关注公众号,发现CV技术之美
CVPR 2022 论文『MeMViT: Memory-Augmented Multiscale Vision Transformer for Efficient Long-Term Video Recognition』,Facebook&UC Berkeley提出MeMViT,建模时间支持比现有模型长30倍,计算量仅增加4.5%
详细信息如下:

论文链接:https://arxiv.org/abs/2201.08383
01
摘要
虽然今天的视频识别系统准确地解析短片段,但它们还不能在更长的时间范围内进行推理。大多数现有的视频架构只能处理<5秒的视频,而不会遇到计算或内存瓶颈。
在本文中,作者提出了一种新的策略来克服这一挑战。作者提出以在线方式处理视频,并在每次迭代时缓存“记忆”,而不是像大多数现有方法那样一次处理更多帧。通过记忆,模型可以参考先前的上下文进行长期建模,只需边际成本。基于这一思想,作者构建了MeMViT,一种记忆增强的多尺度视觉Transformer,其时间支持比现有模型长30倍,计算量仅增加4.5%;传统方法需要超过3000%的计算量才能完成同样的操作。
在广泛的设置中,MeMViT支持的时间增加带来了一致的识别精度的巨大提高。MeMViT在AVA、EPIC-Kitchens100动作分类和动作预测数据集上获得最先进的结果。
02
Motivation
随着时间的推移,我们的世界不断演变。不同时间点的事件相互影响,共同讲述了视觉世界的故事。计算机视觉有望理解这个故事,但今天的系统仍然相当有限。它们可以在独立快照或短时间片段(例如5秒)内准确解析视觉内容,但不能超过该时间段。那么,如何才能实现准确的长期视觉理解呢?当然,前面还有很多挑战,但拥有一个可以在长视频上运行的模型可以说是重要的第一步。

在本文中,作者提出了一种基于记忆的方法来构建有效的长期模型。中心思想是不共同处理或训练整个长视频,而是在以在线方式处理视频时保持“记忆”。在任何时候,模型都可以访问长期上下文的先前记忆。由于记忆是从过去“重用”的,因此该模型非常高效。为了实现这个想法,作者构建了一个名为MeMViT的具体模型,MeMViT是一个记忆增强的多尺度视觉Transformer。MeMViT处理的输入时间比现有模型长30倍,计算量仅增加4.5%。相比之下,通过增加帧数量建立的长期模型将会需要超过3000%的计算。上图显示了计算/持续时间的权衡比较。

具体地说,MeMViT使用Transformer的“键”和“值”作为记忆。当模型在一个片段上运行时,“查询”涉及一组扩展的“键”和“值”,它们来自当前时间和过去。当在多个层上执行此操作时,每一层都会深入到过去,从而产生显著更长的感受野,如上图所示。
为了进一步提高效率,作者联合训练了一个记忆压缩模块,以减少内存占用。直觉上,这允许模型了解哪些线索对未来的识别很重要,并只保留这些线索。
本文的设计灵感来源于人类如何解析长期视觉信号。人类不会在很长一段时间内同时处理所有信号。相反,人类以在线方式处理信号,将我们所看到的与过去的记忆联系起来以理解过去的记忆,并记忆重要信息以备将来使用。
本文的结果表明,使用记忆增强视频模型并实现远程注意力是简单且非常有益的。在AVA时空动作定位、EPIC-Kitchens-1001动作分类和EPIC-Kitchens-100动作预测数据集上,MeMViT取得了比其他模型更大的性能收益,并取得了最先进的结果。
03
Preliminaries
Vision Transformers (ViT)
视觉Transformer(ViT)首先将图像嵌入到N个不重叠的patch中(使用跨步卷积),并将其embed到张量。然后,一堆Transformer层对这些patch之间的相互作用进行建模。Transformer层的中心组件是注意操作,它首先将输入张量X线性投影为查询Q、键K和值V:

并执行自注意力操作,获得输出张量。

Multiscale Vision Transformers (MViT)
多尺度视觉Transformer(MViT)基于两个简单的想法改进了ViT。首先,MViT在整个网络中没有固定的分辨率N,而是通过多个阶段学习多尺度表示,从较小patch的细粒度建模(大N和小d)开始,到后期较大patch的高级建模(小N和大d)。阶段之间的过渡是通过跨阶段的池化来完成的。其次,MViT使用池化注意力(P),池化Q、K和V的时空维度,以大幅降低注意力层的计算成本,即:

这两个更改显著提高了模型的性能和效率。在本文中,作者基于略微修改的MViT构建了本文的方法,其中作者交换了线性层和池化的顺序:

这允许线性层在较小的张量上操作,减少计算成本,而不影响精度。
04
方法

本文的方法很简单。作者将视频分割成一系列短的T×H×W个片段,并按顺序进行处理(用于训练和推理)。作者在每次迭代时缓存“记忆”,即已处理片段的一些表示。当在时间步t处理当前片段时,模型可以访问早期迭代
用于长期的上下文。上图展示了本文方法的overview。
4.1. Memory Attention and Caching
The Basic MeMViT Attention
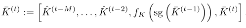
实现此想法的一种简单方法是将transformer结构中的“键”和“值”视为一种记忆形式,并在当前迭代t中扩展和,以包括从和的早期迭代的和:

其中,方括号表示沿标记维度的concat。使用此公式,查询Q不仅涉及当前时间步t的信息,而且还涉及之前多达M步的信息。这里,“停止梯度”操作符(sg)在反向传播中进一步打破了对过去的依赖。记忆是随时间分层构建的(参见上图b),以前的键和值内存保存了以前时间步中存储的信息。
训练和推理的额外成本仅包括用于记忆缓存的GPU内存和扩展注意力层中的额外计算。网络的所有其他部分(MLP等)保持不变。成本随着时间的支持而增长,复杂度为。作者缓存了完整的键和值张量,这些张量可能包含对将来的识别不有用的冗余信息。
4.2. Memory Compression
Naive Memory Compression
有许多潜在的压缩内存的方法,但一种直观的设计尝试联合训练压缩模块(例如,可学习的池化操作符)和,以分别减小K和V张量的时空大小:

对于也是如此。使用这种设计,在推理时只需要缓存和处理“压缩”记忆和,从而减少内存占用和计算成本。然而,在训练时,它需要联合训练所有“完整”的记忆张量,因此这实际上可能会增加记忆的计算和成本,使获得这样的模型变得昂贵。对于长期建模的M更大的模型,成本更高。
Pipelined Memory Compression
为了解决这个问题,作者提出了一种pipelined压缩方法。虽然压缩模块和需要在未压缩的记忆上运行并进行联合优化,以便模型学习需要保留的重要内容,但学习的模块可以在所有过去的记忆中共享。因此,作者提出训练一步只压缩一次记忆,即:

对于也是如此。上图的右侧示出了这种设计。注意这里缓存中只有从上一步的记忆为未压缩的,并用于在当前迭代中训练。从到的
402 Payment Required
在之前的迭代中已经压缩过了。下图展示了这一步的伪代码。
这样,MeMViT只比基础MeMViT增加了“固定”压缩成本,因为它一次只在一个步骤上运行压缩。但是,它大大降低了所有其他步骤的缓存和注意力成本。本文设计的一个吸引人的特性是,视频模型的感受野不仅随着M的增加而增加,而且随着层的数量L的增加而增加,因为每一层都会进一步深入到过去,因此,时间感受野会随着深度的增加而分层增加。
4.3. Implementation Details
Data Loading
在训练和推理过程中,对连续的帧块(片段)进行顺序读取,以在线方式处理视频。在本文的实现中,只需concat所有视频并按顺序读取它们。在缓存记忆来自前一个视频的情况下(即,在视频边界处),作者将记忆mask为零。
Compression Module Design
压缩模块可以是减少token数量但保持维度d的任何函数。在本文的实例化中,作者选择了一个可学习的池化,因为它简单且性能强,但也有其他选择。
Positional Embedding
在原始MViT中,绝对位置嵌入被添加到网络的输入中,每个片段使用相同的位置嵌入。因此,位置嵌入只能指示片段内的位置,而不能指示多个片段之间的顺序。因此,作者采用了“改进的MViT”中使用的相对位置嵌入,因此不同时间点的记忆与查询具有不同的相对距离。
05
实验

