一、最优化基础
1、判断矩阵A是不是正定
若A的特征值全为正,则A正定。即,其中
为特征值。
注:
-
正定矩阵:对于一个n阶矩阵A,如果它的所有特征值都大于0,则矩阵A是正定的。
-
负定矩阵:对于一个n阶矩阵A,如果它的所有特征值都小于0,则矩阵A是负定的。
-
半正定矩阵:对于一个n阶矩阵A,如果它的所有特征值都大于等于0,则矩阵A是半正定的。
-
半负定矩阵:对于一个n阶矩阵A,如果它的所有特征值都小于等于0,则矩阵A是半负定的。
2、梯度(一阶导数)


3、Hesse矩阵

4、极值、稳定点



二、无约束规划方法
1、最速下降法
迭代公式: 
其中: 为搜索方向;
为步长。令
,代入
、
数据,
由 解出
。
算法步骤 :
(1)求
(2) 判断 ,若成立,则退出;否则,继续。
(3)求 ,对
求导,令其为0,可得
。
(4),重复1步骤,其中k+=1。
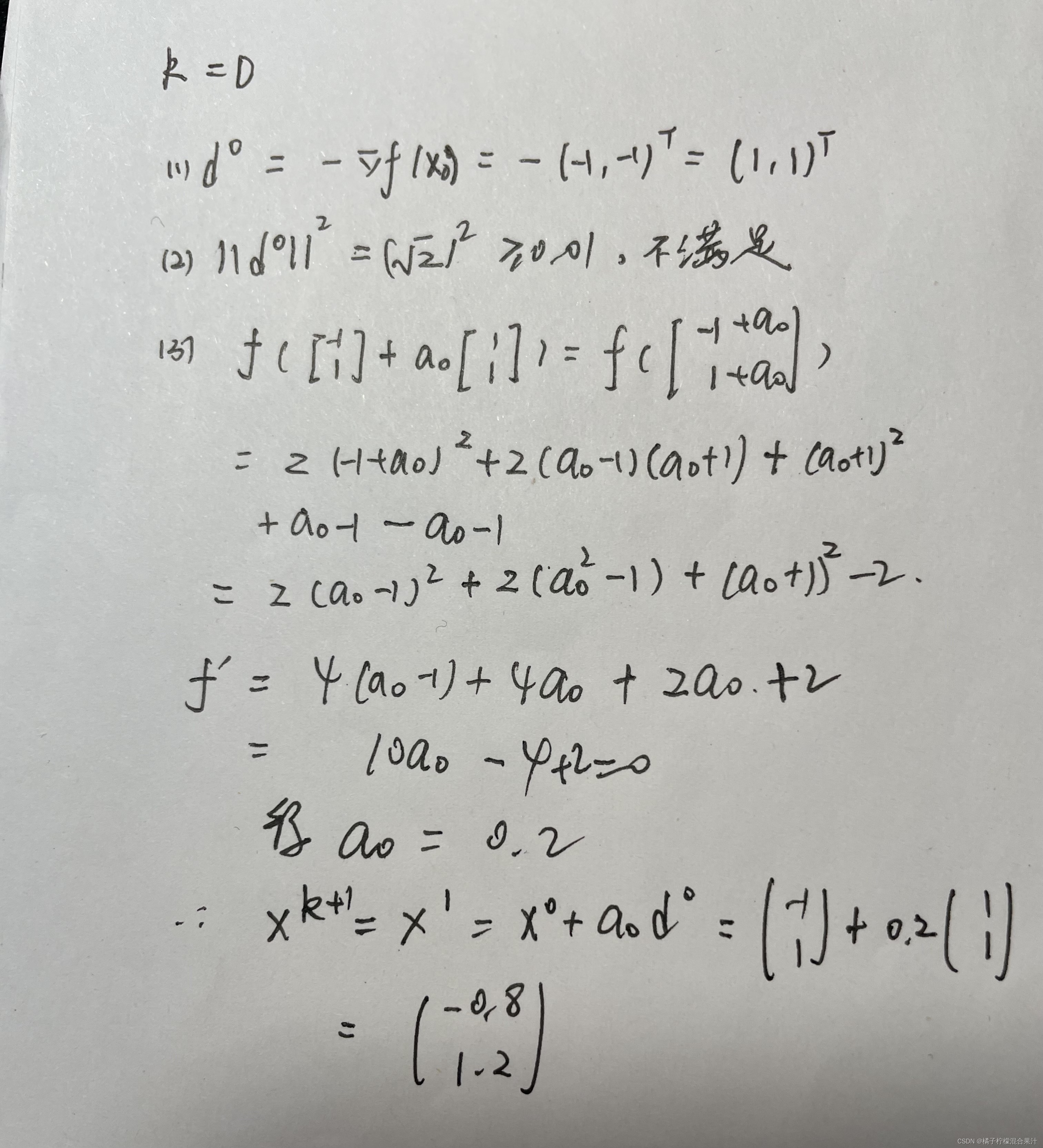
例题1


