大学物理之神奇的宇宙最强の电磁学!!!
介个是俺大一下在家上网课时代,浅浅复习一下~(连字体颜色都变浅了哈哈哈)
一、静电场
5.1 电场 电场强度
1.1.库仑定律:真空中 静止的 点电荷
1.2.电场
1.静电场:![]()
2.电场强度:
- 点电荷的电场:
- 点电荷系的电场:

- 偶极子模型:

- 电荷连续分布的带电体的电场:

3.
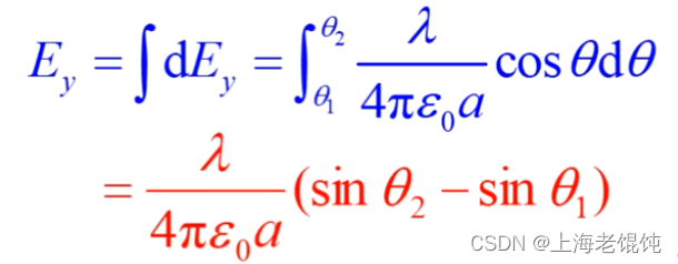
例1:有限长带电直线
补充:无限长带电直线:
例二:带电圆环
例三:带电圆盘
例四:平行大平面
例五:
例六:


5.2电通量 高斯定理
1.电场线
切线方向是电场方向,同一平面条数越多场强越大。永不相交。



2.电通量
![]()
大小:


穿出为正穿入为负
电通量是代数和
3.高斯定理



应用高斯定理求静电场:(高度对称的高斯面)
例1:球面
例2:球体
![]()
例3:球壳
例4:无限大平面
例5:无限大平板
Δs那里是真空的,没有电荷,有电荷的部分长度为2*d/2=d
例六:无限长直线
例七:有限长直线
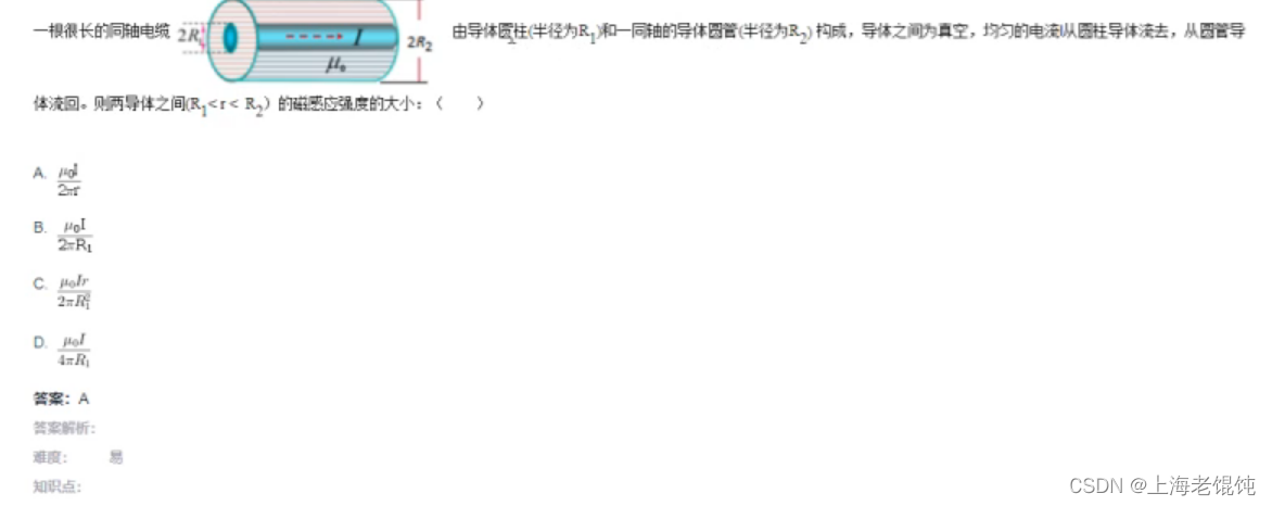
例八:无限圆柱面
叠加法:

5.3 电场力的功 电势
1.电场力的功
2.电势


电势叠加:代数和相加
例一:电偶极子模型
例二:圆环
例三:
例三:
有限大的取无限远为电势零点,无限大的取有限处为电势零点。


5.4 电场强度与电势的关系
1.等势面


等势线的疏密程度代表电场的大小

5.5 静电场中的导体



1.等势面/等势体


1.腔内无电荷
![]()
2.腔内有电荷

空腔:



5.6 静电场中的电介质

无极分子电距为0






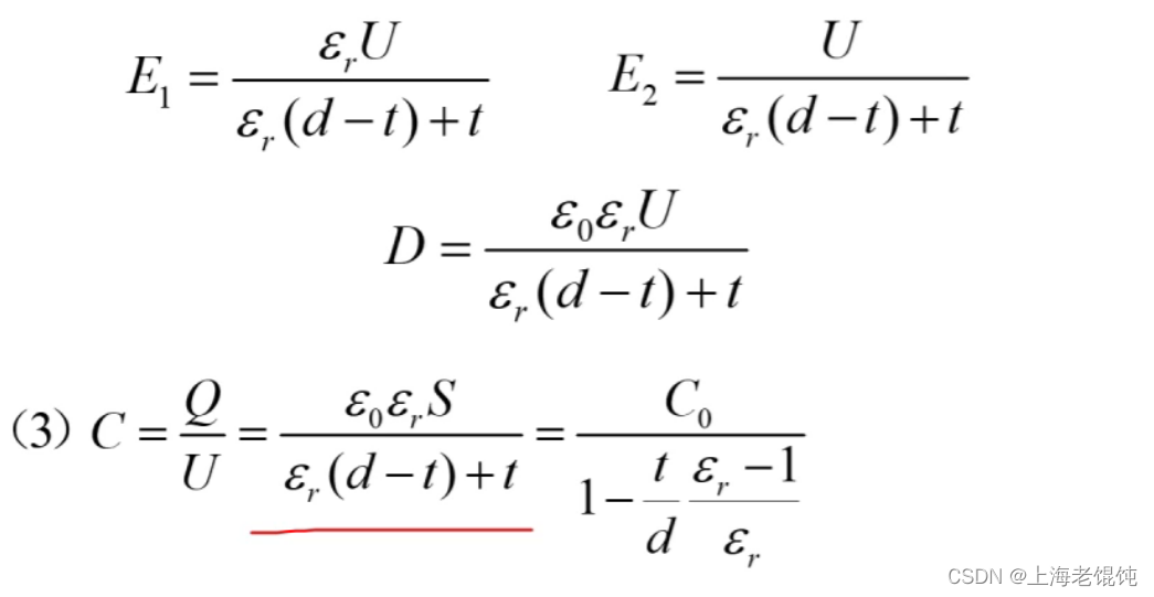
5.7 电容器



真空最小



例题1:


5.8 电场的能量




二、稳恒磁场
6.1


6.1.2 磁感应强度

特殊性 :看不见、可叠加







方向:右手Idl转向r


例1:载流直导线的磁场
例二:圆形电流轴线上的磁场
例二plus:
例三:
长直螺线管:全是 1/2unI
例:
P.196 6.13
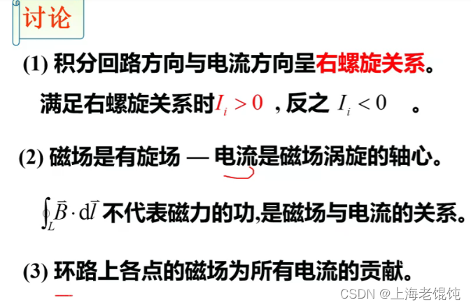
2.安培环流定理








电流方向建议逆时针为正


.
在下方和在上方一样,找个点一合成就是向左
ad、cb由于是垂直Π/2的,都是0
6.3 磁场对载流的导线的作用




匀强磁场闭合导线框合力为0 ,这个不匀噢






(适用于匀强磁场,恒定电流 )



不能只看箭头画的是I指向上,应该I在线圈中逆时针流动,由右手螺旋定则,得I指向外




磁聚焦:


霍尔效应:
















第二章复习







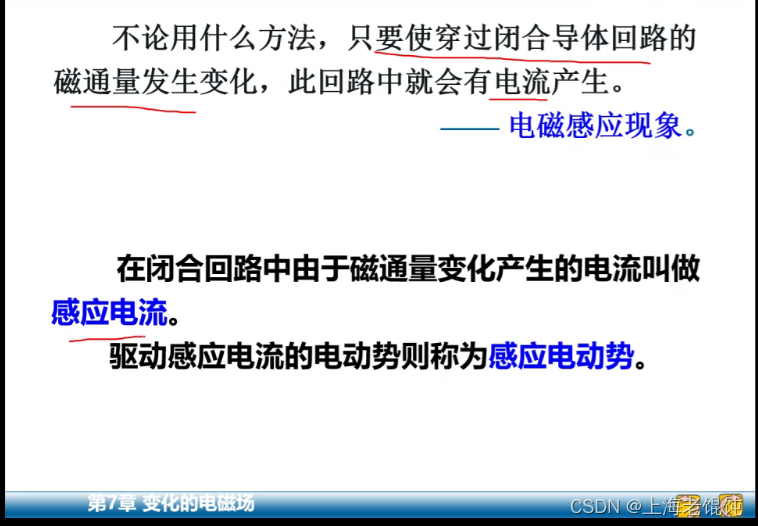
7. 变化的电磁场
7.1


是能量守恒定律在电磁感应现象上的具体体现 机械能——>焦耳热
图一 逆时针
图二 顺时针





负号- 来源于 楞次定律



7.2 动生电动势与感生电动势

从O指向P
安培力 用左手
详细:






B可能和x、t有关,这里只找对t的偏导




径向是0


7.4 磁场能量





























































.






























4858

被折叠的 条评论
为什么被折叠?



