MATLAB Arnold 的图像置乱加密及解密
二维 Arnold 的图像置乱加密及解密(1):RGB图像的处理
基于Arnol变换的图像置乱
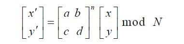
Arnold变换是俄国数学家Vladimir I. Arnold提出的一种变换,一幅N ×N的数字图像的二维Arnold
变换定义为:
注意:x,y是原图像的像素坐标,x',y'是变换后的像素坐标。保证|ad-bc|=1,如置换矩阵系数设为a=b=1,c=2,d=3,置换次数n=20,则他们被当作密钥key,用于解密。Arnol变换的图像类型只能是N*N的图片。
RGB图像的二维 Arnold 的图像置乱加密及解密
(1)编写一个arnold.m文件与iarnold.m文件(见上一篇日志《二维 Arnold 的图像置乱加密及解密——Matlab实现(1)》)
(2)图像处理程序
图像加密置乱:
a=imread('flower.jpg'); %取预处理图像
R=a

本文介绍了使用MATLAB实现基于Arnold变换的图像置乱加密及解密过程,包括RGB图像的处理。通过设置不同的密钥对图像的红绿蓝三层分别加密,再使用相同密钥解密,以达到图像的安全存储和传输目的。同时讨论了置乱度和加密的周期性,探讨了Arnold变换作为图像加密算法的优势。
最低0.47元/天 解锁文章
176

被折叠的 条评论
为什么被折叠?