依次求解:k = 1 时,
k = 2 时,
显然,满足约束,停止计算。
例题2



2、牛顿法
迭代公式: ![x^{k+1}=x^{k}-\left [ \triangledown ^{2}f(x^{k}) \right ]^{-1}\triangledown f(x^{k})](https://latex.csdn.net/eq?x%5E%7Bk+1%7D%3Dx%5E%7Bk%7D-%5Cleft%20%5B%20%5Ctriangledown%20%5E%7B2%7Df%28x%5E%7Bk%7D%29%20%5Cright%20%5D%5E%7B-1%7D%5Ctriangledown%20f%28x%5E%7Bk%7D%29)
其中:
那么就有:
可由上式求出方向,牛顿法中步长恒为1。
算法步骤:
(1)求 处梯度:
(2)判断 ,若成立,则退出;否则,继续。
(3)求处黑塞矩阵:
(4)求 ,即解出:
(5),重复1步骤,其中k+=1。
例题1


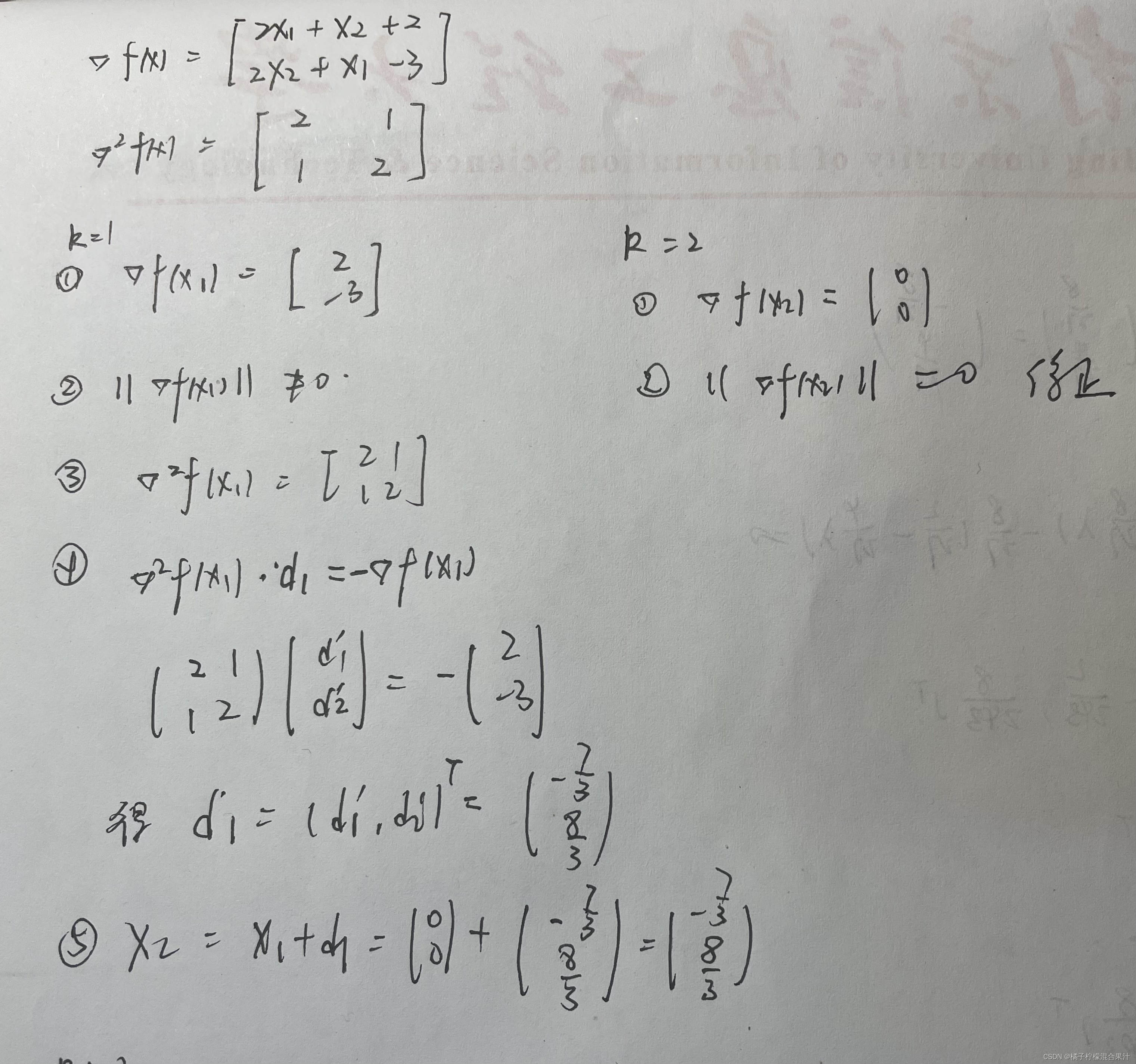
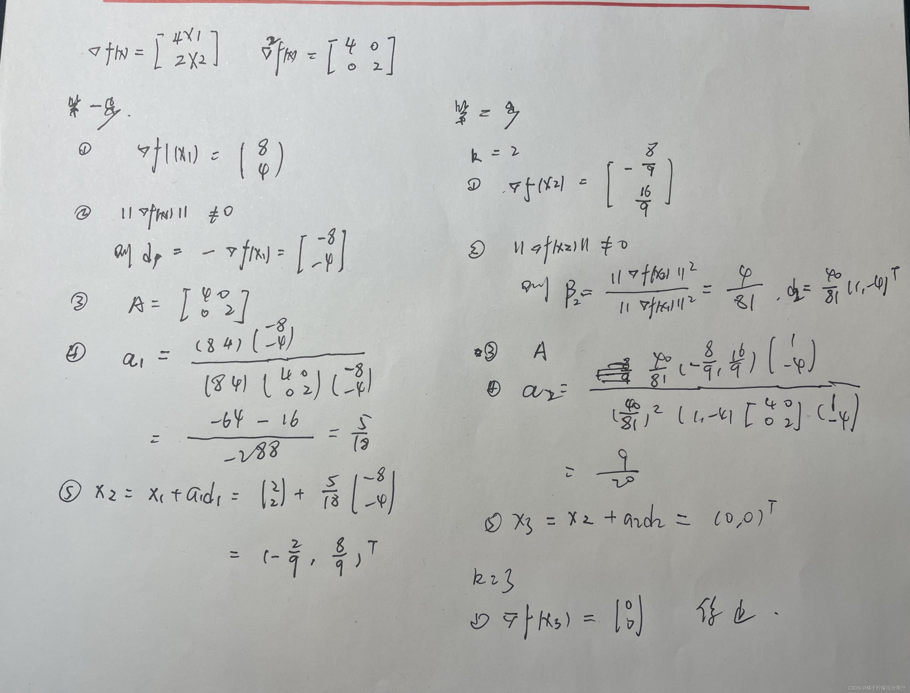
3、共轭梯度法
正定二次函数的算法步骤:
第一步:
(1)求 处梯度:
(2)判断 ,若成立,则退出;
否则,方向:
(3)求处黑塞矩阵:
,记其为A。
(4)求步长:
(5)
第二步:
(1)求 处梯度:
(2)判断 ,若成立,则退出;
否则,方向:
其中:
(3)求处黑塞矩阵:
,记其为A。
(4)求步长:
(5),重复1步骤,其中k+=1。
例题1


