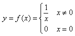
本题目要求计算下列分段函数f(x)的值:

输入格式:
输入在一行中给出实数x。
输出格式:
在一行中按“f(x) = result”的格式输出,其中x与result都保留一位小数。
输入样例1:
10
结尾无空行
输出样例1:
f(10.0) = 0.1
结尾无空行
输入样例2:
0
输出样例2:
f(0.0) = 0.0
#include<stdio.h>
int main()
{
float x,result;
scanf("%f", &x);
if (x != 0)
{
result = 1 / x;
}
if (x == 0)
{
result = 0;
}
printf("f(%.1f) = %.1f", x, result);
return 0;
}
C语言实现分段函数计算
658

被折叠的 条评论
为什么被折叠?



