本节介绍等距映射 为正交群做准备.
1 等距映射
M是欧几里得空间到自身的映射.如果对任意x,y有:
则称M为等距映射,最简单的等距映射的例子是平移:
2 等距映射的性质
(i) 等距映射的复合仍是等距映射(根据定义,易证)
(ii)对任意等距映射都存在某个平移,使得两者复合后的映射将0映射为0.
(iii)任意一个等距映射都可以拆为一个平移和一个将0映射为0的等距映射的复合
3 将0映射为0的等距映射
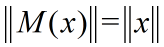
M是欧几里得空间到自身的等距映射,且M将0映射为0:
则:
(i)M是线性映射
(ii)
(iii)M可逆,其逆映射仍是等距映射
(iv)det M =1 或者 det M = -1
证明:
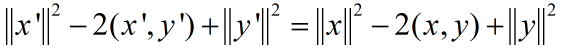
令用x'表示M(x)根据定义:
两端平方然后展开:
因此:
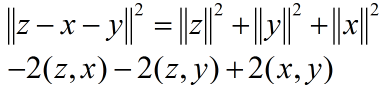
任取z:
类似还有:
因此:
令z=x+y.因此:
这就说明M(x+y) = M(x)+M(y)
性质(i)得证.
根据伴随矩阵性质:
因此:
上式对一切x成立.因此:
性质(ii)得证.
由:
可知,M的零空间只有0向量.因此M是可逆的. 其逆映射显然是等距映射.
性质(iii)得证
根据以前的学习,任意矩阵M有:
再根据行列式的乘法法则:
因此:
1083

被折叠的 条评论
为什么被折叠?



