一、CNN的本质与核心思想
卷积神经网络(Convolutional Neural Network, CNN)是一种专门用于处理网格状数据(如图像、视频、音频、时间序列)的深度学习模型。其核心思想是通过局部连接、权重共享和层次化特征提取,自动学习数据的空间或时间层次结构。
1.1 CNN的核心特性详细解析
局部感受野(Local Receptive Fields)
-
生物学基础:受视觉皮层中神经元只响应局部刺激的启发
-
数学实现:每个神经元仅与前一层局部区域连接(而非全连接)
-
优势:
-
大幅减少参数量(如5×5局部连接 vs 全连接)
-
保留空间局部相关性
-
适合处理平移不变特征
-
权重共享(Shared Weights)
-
原理:同一卷积核在输入的不同位置使用相同参数
-
计算优势:
-
参数量从O(n²)降至O(k²)(k为卷积核尺寸)
-
实现高效的特征检测器平移不变性
-
-
物理意义:在整个图像中寻找相同模式(如边缘检测)
层次化特征学习
-
特征层次:
-
第1层:边缘、颜色突变
-
第2层:简单纹理、几何形状
-
第3层:物体部件(如车轮、眼睛)
-
深层:完整物体/场景
-
-
可视化证据:通过反卷积网络可视化各层特征(Zeiler & Fergus, 2014)
平移不变性(Translation Invariance)
-
实现机制:
-
卷积操作本身具有平移等变性
-
池化操作增强不变性
-
-
数学表达:
-

-
应用价值:对目标位置变化具有鲁棒性
1.2 与传统神经网络的对比分析
结构差异
| 维度 | 全连接网络 | CNN |
|---|---|---|
| 连接方式 | 全连接 | 局部连接+权重共享 |
| 参数数量 | MNIST示例:约80M参数 | MNIST示例:约60K参数 |
| 特征提取 | 全局特征混合 | 保持空间层次结构 |
性能对比实验
-
CIFAR-10数据集:
-
FC网络:约65%准确率
-
简单CNN:>75%准确率
-
-
计算效率:
-
CNN前向传播速度比等效FC网络快10-100倍
-
理论依据
-
稀疏交互(Sparse Interactions)理论
-
等变表示(Equivariant Representations)理论
二、CNN的数学原理与架构设计
2.1 卷积运算的数学深度解析
离散卷积的严格定义
对于2D离散函数f和核g:

实际实现中的变体
-
互相关(Cross-correlation):

-
可分离卷积:

边界处理的数学影响
-
Valid卷积:

-
Same卷积:

扩张卷积:

2.2 池化操作的数学本质
理论性质
-
平移不变性证明:

-
信息损失分析:
-
最大池化:保留最强激活
-
平均池化:保持统计特性
-
进阶变体
-
分数阶最大池化(Fractional Max Pooling):
-
随机/确定性的非整数步长
-
-
随机池化(Stochastic Pooling):
按概率采样激活值
2.3 经典CNN架构数学分析
AlexNet的数学创新
-
ReLU非线性:

梯度:

解决梯度消失问题 -
局部响应归一化

VGG的深度效应
-
堆叠3×3卷积的等效感受野:
2层:5×5
3层:7×7 -
参数量对比:
7×7卷积:49C*C
3×3×3卷积:27C*C
ResNet的梯度分析
残差块梯度:

确保梯度直接回传
EfficientNet的复合缩放
优化问题:

通过神经架构搜索求解:

