目录
POJ 1995 Raising Modulo Numbers
力扣 剑指 Offer 14- I/14- II. 剪绳子 343. 整数拆分
CSU 1413 Area of a Fractal(分形图形面积)
CSU 1769 想打架吗?算我一个!所有人,都过来!(3)
CSU 1895 Apache is late again(根号2加1的n次方)
〇,模板
参考 快速幂
一,快速乘法
CSU 1162 Balls in the Boxes
Description
Mr. Mindless has many balls and many boxes,he wants to put all the balls into some of the boxes.Now, he wants to know how many different solutions he can have.
you know,he could put all the balls in one box,and there could be no balls in some of the boxes.Now,he tells you the number of balls and the numbers of boxes, can you to tell him the number of different solutions? Because the number is so large, you can just tell him the solutions mod by a given number C.
Both of boxes and balls are all different.
Input
There are multiple testcases. In each test case, there is one line cantains three integers:the number of boxes ,the number of balls,and the given number C separated by a single space.All the numbers in the input are bigger than 0 and less than 2^63.
Output
For each testcase,output an integer,denotes the number you will tell Mr. Mindless
Sample Input
3 2 4
4 3 5
Sample Output
1
4
代码:
#include<iostream>
using namespace std;
#define ll long long
ll g(ll a, ll b, ll p)//a*b
{
if (b == 0)return 0;
ll r = g(a, b / 2, p);
r = (r + r) % p;
if (b % 2)r = (r + a) % p;
return r;
}
ll f(ll a, ll b, ll p)//a^b
{
if (b == 0)return 1;
ll r = f(a, b / 2, p);
r = g(r, r, p);
if (b % 2)r = g(r, a, p);
return r;
}
int main()
{
ll a, b, p;
while (cin >> a >> b >> p)cout << f(a, b, p) << endl;
return 0;
}
HDU 5187 zhx's contest
As one of the most powerful brushes, zhx is required to give his juniors nn problems.
zhx thinks the ithith problem's difficulty is ii. He wants to arrange these problems in a beautiful way.
zhx defines a sequence {ai}{ai} beautiful if there is an ii that matches two rules below:
1: a1..aia1..ai are monotone decreasing or monotone increasing.
2: ai..anai..an are monotone decreasing or monotone increasing.
He wants you to tell him that how many permutations of problems are there if the sequence of the problems' difficulty is beautiful.
zhx knows that the answer may be very huge, and you only need to tell him the answer module pp.
Input
Multiply test cases(less than 10001000). Seek EOFEOF as the end of the file.
For each case, there are two integers nn and pp separated by a space in a line. (1≤n,p≤10181≤n,p≤1018)
Output
For each test case, output a single line indicating the answer.
Sample Input
2 233
3 5
Sample Output
2
1
Hint
In the first case, both sequence {1, 2} and {2, 1} are legal.
In the second case, sequence {1, 2, 3}, {1, 3, 2}, {2, 1, 3}, {2, 3, 1}, {3, 1, 2}, {3, 2, 1} are legal, so the answer is 6 mod 5 = 1
经过数学求解之后,这题其实就是:
输入n,p,输出(2^n-2)%p
这就需要快速乘法和快速幂了。
代码:
#include <iostream>
using namespace std;
long long n, p;
template<typename A,typename N> A aijiMulti(A a, N n, A(*pfunc)(A,A));
template<typename A>
A opAdd(A x, A y)
{
return (x+y)%p;
}
template<typename A>
A opMulti(A x, A y)
{
return aijiMulti(x,y,opAdd);
}
template<typename A,typename N>
A aijiMulti(A a, N n, A(*pfunc)(A,A))
{
if(n<=1)return a;
A ans = aijiMulti(a, n/2, pfunc);
ans = pfunc(ans,ans);
if(n%2)ans = pfunc(ans,a);
return ans;
}
int main()
{
while(cin>>n>>p){
long long ans = aijiMulti((long long)2,n,opMulti<long long>);
cout<<((ans-2)%p+p)%p<<endl;
}
return 0;
}
二,快速幂
POJ 1995 Raising Modulo Numbers
题目:
Description
People are different. Some secretly read magazines full of interesting girls' pictures, others create an A-bomb in their cellar, others like using Windows, and some like difficult mathematical games. Latest marketing research shows, that this market segment was so far underestimated and that there is lack of such games. This kind of game was thus included into the KOKODáKH. The rules follow:
Each player chooses two numbers Ai and Bi and writes them on a slip of paper. Others cannot see the numbers. In a given moment all players show their numbers to the others. The goal is to determine the sum of all expressions Ai Bi from all players including oneself and determine the remainder after division by a given number M. The winner is the one who first determines the correct result. According to the players' experience it is possible to increase the difficulty by choosing higher numbers.