图片上两个a等式后面都有负号,手误
三、约束规划的最优性条件
1、含等式和不等式约束的库恩-塔克条件(K-T点)
现有:
因为 等价于
、
则库恩-塔克条件为:
满足上述条件的点称为K-T点。
例题1




例题2


四、线性规划
1、标准形式的转化

2、单纯形法
例题1

其中第四、五列构成了一个单位矩阵,被选为了基,所以表中 的下方为

检验数 ,因为
,且系数都为负数,表明
还有下降的空间,其中
下降最快,所以
进基。
根据,得
出基。
将x2列的x5那个数字化为1,其余列的全化为0,即打上星号的数字。

检验数 ,x1进基,
,x4出基。
将x1列的x4那个数字化为1,其余列的全化为0,即打上星号的数字。

3、对偶单纯形法
例题1


最优解为:。
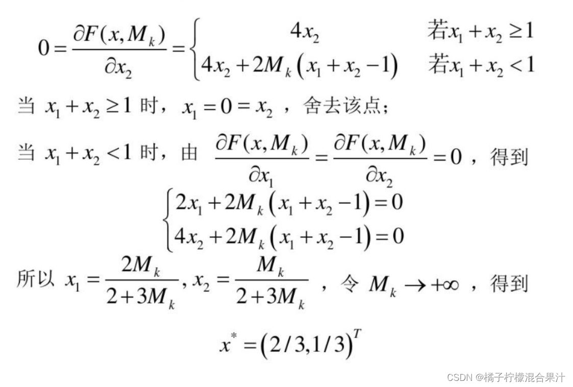
五、罚函数法
1、外罚函数法
构造外罚函数:
其中:为罚因子,决定惩罚力

一般取 2 。
算法步骤

例题1(等式约束)


例题2(不等式约束)
M就是


2、内罚函数法


算法步骤

例题1


3319

被折叠的 条评论
为什么被折叠?