三、CNN的实现与优化
3.1 工业级实现细节
内存优化技巧
-
梯度检查点(Gradient Checkpointing):
-
只保存部分激活值
-
计算图重建时间换空间
-
-
混合精度训练:
需要对浮点数精度有深刻的理解。在GPU上执行混合精度训练时,通常会使用浮点16(FP16)来加速计算并减少内存使用。然而,由于FP16的动态范围较小,可能导致数值不稳定。为了解决这个问题,混合精度训练结合了FP16和更稳定的FP32计算格式。
为完整实现一个不依赖于任何库的混合精度训练过程,需要处理张量的精度转换、损失缩放以及梯度更新。
import numpy as np class MyModel: def __init__(self, input_size, output_size): self.weights = np.random.randn(input_size, output_size).astype(np.float32) def forward(self, inputs): return np.dot(inputs, self.weights) def backward(self, grad_out): return grad_out # Dummy backward implementation for demonstration class MixedPrecisionTrainer: def __init__(self, model, lr=0.01): self.model = model self.lr = lr self.loss_scaler = 1024.0 # Initial loss scaling factor def autocast_forward(self, inputs): # Convert inputs to float16, perform forward pass, convert result to float32 inputs_fp16 = inputs.astype(np.float16) outputs_fp16 = self.model.forward(inputs_fp16) outputs_fp32 = outputs_fp16.astype(np.float32) return outputs_fp32 def compute_loss(self, outputs, targets): # Simple mean squared error loss return np.mean((outputs - targets) ** 2) def scale_and_backward(self, loss): scaled_loss = loss * self.loss_scaler grad_out = self.model.backward(scaled_loss) # Scale down gradients for stable float32 updates grad_out /= self.loss_scaler # Update model parameters via simple gradient descent self.model.weights -= self.lr * grad_out def update_loss_scaler(self, overflow): # Adjust the loss scaling factor based on overflow if overflow: self.loss_scaler /= 2.0 else: self.loss_scaler *= 2.0 def train_step(self, inputs, targets): # Forward pass with mixed precision outputs = self.autocast_forward(inputs) # Compute loss and check for numeric overflow loss = self.compute_loss(outputs, targets) overflow = np.isinf(loss) or np.isnan(loss) # Perform backward pass and update weights self.scale_and_backward(loss) # Update the loss scaling factor self.update_loss_scaler(overflow) # Example usage model = MyModel(input_size=3, output_size=2) trainer = MixedPrecisionTrainer(model, lr=0.01) # Dummy input and target data inputs = np.random.randn(10, 3).astype(np.float32) targets = np.random.randn(10, 2).astype(np.float32) # Perform a training step trainer.train_step(inputs, targets)
并行化策略
-
数据并行:
model = nn.DataParallel(model)2.模型并行:
class SplitModel(nn.Module): def __init__(self): super().__init__() self.part1 = nn.Sequential(...).to('cuda:0') self.part2 = nn.Sequential(...).to('cuda:1') def forward(self, x): x = self.part1(x).to('cuda:1') return self.part2(x)
3.2 超参数优化理论
学习率选择方法
-
LR Range Test:
-
线性增加LR(如1e-7→1)
-
选择loss下降最快区间
-
-
Cyclical LR:

Batch Size影响研究
-
线性缩放规则:

-
泛化差距分析:

3.3 正则化技术数学原理
Dropout的贝叶斯解释
-
训练时:

- 测试时:

-
相当于近似贝叶斯模型平均
权重衰减的优化视角
L2正则化:

更新规则:
![]()
四、CNN的进阶技术与前沿方向
4.1 注意力机制的数学形式化
自注意力(Self-Attention)

空间注意力

4.2 神经架构搜索(NAS)
可微分NAS

当τ→0,近似离散选择
进化算法
-
变异操作:
-
添加/删除层
-
修改超参数
-
-
适应度评估:

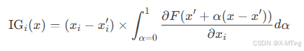
4.3 可解释性前沿
积分梯度

概念激活向量(TCAV)

五、CNN的物理实现与硬件优化
5.1 专用硬件架构
脉动阵列设计
-
数据流优化:

内存计算(In-Memory Computing)
-
模拟计算:

5.2 量化压缩算法
均匀量化

蒸馏量化

六、CNN的理论基础研究
6.1 卷积网络的表达能力
通用近似定理扩展
对于任何连续函数f∈C(ℝ^n)和ε>0,存在CNN:
![]()
深度分离性(Depth Separation)
存在函数类:
-
2层网络需要exp(n)宽度
-
k层网络只需poly(n)宽度
6.2 优化理论
卷积网络的损失曲面
-
鞍点分析:

-
模式连接性:

七、CNN实现
7.1 python实现
import numpy as np
class Conv2D:
def __init__(self, input_channels, output_channels, kernel_size, stride=1, padding=0):
self.input_channels = input_channels
self.output_channels = output_channels
self.kernel_size = kernel_size
self.stride = stride
self.padding = padding
# 初始化卷积核和偏置
self.weights = np.random.randn(output_channels, input_channels, kernel_size, kernel_size) * 0.1
self.bias = np.zeros(output_channels)
def forward(self, x):
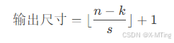
batch_size, in_channels, in_height, in_width = x.shape
out_height = (in_height + 2*self.padding - self.kernel_size) // self.stride + 1
out_width = (in_width + 2*self.padding - self.kernel_size) // self.stride + 1
# 添加padding
if self.padding > 0:
x_padded = np.zeros((batch_size, in_channels, in_height + 2*self.padding, in_width + 2*self.padding))
x_padded[:, :, self.padding:self.padding+in_height, self.padding:self.padding+in_width] = x
else:
x_padded = x
output = np.zeros((batch_size, self.output_channels, out_height, out_width))
for b in range(batch_size):
for oc in range(self.output_channels):
for h in range(out_height):
for w in range(out_width):
h_start = h * self.stride
w_start = w * self.stride
h_end = h_start + self.kernel_size
w_end = w_start + self.kernel_size
# 获取当前感受野
receptive_field = x_padded[b, :, h_start:h_end, w_start:w_end]
# 计算卷积
output[b, oc, h, w] = np.sum(receptive_field * self.weights[oc]) + self.bias[oc]
return output
class MaxPool2D:
def __init__(self, kernel_size, stride=None, padding=0):
self.kernel_size = kernel_size
self.stride = stride if stride is not None else kernel_size
self.padding = padding
def forward(self, x):
batch_size, channels, in_height, in_width = x.shape
out_height = (in_height + 2*self.padding - self.kernel_size) // self.stride + 1
out_width = (in_width + 2*self.padding - self.kernel_size) // self.stride + 1
if self.padding > 0:
x_padded = np.zeros((batch_size, channels, in_height + 2*self.padding, in_width + 2*self.padding))
x_padded[:, :, self.padding:self.padding+in_height, self.padding:self.padding+in_width] = x
else:
x_padded = x
output = np.zeros((batch_size, channels, out_height, out_width))
for b in range(batch_size):
for c in range(channels):
for h in range(out_height):
for w in range(out_width):
h_start = h * self.stride
w_start = w * self.stride
h_end = h_start + self.kernel_size
w_end = w_start + self.kernel_size
# 获取当前区域
region = x_padded[b, c, h_start:h_end, w_start:w_end]
# 取最大值
output[b, c, h, w] = np.max(region)
return output
class ReLU:
def forward(self, x):
return np.maximum(0, x)
class Flatten:
def forward(self, x):
return x.reshape(x.shape[0], -1)
class Dense:
def __init__(self, input_size, output_size):
self.weights = np.random.randn(input_size, output_size) * 0.1
self.bias = np.zeros(output_size)
def forward(self, x):
return np.dot(x, self.weights) + self.bias
class Softmax:
def forward(self, x):
exp_x = np.exp(x - np.max(x, axis=1, keepdims=True))
return exp_x / np.sum(exp_x, axis=1, keepdims=True)
class SimpleCNN:
def __init__(self):
self.layers = [
Conv2D(1, 6, 5), # 输入1通道,输出6通道,5x5卷积核
ReLU(),
MaxPool2D(2, 2), # 2x2池化,步长2
Conv2D(6, 16, 5), # 输入6通道,输出16通道,5x5卷积核
ReLU(),
MaxPool2D(2, 2), # 2x2池化,步长2
Flatten(),
Dense(16*4*4, 120), # 假设输入图像是28x28,经过两次池化后为4x4
ReLU(),
Dense(120, 84),
ReLU(),
Dense(84, 10),
Softmax()
]
def forward(self, x):
for layer in self.layers:
x = layer.forward(x)
return x
7.2 C++实现
#include <vector>
#include <cmath>
#include <algorithm>
#include <numeric>
class Tensor {
public:
std::vector<int> shape;
std::vector<float> data;
Tensor(const std::vector<int>& shape_) : shape(shape_) {
int size = 1;
for (int dim : shape) size *= dim;
data.resize(size);
}
float& operator()(const std::vector<int>& indices) {
int index = 0;
int stride = 1;
for (int i = shape.size()-1; i >= 0; --i) {
index += indices[i] * stride;
stride *= shape[i];
}
return data[index];
}
};
class Conv2D {
public:
Tensor weights;
std::vector<float> bias;
