一、简介
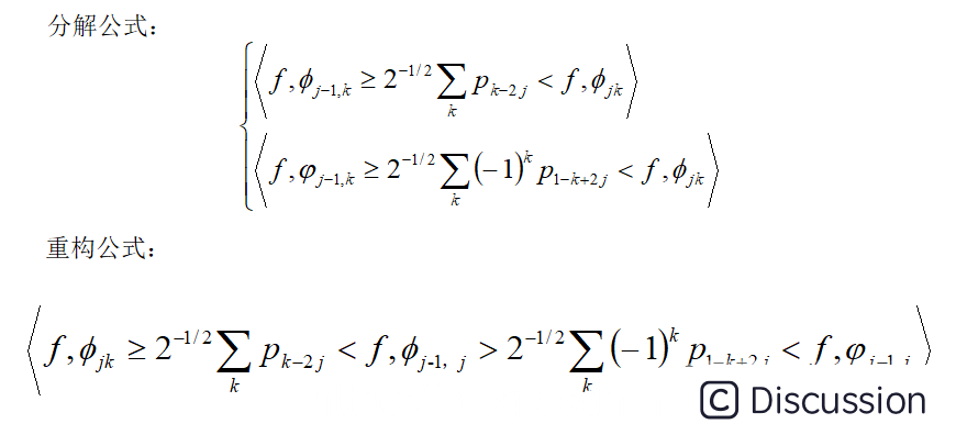
1974年,法国工程师J.Morlet首先提出小波变换的概念,1986年著名数学家Y.Meyer偶然构造出一个真正的小波基,并与S.Mallat合作建立了构造小波基的多尺度分析之后,小波分析才开始蓬勃发展起来。小波分析的应用领域十分广泛,在数学方面,它已用于数值分析、构造快速数值方法、曲线曲面构造、微分方程求解、控制论等。在信号分析方面的滤波、去噪声、压缩、传递等。在图像处理方面的图像压缩、分类、识别与诊断,去噪声等。本章将着重阐述小波在图像中的应用分析。\ 1 小波变换原理\ 小波分析是一个比较难的分支,用户采用小波变换,可以实现图像压缩,振动信号的分解与重构等,因此在实际工程上应用较广泛。小波分析与Fourier变换相比,小波变换是空间域和频率域的局部变换,因而能有效地从信号中提取信息。小波变换通过伸缩和平移等基本运算,实现对信号的多尺度分解与重构,从而很大程度上解决了Fourier变换带来的很多难题。\ 小波分析作一个新的数学分支,它是泛函分析、Fourier分析、数值分析的完美结晶;小波分析也是一种“时间—尺度”分析和多分辨分析的新技术,它在信号分析、语音合成、图像压缩与识别、大气与海洋波分析等方面的研究,都有广泛的应用。\ (1)小波分析用于信号与图像压缩。小波压缩的特点是压缩比高,压缩速度快,压缩后能保持信号与图像的特征不变,且在传递中能够抗干扰。基于小波分析的压缩方法很多,具体有小波压缩,小波包压缩,小波变换向量压缩等。\ (2)小波也可以用于信号的滤波去噪、信号的时频分析、信噪分离与提取弱信号、求分形指数、信号的识别与诊断以及多尺度边缘检测等。\ (3)小波分析在工程技术等方面的应用概括的包括计算机视觉、曲线设计、湍流、远程宇宙的研究与生物医学方面。\ 2 多尺度分析\
\ 3 图像的分解和量化\
\ 4 图像压缩编码\
\ 5 图像编码评价\ 
二、源代码
``` function varargout = imageprocess(varargin) % IMAGEPROCESS MATLAB code for imageprocess.fig % IMAGEPROCESS, by itself, creates a new IMAGEPROCESS or raises the existing % singleton. % % H = IMAGEPROCESS returns the handle to a new IMAGEPROCESS or the handle to % the existing singleton. % % IMAGEPROCESS('CALLBACK',hObject,eventData,handles,...) calls the local % function named CALLBACK in IMAGEPROCESS.M with the given input arguments. % % IMAGEPROCESS('Property','Value',...) creates a new IMAGEPROCESS or raises the % existing singleton*. Starting from the left, property value pairs are % applied to the GUI before imageprocessOpeningFcn gets called. An % unrecognized property name or invalid value makes property application % stop. All inputs are passed to imageprocessOpeningFcn via varargin. % % *See GUI Options on GUIDE's Tools menu. Choose "GUI allows only one % instance to run (singleton)". % % See also: GUIDE, GUIDATA, GUIHANDLES
% Edit the above text to modify the response to help imageprocess
% Last Modified by GUIDE v2.5 21-Apr-2015 22:09:41
% Begin initialization code - DO NOT EDIT guiSingleton = 1; guiState = struct('guiName', mfilename, ... 'guiSingleton', guiSingleton, ... 'guiOpeningFcn', @imageprocessOpeningFcn, ... 'guiOutputFcn', @imageprocessOutputFcn, ... 'guiLayoutFcn', [] , ... 'guiCallback', []); if nargin && ischar(varargin{1}) guiState.gui_Callback = str2func(varargin{1}); end
if nargout [varargout{1:nargout}] = guimainfcn(guiState, varargin{:}); else guimainfcn(guiState, varargin{:}); end % End initialization code - DO NOT EDIT
% --- Executes just before imageprocess is made visible. function imageprocess_OpeningFcn(hObject, eventdata, handles, varargin) % This function has no output args, see OutputFcn. % hObject handle to figure % eventdata reserved - to be defined in a future version of MATLAB % handles structure with handles and user data (see GUIDATA) % varargin command line arguments to imageprocess (see VARARGIN)
% Choose default command line output for imageprocess handles.output = hObject;
% Update handles structure guidata(hObject, handles);
% UIWAIT makes imageprocess wait for user response (see UIRESUME) % uiwait(handles.figure1);
% --- Outputs from this function are returned to the command line. function varargout = imageprocess_OutputFcn(hObject, eventdata, handles) % varargout cell array for returning output args (see VARARGOUT); % hObject handle to figure % eventdata reserved - to be defined in a future version of MATLAB % handles structure with handles and user data (see GUIDATA)
% Get default command line output from handles structure varargout{1} = handles.output;
% --- Executes on button press in pushbutton1. function pushbutton1_Callback(hObject, eventdata, handles) % hObject handle to pushbutton1 (see GCBO) % eventdata reserved - to be defined in a future version of MATLAB % handles structure with handles and user data (see GUIDATA)
global im1 [filename, pathname]=uigetfile({'.';'.bmp';'.jpg';'.tif';'.jpg';'*.png'},'打开图片'); str1=[pathname filename]; im1=imread(str1); axes(handles.axes1); imshow(im1);
