m0_74222411
码龄2年
关注
提问 私信
  • 博客:3,815
    社区:1
    3,816
    总访问量
  • 3
    原创
  • 1,070,504
    排名
  • 1
    粉丝
  • 0
    铁粉
IP属地以运营商信息为准,境内显示到省(区、市),境外显示到国家(地区)
IP 属地:湖北省
  • 加入CSDN时间: 2022-10-12
博客简介:

m0_74222411的博客

查看详细资料
个人成就
  • 获得5次点赞
  • 内容获得2次评论
  • 获得30次收藏
  • 代码片获得129次分享
创作历程
  • 3篇
    2023年
成就勋章
TA的专栏
  • python笔记
创作活动更多

超级创作者激励计划

万元现金补贴,高额收益分成,专属VIP内容创作者流量扶持,等你加入!

去参加
  • 最近
  • 文章
  • 代码仓
  • 资源
  • 问答
  • 帖子
  • 视频
  • 课程
  • 关注/订阅/互动
  • 收藏
搜TA的内容
搜索 取消

数据结构——二叉树线索化

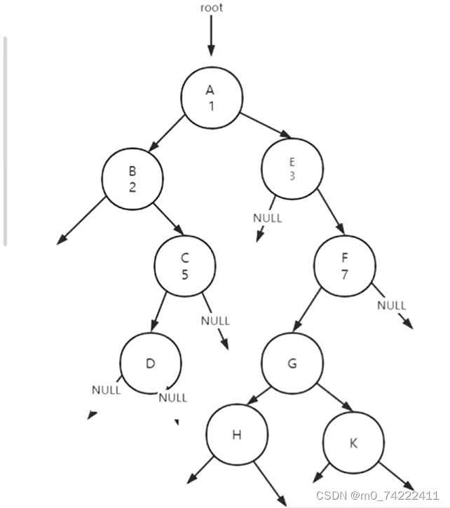
根据某种遍历序列(前、中后序遍历),先确定下来每个节点的前驱和后继。对于每个节点来说,他的左右指针可能没有指向节点(值为NULL),这时候我们可以运用这些“空闲”的指针。比如:左指针如果有空闲,就用这个指针指向这个节点对应遍历序列的前驱,右指针如果有空闲,就用这个指针指向这个节点对应遍历序列的后继。(注意:遍历序列中一头一尾是没有前驱或者后继的,所以如果指针有空闲,我们还是当它指向的是孩子,而不是前驱或者后继)对于每个节点都实现了步骤2后,线索化完成。
原创
发布博客 2023.08.13 ·
2730 阅读 ·
4 点赞 ·
2 评论 ·
25 收藏

数据结构——二叉树的遍历

是因为我们下面的else里面是关于从右边返回之后就要遍历根节点的代码,下面的条件含有flag == node->right,而且我们没有从右边返回的时候未必上一次访问的节点就是node的左孩子节点,因为返回之后可能会向右再一路向左,不知道跑到哪里去了,但是从右边返回之后,上一次访问的节点必然是右孩子节点,这一点读者可以尝试一下两种写法最终调试结果的区别。中序遍历和先序遍历不同,他并不是走到某个节点就会对其访问,“左根右”的顺序决定了,遍历时会”一路向左“,一直去优先遍历左子树,左子树的左子树……
原创
发布博客 2023.08.06 ·
159 阅读 ·
0 点赞 ·
0 评论 ·
1 收藏

数据结构——树的存储

在树中,除了根节点之外,每个节点必然会对应它的唯一一个父亲,借助这个特性,我们可以通过将每个节点与它的父亲建立联系,来在线性结构中将树中各个节点的非线性关系保存下来。
原创
发布博客 2023.07.21 ·
918 阅读 ·
1 点赞 ·
0 评论 ·
5 收藏