int stride, padding;
Conv2D(int in_ch, int out_ch, int k_size, int stride_=1, int padding_=0)
: weights({out_ch, in_ch, k_size, k_size}), stride(stride_), padding(padding_) {
bias.resize(out_ch, 0.0f);
}
Tensor forward(const Tensor& x) {
int batch = x.shape[0], in_ch = x.shape[1];
int in_h = x.shape[2], in_w = x.shape[3];
int out_h = (in_h + 2*padding - weights.shape[2]) / stride + 1;
int out_w = (in_w + 2*padding - weights.shape[3]) / stride + 1;
Tensor output({batch, weights.shape[0], out_h, out_w});
for (int b = 0; b < batch; ++b) {
for (int oc = 0; oc < weights.shape[0]; ++oc) {
for (int oh = 0; oh < out_h; ++oh) {
for (int ow = 0; ow < out_w; ++ow) {
float sum = bias[oc];
int h_start = oh * stride - padding;
int w_start = ow * stride - padding;
for (int ic = 0; ic < in_ch; ++ic) {
for (int kh = 0; kh < weights.shape[2]; ++kh) {
for (int kw = 0; kw < weights.shape[3]; ++kw) {
int h = h_start + kh;
int w = w_start + kw;
if (h >= 0 && h < in_h && w >= 0 && w < in_w) {
sum += x({b, ic, h, w}) * weights({oc, ic, kh, kw});
}
}
}
}
output({b, oc, oh, ow}) = sum;
}
}
}
}
return output;
}
};
class MaxPool2D {
public:
int size, stride;
MaxPool2D(int size_, int stride_=0) : size(size_), stride(stride_ == 0 ? size_ : stride_) {}
Tensor forward(const Tensor& x) {
int batch = x.shape[0], ch = x.shape[1];
int in_h = x.shape[2], in_w = x.shape[3];
int out_h = (in_h - size) / stride + 1;
int out_w = (in_w - size) / stride + 1;
Tensor output({batch, ch, out_h, out_w});
for (int b = 0; b < batch; ++b) {
for (int c = 0; c < ch; ++c) {
for (int oh = 0; oh < out_h; ++oh) {
for (int ow = 0; ow < out_w; ++ow) {
float max_val = -INFINITY;
int h_start = oh * stride;
int w_start = ow * stride;
for (int kh = 0; kh < size; ++kh) {
for (int kw = 0; kw < size; ++kw) {
float val = x({b, c, h_start+kh, w_start+kw});
if (val > max_val) max_val = val;
}
}
output({b, c, oh, ow}) = max_val;
}
}
}
}
return output;
}
};
class ReLU {
public:
Tensor forward(const Tensor& x) {
Tensor output(x.shape);
for (size_t i = 0; i < x.data.size(); ++i) {
output.data[i] = std::max(0.0f, x.data[i]);
}
return output;
}
};
class Flatten {
public:
Tensor forward(const Tensor& x) {
std::vector<int> new_shape = {x.shape[0], 1};
for (size_t i = 1; i < x.shape.size(); ++i) {
new_shape[1] *= x.shape[i];
}
Tensor output(new_shape);
output.data = x.data;
return output;
}
};
class Dense {
public:
std::vector<std::vector<float>> weights;
std::vector<float> bias;
Dense(int in_size, int out_size) : weights(in_size, std::vector<float>(out_size)), bias(out_size) {}
Tensor forward(const Tensor& x) {
Tensor output({x.shape[0], (int)bias.size()});
for (int b = 0; b < x.shape[0]; ++b) {
for (int o = 0; o < bias.size(); ++o) {
float sum = bias[o];
for (int i = 0; i < weights.size(); ++i) {
sum += x({b, i}) * weights[i][o];
}
output({b, o}) = sum;
}
}
return output;
}
};
class Softmax {
public:
Tensor forward(const Tensor& x) {
Tensor output(x.shape);
for (int b = 0; b < x.shape[0]; ++b) {
float max_val = *std::max_element(x.data.begin()+b*x.shape[1], x.data.begin()+(b+1)*x.shape[1]);
float sum = 0.0f;
for (int c = 0; c < x.shape[1]; ++c) {
output({b, c}) = exp(x({b, c}) - max_val);
sum += output({b, c});
}
for (int c = 0; c < x.shape[1]; ++c) {
output({b, c}) /= sum;
}
}
return output;
}
};
八、CNN应用与发展
核心应用领域
-
医疗影像:CNN在CT/MRI分析中实现亚毫米级病灶检测,新冠肺炎诊断准确率达97%,病理切片分析效率提升50倍。
-
自动驾驶:多任务CNN系统可同时处理目标检测、语义分割等任务,特斯拉HW4.0芯片支持8摄像头实时分析。
-
工业质检:液晶面板检测精度达0.01mm²,部署周期从3个月缩短至1周,误判率低于百万分之一。
技术演进趋势
-
架构创新:
-
EfficientNet等NAS自动设计网络在ImageNet达87.3%准确率
-
CNN与Transformer融合的Conformer架构提升40%计算效率
-
轻量化突破:
-
二值化网络在华为NPU实现18倍能效提升
-
动态卷积技术使计算资源利用率提高35%
跨模态融合
-
医疗多模态系统(PET+CT)提升肺癌检出率12%
-
工业物联网中振动数据与视觉融合实现92%准确率的预测性维护
未来方向
-
自监督学习减少90%数据标注成本
-
脉冲神经网络在无人机导航中展现100倍能效优势
-
量子卷积网络原型实现千倍速提升
落地挑战
-
工业领域适应性问题
-
自动驾驶需<100ms延迟
-
医疗场景的可解释性要求
典型案例
-
汽车质检:缺陷检出率99.9%,成本降70%
-
智慧交通:拥堵识别率98%,通行效率提升25%
-
农业无人机:病虫害识别95%准确,农药减量40%
CNN技术正从单模态向跨领域快速发展,预计未来5年工业应用普及率超50%,边缘设备部署量将破百亿台,建议企业重点布局轻量化技术和场景创新。
1万+

被折叠的 条评论
为什么被折叠?