% --- Executes on button press in pushbutton2. function pushbutton2_Callback(hObject, eventdata, handles) % hObject handle to pushbutton2 (see GCBO) % eventdata reserved - to be defined in a future version of MATLAB % handles structure with handles and user data (see GUIDATA) global im2 [filename, pathname]=uigetfile({'.';'.bmp';'.jpg';'.tif';'.jpg';'*.png'},'打开图片'); str1=[pathname filename]; im2=imread(str1); axes(handles.axes2); imshow(im2);
% --- Executes on button press in pushbutton7. function pushbutton7_Callback(hObject, eventdata, handles) % hObject handle to pushbutton7 (see GCBO) % eventdata reserved - to be defined in a future version of MATLAB % handles structure with handles and user data (see GUIDATA) close(gcf);
% --- Executes during object creation, after setting all properties. function axes3_CreateFcn(hObject, eventdata, handles) % hObject handle to axes3 (see GCBO) % eventdata reserved - to be defined in a future version of MATLAB % handles empty - handles not created until after all CreateFcns called
% Hint: place code in OpeningFcn to populate axes3
% --- Executes on button press in pushbutton3. function pushbutton11_Callback(hObject, eventdata, handles) % hObject handle to pushbutton3 (see GCBO) % eventdata reserved - to be defined in a future version of MATLAB % handles structure with handles and user data (see GUIDATA)
% --- Executes when selected object is changed in uipanel2.
% --- Executes when selected object is changed in uipanel3. function uipanel3_SelectionChangeFcn(hObject, eventdata, handles) % hObject handle to the selected object in uipanel3 % eventdata structure with the following fields (see UIBUTTONGROUP) % EventName: string 'SelectionChanged' (read only) % OldValue: handle of the previously selected object or empty if none was selected % NewValue: handle of the currently selected object % handles structure with handles and user data (see GUIDATA)
% -------------------------------------------------------------------- function Untitled1Callback(hObject, eventdata, handles) % hObject handle to Untitled_1 (see GCBO) % eventdata reserved - to be defined in a future version of MATLAB % handles structure with handles and user data (see GUIDATA)
% -------------------------------------------------------------------- function Untitled3Callback(hObject, eventdata, handles) % hObject handle to Untitled_3 (see GCBO) % eventdata reserved - to be defined in a future version of MATLAB % handles structure with handles and user data (see GUIDATA)
% -------------------------------------------------------------------- function Untitled13Callback(hObject, eventdata, handles) % hObject handle to Untitled_13 (see GCBO) % eventdata reserved - to be defined in a future version of MATLAB % handles structure with handles and user data (see GUIDATA)
% -------------------------------------------------------------------- function Untitled27Callback(hObject, eventdata, handles) % hObject handle to Untitled_27 (see GCBO) % eventdata reserved - to be defined in a future version of MATLAB % handles structure with handles and user data (see GUIDATA)
% -------------------------------------------------------------------- function Untitled28Callback(hObject, eventdata, handles) % hObject handle to Untitled_28 (see GCBO) % eventdata reserved - to be defined in a future version of MATLAB % handles structure with handles and user data (see GUIDATA) global im1 global im2 im11 = double(im1)/255; im22 = double(im2)/255;
%普拉斯金塔变换参数 mp = 3;zt =4; cf =1;ar = 1; cc = [cf ar];
Ylap = fuselap(im11,im22,zt,cc,mp);
axes(handles.axes4); imshow(Y_lap);
% -------------------------------------------------------------------- function Untitled29Callback(hObject, eventdata, handles) % hObject handle to Untitled_29 (see GCBO) % eventdata reserved - to be defined in a future version of MATLAB % handles structure with handles and user data (see GUIDATA)
% -------------------------------------------------------------------- function Untitled14Callback(hObject, eventdata, handles) % hObject handle to Untitled_14 (see GCBO) % eventdata reserved - to be defined in a future version of MATLAB % handles structure with handles and user data (see GUIDATA) im=handles.img; se=strel('disk',4); im3=imerode(im,se); axes(handles.axes3); imshow(im3); handles.img=im3; guidata(hObject,handles); ```
三、运行结果

3838

被折叠的 条评论
为什么被折叠?