You should write a program that calculates the result and is able to find out who won the game.
Input
The input consists of Z assignments. The number of them is given by the single positive integer Z appearing on the first line of input. Then the assignements follow. Each assignement begins with line containing an integer M (1 <= M <= 45000). The sum will be divided by this number. Next line contains number of players H (1 <= H <= 45000). Next exactly H lines follow. On each line, there are exactly two numbers Ai and Bi separated by space. Both numbers cannot be equal zero at the same time.
Output
For each assingnement there is the only one line of output. On this line, there is a number, the result of expression
(A1B1+A2B2+ ... +AHBH)mod M.
Sample Input
3
16
4
2 3
3 4
4 5
5 6
36123
1
2374859 3029382
17
1
3 18132
Sample Output
2
13195
13
就是快速幂的问题,我是用递归来求幂的。
在函数int mi(int m,int a,int b)里面就要注意,因为a也可以很大,所以要做大量的模运算,因为只要有一次超了int范围,就全错了。
sum求和也是,每一步都要取模。
为了解决2个特别大的整数的乘法的问题,我还用了long long,最后取模之后又转化成int
代码:
#include<iostream>
using namespace std;
int mi(int m, int a, int b) //求a^b % m
{
if (b == 0)return 1;
int t = mi(m, a, b / 2);
long long tt = t*t%m;
if (b % 2)
{
long long att = a*tt%m;
return int(att);
}
return int(tt);
}
int main()
{
int z;
cin >> z;
int m,h;
while (z--)
{
cin >> m >> h;
int a, b;
int sum = 0;
while (h--)
{
cin >> a >> b;
sum = (sum + mi(m, a%m, b)) % m;
}
cout << sum << endl;
}
return 0;
}
力扣 50. Pow(x, n)
实现 pow(x, n) ,即计算 x 的 n 次幂函数(即,xn)。
示例 1:
输入:x = 2.00000, n = 10
输出:1024.00000
示例 2:
输入:x = 2.10000, n = 3
输出:9.26100
示例 3:
输入:x = 2.00000, n = -2
输出:0.25000
解释:2-2 = 1/22 = 1/4 = 0.25
提示:
-100.0 < x < 100.0
-231 <= n <= 231-1
-104 <= xn <= 104
解法一:
class Solution {
public:
double myPow(double x, int n) {
return pow(x,n);
}
};
解法二:
template<typename A>
A opAdd(A x, A y)
{
return x+y;
}
template<typename A>
A opMulti(A x, A y)
{
return x*y;
}
template<typename A>
vector<vector<A>> opMatrixMulti(vector<vector<A>> x, vector<vector<A>> y)
{
vector<vector<A>> ans=x;
for(int i=0;i<ans.size();i++){
for(int j=0;j<ans.size();j++){
ans[i][j]=0;
for(int k=0;k<ans.size();k++)ans[i][j]+=x[i][k]*y[k][j];
}
}
return ans;
}
template<typename A,typename N>
