0、前言
文章《基于 EEMD-GRU-MLR 的短期电力负荷预测》中,通过构建集合经验模态分解(ensemble empirical modedecomposition,EEMD)以及门控循环单元神经网络(gated recurrent unit neural network,GRU)和多元线性回归(multiplelinear regression , MLR) 组 合 而 成 的EEMD-GRU-MLR(EGM)预测方法,有效提高了电力负荷短期预测精度。具体理论可参考该文献。

1、EEMD+GRU+MLR组合时间序列预测方法亮点
①通过集合经验模态分解EEMD方法将序列分解为频率不同的若干个单一频率的本征模函数及余波(Residual),每一个本征模函数都代表了某一种时间尺度上的局部特征,充分挖掘了数据所包含的信息的同时又避免了局部特征之间的相互干扰。
②采用 GRU 神经网络和多元线性回归MLR方法分别对不同频率的本征模函数进行多步迭代预测,将所得结果叠加还原,得到完整的预测曲线。频率较低的部分代表了负荷周期性较强的整体变化趋势,频率较高的部分代表了随机性较强的局部特征。
③对于周期性强、平滑的曲线,多元线性回归MLR相比神经网络与 SVR能够更容易得到精确的预值,其效果类似于采用线性函数作为激活函数的神经网络,但其无需繁琐的迭代训练过程与参数调整,因此,对于平滑的低频分量,使用多元线性回归MLR是相比其他方法更适合的选择。所以采用MLR对EEMD分解所得低频分量进行预测建模。
④针对随机性较强的分量,多元线性回归MLR方法可能会产生无法收敛的情况,而 GRU 神经网络具有较强的非线性拟合能力,并且能够挖掘时间序列自身特征,使得预测结果尽可能准确。因此采用 GRU 神经网络方法来预测EEMD分解所得的高频分量。
2、效果分析
将文章所提方法进行复现,并将其与MLR、GRU单独建模和EEMD-GRU、EEMD-MLR组合建模方法进行对比。结果如下:(强调:本人验证所用数据与文章不一致,所以效果不可能一致!)。
图1为原始功率序列,用前70%数据来训练,后30%来测试。测试序列的EEMD分解如图2。
图1

图2
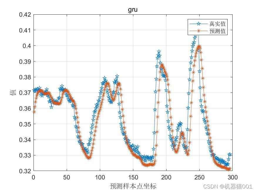
图3为MLR预测结果,图4为GRU预测结果。


图4
图5为EEMD+GRU预测结果:可以看出序列分解所得的低频平滑分量占比多,且MLR对低频分量的预测效果更好。因此最终结果EEMD+MLR也优于EEMD+GRU。


图5
图6为EEMD+MLR预测结果:


图6
图7为EEMD+GRU+MLR预测结果:(注意:高频部分为GRU预测结果,低频部分为MLR预测结果)
高低频划分依据参考的也是上述所提文献:根据所得分量的过零率,将分量划分为高频部分和低频部分,频率较低的部分代表了负荷周期性较强的整体变化趋势,频率较高的部分代表了随机性较强的局部特征。过零率定义为:在离散信号情况下,如果相邻的采样值具有不同的代数符号就称为发生了过零,过零次数与信号长度的比例定义为过零率。高低频判别阈值设置为0.01(过零率>=0.01为高频,反正为低频)。
高频(GRU预测结果):

低频(MLR预测结果):

最终预测结果:

图7
3 总结
第2节验证了各方法的结果。注意,只是针对本人所用数据集,与所提文献数据集不同,所以结论也不会完全一致。
①对比 单一预测方法:MLR方法比GRU更合适,因为低频序列更多。
②对比联合建模方法:EEMD-MLR方法比EEMD-GRU方法更合适,与①对应;
③对比单一和联合方法:EEMD-MLR比MLR效果更好;EEMD-GRU比GRU更好。
④EEMD-MLR-GRU方法比EEMD-GRU方法更合适,但不及EEMD-MLR,是因为本人直接采用和文章一样的高低频划分方法和阈值,其实并不是很准确(应该根据实际情况划分高低频!),看图7就会发现被指定为高频的部分序列其实应该为低频。但由此也可以看出高低频划分结果也会影响最终结果(一个小小的改进点!)。
结论:尽管在本人数据集上验证所得结果并不是EEMD-MLR-GRU最佳,并不与文章结论一致,但是本人对该文章所提方案(不仅仅是方法本身)还是认可的。抛开数据集影响,参数设置不同也会影响模型效果,所以不用纠结最终结果,应该发散思维去探索更合适的方案,探索更多的可能性。
提示:信号多尺度分解部分可以用EMD\VMD\EEMD\CEEMD\WAVELET等各种方法,且均已实现。所提改进点也可以实现!

117

被折叠的 条评论
为什么被折叠?



