收回。

2023-03-27 09:47:27 238

原创 【蓝桥杯】递增三元组

给定三个整数数组AA1​A2​⋯AN​BB1​B2​⋯BN​CC1​C2​⋯CN​。请你统计有多少个三元组ijk1≤ijk≤NAi​Bj​Ck​。

2023-03-27 08:37:06 129

原创 【蓝桥杯】 地宫取宝

X 国王有一个地宫宝库。是n×m个格子的矩阵。每个格子放一件宝贝。每个宝贝贴着价值标签。地宫的入口在左上角,出口在右下角。小明被带到地宫的入口,国王要求他只能向右或向下行走。走过某个格子时,如果那个格子中的宝贝价值比小明手中任意宝贝价值都大,小明就可以拿起它(当然,也可以不拿)。当小明走到出口时,如果他手中的宝贝恰好是k件,则这些宝贝就可以送给小明。请你帮小明算一算,在给定的局面下,他有多少种不同的行动方案能获得这k件宝贝。

2023-03-26 14:18:47 185

原创 【蓝桥杯】饮料换购

乐羊羊饮料厂正在举办一次促销优惠活动。乐羊羊 C 型饮料,凭3个瓶盖可以再换一瓶 C 型饮料,并且可以一直循环下去(但不允许暂借或赊账)。请你计算一下,如果小明不浪费瓶盖,尽量地参加活动,那么,对于他初始买入的n瓶饮料,最后他一共能喝到多少瓶饮料。

2023-03-26 09:11:02 96

原创 【蓝桥杯】蚂蚁感冒

长100厘米的细长直杆子上有n只蚂蚁。它们的头有的朝左,有的朝右。每只蚂蚁都只能沿着杆子向前爬,速度是1厘米 / 秒。当两只蚂蚁碰面时,它们会同时掉头往相反的方向爬行。这些蚂蚁中,有1只蚂蚁感冒了。并且在和其它蚂蚁碰面时,会把感冒传染给碰到的蚂蚁。请你计算,当所有蚂蚁都爬离杆子时,有多少只蚂蚁患上了感冒。

2023-03-26 08:58:37 91

原创 【蓝桥杯】 买不到的数目

NOIP2017 提高组 D1T1。

2023-03-25 22:43:04 195

原创 【蓝桥杯】 k 倍区间

给定一个长度为N的数列,A1​A2​⋯AN​,如果其中一段连续的子序列Ai​Ai1​⋯Aj​i≤j之和是K的倍数,我们就称这个区间ij是K倍区间。你能求出数列中总共有多少个K倍区间吗?

2023-03-25 22:02:55 184

原创 【洛谷】激光炸弹

一种新型的激光炸弹,可以摧毁一个边长为m的正方形内的所有目标。现在地图上有n个目标,用整数xi​yi​表示目标在地图上的位置,每个目标都有一个价值vi​.激光炸弹的投放是通过卫星定位的,但其有一个缺点,就是其爆破范围,即那个边长为m的边必须与x轴,y轴平行。若目标位于爆破正方形的边上,该目标不会被摧毁。现在你的任务是计算一颗炸弹最多能炸掉地图上总价值为多少的目标。

2023-03-25 21:28:30 233

原创 【acwing】子矩阵的和

输入一个n行m列的整数矩阵,再输入q个询问,每个询问包含四个整数x_1y_1x_2y_2,表示一个子矩阵的左上角坐标和右下角坐标。对于每个询问输出子矩阵中所有数的和。

2023-03-25 17:12:27 73

原创 【蓝桥杯】分巧克力

例如一块 6×5 的巧克力可以切出 6 块 2×2 的巧克力或者 2 块 3×3 的巧克力。小明一共有 N 块巧克力,其中第 i 块是 Hi×Wi 的方格组成的长方形。当然小朋友们都希望得到的巧克力尽可能大,你能帮小明计算出最大的边长是多少么?为了公平起见,小明需要从这 N 块巧克力中切出 K 块巧克力分给小朋友们。输入保证每位小朋友至少能获得一块 1×1 的巧克力。以下 N 行每行包含两个整数 Hi 和 Wi。输出切出的正方形巧克力最大可能的边长。小明拿出了珍藏的巧克力招待小朋友们。