上表比较了具有不同每层记忆长度(M)的模型。作者发现,与baseline短期模型相比,所有增加记忆的模型都有明显的改善(mAP中的绝对增益为1.7-2.3%)。有趣的是,这种行为对记忆长度的选择不是很敏感。使用每层记忆长度为2,对应于16×更大(36秒)的感受野,可以获得AVA的最佳性能。在下面的A V A实验中,作者使用M=2作为默认值。

上表比较了具有不同下采样因子的压缩模块。作者发现,在实现强大性能的同时,时间下采样(4×)比空间下采样(2×)程度更大。有趣的是,与没有压缩的模型相比,本文的压缩方法实际上提高了精度。这支持了本文的假设,即学习记忆中的“要保留什么”可能会抑制不相关的噪音并有助于学习。由于其强大的性能,作者默认使用4×2×2的降采样因子(分别用于时间、高度和宽度)。

在上表中,作者探讨了是否需要在所有注意力层增加记忆,如果不需要,在哪一层增加记忆最有效。有趣的是,作者发现在所有的层上处理记忆是不必要的。此外,在整个网络中均匀地放置它们比将它们集中在早期(阶段1和2)层、中期(阶段3)层或晚期(阶段4)层效果稍好。

最后,作者比较了Pipelined 压缩策略与没Pipelined 的基本版本的缩放行为。可以看到,即使使用相对轻量级的基于池化的压缩模块,Pipelined 策略在GPU内存使用(上图a)和运行时间(上图b)方面已经显示出明显更好的缩放行为。因此,作者在MeMViT中默认使用它。

上表显示,尽管预训练数据集和模型大小设置不同,MeMViT提供了比原始短期模型(MViT)一致的性能增益,这表明本文的方法具有良好的通用性。

上表给出了EPIC-Kitchens-100动作分类和EPIC-Kitchens-100行动预测的结果。这里使用的模型与AVA使用的默认模型“MeMViT-16,16×4”相同,只是对于EPIC Kitchens,作者发现使用M=4(32×长期,或70.4秒感受野)的长期模型效果最好。

上表比较了MeMViT与AVA v2.2数据集上之前工作的性。可以发现,在所有预训练设置下,MeMViT获得了比之前工作更高的准确性,同时具有可比甚至更少的FLOPs和参数量。

上表展示了EPIC-Kitchens-100动作分类任务的结果,可以看出,MeMViT再次优于所有之前的工作,包括基于CNN的方法和基于ViT的方法。

上表展示了EPIC-Kitchens-100动作预测任务的结果,可以看出,MeMViT优于所有先前的工作,包括使用多种模态的工作,如光流、单独训练的对象特征提取器和大规模预训练。
06
总结
长期视频理解是计算机视觉的一个重要目标。要做到这一点,拥有一个用于长期视觉建模的实用模型是一个基本前提。在本文中,作者表明,扩展现有最先进的模型以包含更多的输入帧并不能很好地扩展。本文提出的基于记忆的方法MeMViT可更高效地扩展,并获得更好的准确性。本文提出的技术是通用的,适用于其他基于Transformer的视频模型。
参考资料
[1]https://arxiv.org/abs/2201.08383

END
加入「Transformer」交流群👇备注:TFM

523

被折叠的 条评论
为什么被折叠?



