BP神经网络
- 补充知识-感知机
- 输入多个值,流入神经元,输出一个或多个值

-
- 模型1

-
- 模型2

- BP神经网络
- 是一种按照误差逆向传播算法训练的多层前馈神经网络
- BP神经网络的核心由正向传播和误差的反向传播两部分组成
- 输入层-隐藏层-输出层
- 输入层:有几个数据就有几个神经元
- 隐藏层:


-
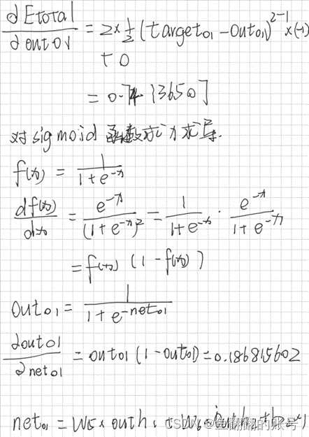
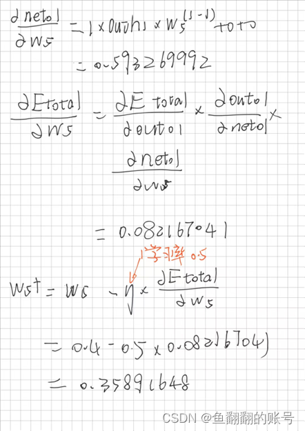
- BP神经网络推导
- 在输入层和隐藏层之外要加一个单独的神经元 常数1,作为偏置
- W是权重
- BP神经网络推导





3386
1万+

被折叠的 条评论
为什么被折叠?