2023-03-25 16:18:19 157

原创 【蓝桥杯】四平方和

蓝桥杯 不支持 c++11 所以unordered_xx 和auto 不能使用。输入一个正整数 N。

2023-03-25 15:43:19 347

原创 【今日头条2019,笔试题】机器人跳跃问题

现在的问题是机器人至少以多少能量值开始游戏,才可以保证成功完成游戏?输出一个整数,表示所需的最少单位的初始能量值上取整后的结果。个建筑,在这个过程中能量值不能为负数个单位。机器人正在玩一个古老的基于 DOS 的游戏。每一步,它跳到下一个(右边)建筑。个建筑,且它现在的能量值是。的能量值,否则它将得到。编号,从左到右排列。起初,机器人在编号为。

2023-03-25 11:36:42 481 1

原创 【acwing】数的三次方根

如果底数 x 是 0,指数 y 是负数,可能会导致 domain error 或 pole error 错误,也可能没有;如果底数 x 和指数 y 都是 0,可能会导致 domain error 错误,也可能没有;如果返回值 ret 太大或者太小,将会导致 range error 错误。头文件:#include <math.h>共一行,包含一个浮点数,表示问题的解。共一行,包含一个浮点数。

2023-03-25 10:14:07 251

原创 【acwing】数的范围

对于每个查询,返回一个元素k的起始位置和终止位置(位置从0开始计数)。给定一个按照升序排列的长度为n的整数数组,以及 q 个查询。共q行,每行包含两个整数,表示所求元素的起始位置和终止位置。接下来q行,每行包含一个整数k,表示一个询问元素。如果数组中不存在该元素,则返回“-1 -1”。第一行包含整数n和q,表示数组长度和询问个数。如果数组中不存在该元素,则返回“-1 -1”。第二行包含n个整数(均在1~范围内),表示完整数组。

2023-03-25 09:38:23 217

原创 【acwing】飞行员兄弟

飞行员兄弟”这个游戏,需要玩家顺利的打开一个拥有16个把手的冰箱。已知每个把手可以处于以下两种状态之一:打开或关闭。只有当所有把手都打开时,冰箱才会打开。把手可以表示为一个4×4的矩阵,您可以改变任何一个位置ij上把手的状态。但是,这也会使得第i行和第j列上的所有把手的状态也随着改变。请你求出打开冰箱所需的切换把手的次数最小值是多少。

2023-03-24 22:44:03 58

原创 【蓝桥杯】翻硬币

小明正在玩一个“翻硬币”的游戏。桌上放着排成一排的若干硬币。我们用 * 表示正面,用 o 表示反面(是小写字母,不是零)。比如,可能情形是:**oo***oooo如果同时翻转左边的两个硬币,则变为:oooo***oooo现在小明的问题是:如果已知了初始状态和要达到的目标状态,每次只能同时翻转相邻的两个硬币,那么对特定的局面,最少要翻动多少次呢?

2023-03-24 18:15:54 97

原创 【蓝桥杯】带分数

100 可以表示为带分数的形式:100 = 3 + 69258 / 714还可以表示为:100 = 82 + 3546 / 197注意特征:带分数中,数字1~9分别出现且只出现一次(不包含0)。类似这样的带分数,100 有 11 种表示法。

2023-03-24 17:56:00 82

原创 【acwing】费解的开关

你玩过“拉灯”游戏吗?25盏灯排成一个5x5的方形。每一个灯都有一个开关,游戏者可以改变它的状态。每一步,游戏者可以改变某一个灯的状态。游戏者改变一个灯的状态会产生连锁反应:和这个灯上下左右相邻的灯也要相应地改变其状态。我们用数字“1”表示一盏开着的灯,用数字“0”表示关着的灯。

2023-03-24 17:42:31 62

空空如也

空空如也

TA创建的收藏夹 TA关注的收藏夹

TA关注的人

提示
确定要删除当前文章?
取消 删除