0. 目录
金融时间序列分析:9. ARMA自回归移动平均模型
金融时间序列分析:8. MA模型实例(Python)
金融时间序列分析:7. MA滑动平均模型
金融时间序列分析:6. AR模型实例
金融时间序列分析:5. AR模型实例(Python)
金融时间序列分析:4. AR自回归模型
金融时间序列分析:3. First Demo By Python
金融时间序列分析:2. 数学分析模型
金融时间序列分析:1. 基础知识
1. ARMA模型
ARMA简单理解就是AR模型和MA模型混合。
更加复杂的情况下:一个ARMA过程可能是AR与MA过程、几个AR过程、AR与ARMA过程的迭加,也可能是测度误差较大的AR过程。
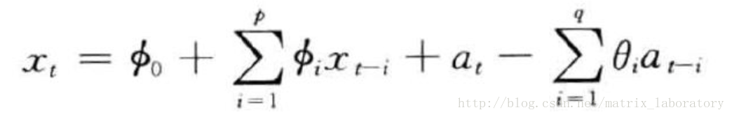
ARMA(p, q)模型公式:
2. ARMA(1,1)
2.1 模型公式
xt=ϕ0+ϕ1xt−1+at−θ1at−1
or
(1−ϕ1B)xt=ϕ0+(1−θ1B)at
2.2 数学特征
ARMA(1,1)模型的统计性质和AR(1)模型类似,只是局部修改以适应MA(1)的影响。
期望
同AR模型
E

本文详细介绍了ARMA模型,包括ARMA(1,1)模型的公式和数学特征,以及ARMA(p,q)模型的定阶方法。内容涵盖ARMA模型的期望、方差、自协方差和自相关函数,并讨论了预测方法。"
114561004,10558964,Java实现的学生信息管理系统源代码解析,"['Java开发', 'GUI编程', '数据库管理', '学生信息系统', '桌面应用']
最低0.47元/天 解锁文章

被折叠的 条评论
为什么被折叠?



