目录
欧拉函数
两个不同的正整数a,b,若gcd(a,b)=1,则a和b互质,1与任何正整数都互质
欧拉函数的意义
φ(n) 表示小于或等于正整数n的所有正整数中与n互质的数的个数
如φ(32) =16,即小于32的数中有16个与32互质的数,分别是
1、3、5、7、9、11、13、15、17、19、21、23、25、27、29、31
任何正整数都可以表示成若干个素数的乘积,即写成如下形式

p表示素因子,k表示该素因子个数
欧拉函数的性质
(1)若p 为素数,则有
φ(p)=p-1
(2)若m 和n 互质,则有
φ(mn)=φ(m)φ(n)
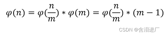
(3)分解公式

(4)若n%m=0 且%m=0,则有

特殊地,令m=a^(b-1) ,n=a^b ,则可以得到

利用该定理可以用来求大指数的欧拉函数值
(5)若和m互质,且m为素数 ,则有

(6)费马定理:若gcd(a,p)=1 ,则有

由分解公式求数a的欧拉函数值
pri = [] # 存储a的所有素因子
e = a
for i in range(2, int(e ** 0.5) + 1): # int会下取整,所以最后加上1防止误差
if e % i == 0:
pri.append(i)
while e % i == 0: # 找到一个因子就用这个数一直除以该因子,消除该因子,保证后面找到的因子都是素因子
e = e // i
if e != 1: # 如果最后除出来结果不是1,说明还剩个素因数
pri.append(e)
for p in pri:# 遍历a的所有素因子
a = a // p * (p-1)
print(a)#最后的a即为欧拉函数值
快速幂算法
求a^n 其中n>0
以3^13为例,13的二进制为1101,因此3的13次方可以分解成以下形式:

将指数进行二进制分解,然后按二进制从右到左的顺序即倒回来遍历,如果二进制为1,则进行乘法运算,需要乘2^(i-1) ,i 表示第几位
由于1的二进制除了最低位是1,其他的全是0,因此可以利用n&1来判断n的二进制的最低位是否为1,如果n&1等于1,说明当前n的最低位是1,需要乘底数,反之n的最低位是0不用进行乘法,然后将n使用>>进行右移一位,产生新的最低位,直到n所有位数都移完,a在每次循环后都要进行平方更换为新底数
def fun(a, n): # 底数,指数
result = 1
while n != 0:
if (n & 1) == 1:
result = result * a
n = n >> 1
a = a ** 2 # 将a重新赋值为a平方
return result
直接使用暴力求幂的话时间复杂度为O(n),而使用快速模幂算法时间复杂度为O(log2n)
快速模幂算法
模运算规则

其中b-1 是b 模p 的逆元,在python可以用内置函数pow求逆元, pow(a,b,p) 表示a^b mod p
所以pow(a,-1,p) 就是a 模p 的逆元
也可以由费马定理求逆元:由费马定理b^(p-1) mod p=1 可得

求b^(p-2) mod p可以使用快速模逆算法,根据模运算的乘法法则,方法跟快速幂算法差不多,只不过多了模数
def fun(a, n, m): # 底数,指数,模数
result = 1
while n != 0:
if (n & 1) == 1:
result = (result * a) % m
n = n >> 1
a = (a ** 2) % m # 将a重新赋值为a平方
return result
2044

被折叠的 条评论
为什么被折叠?