A aijiMulti(A a, N n, A(*pfunc)(A,A))
{
if(n<=1)return a;
A ans = aijiMulti(a, n/2, pfunc);
ans = pfunc(ans,ans);
if(n%2)ans = pfunc(ans,a);
return ans;
}
class Solution {
public:
double myPow(double x, int n) {
long long m=n;
if(m==0)return 1;
return m>=0 ? aijiMulti(x,m,opMulti<double>) : 1/aijiMulti(x,-m,opMulti<double>);
}
};
力扣 剑指 Offer 14- I/14- II. 剪绳子 343. 整数拆分
给定一个正整数 n,将其拆分为至少两个正整数的和,并使这些整数的乘积最大化。 返回你可以获得的最大乘积。
示例 1:
输入: 2
输出: 1
解释: 2 = 1 + 1, 1 × 1 = 1。
示例 2:
输入: 10
输出: 36
解释: 10 = 3 + 3 + 4, 3 × 3 × 4 = 36。
说明: 你可以假设 n 不小于 2 且不大于 58。
class Solution {
public:
int integerBreak(int n) {
if(n<4)return n-1;
int ans=1;
if(n%3==1)n-=4,ans=4;
if(n%3==2)n-=2,ans=2;
return n>=3?ans*MultiMulti(3,n/3):ans;
}
};
力扣 372. 超级次方
你的任务是计算 a^b 对 1337 取模,a 是一个正整数,b 是一个非常大的正整数且会以数组形式给出。
示例 1:
输入:a = 2, b = [3]
输出:8
示例 2:
输入:a = 2, b = [1,0]
输出:1024
示例 3:
输入:a = 1, b = [4,3,3,8,5,2]
输出:1
示例 4:
输入:a = 2147483647, b = [2,0,0]
输出:1198
提示:
1 <= a <= 231 - 1
1 <= b.length <= 2000
0 <= b[i] <= 9
b 不含前导 0
思路一:
不断计算十次方
class Solution {
public:
int superPow(int a, vector<int>& b) {
int ans=1,p=1337;
a%=p;
for(int i=0;i<b.size();i++){
ans=MultiMulti(ans,10,p);
ans=ans*(b[i]?MultiMulti(a,b[i],p):1)%p;
}
return ans;
}
};
思路二:
费马小定理
int p = 1337;
template<typename A>
A opMulti7(A x, A y)
{
return x*y%7;
}
template<typename A>
A opMulti191(A x, A y)
{
return x*y%191;
}
template<typename A,typename N>
A aijiMulti(A a, N n, A(*pfunc)(A,A))
{
if(n==0)return 1;
if(n<=1)return a;
A ans = aijiMulti(a, n/2, pfunc);
ans = pfunc(ans,ans);
if(n%2)ans = pfunc(ans,a);
return ans;
}
class Solution {
public:
int superPow(int a, vector<int>& b) {
int x6=0,x190=0;
a%=p;
for(int i=0;i<b.size();i++){
x6=(x6*10+b[i])%6,x190=(x190*10+b[i])%190;
}
int m7=aijiMulti(a,x6,opMulti7),m191=aijiMulti(a,x190,opMulti191);
if(a%7==0)m7=0;
if(a%191==0)m191=0;
return (m7*764+m191*574)%p;
}
};
剑指 Offer 16. 数值的整数次方
力扣 1922. 统计好数字的数目
我们称一个数字字符串是 好数字 当它满足(下标从 0 开始)偶数 下标处的数字为 偶数 且 奇数 下标处的数字为 质数 (2,3,5 或 7)。
比方说,"2582" 是好数字,因为偶数下标处的数字(2 和 8)是偶数且奇数下标处的数字(5 和 2)为质数。但 "3245" 不是 好数字,因为 3 在偶数下标处但不是偶数。
给你一个整数 n ,请你返回长度为 n 且为好数字的数字字符串 总数 。由于答案可能会很大,请你将它对 109 + 7 取余后返回 。
一个 数字字符串 是每一位都由 0 到 9 组成的字符串,且可能包含前导 0 。
示例 1:
输入:n = 1
输出:5
解释:长度为 1 的好数字包括 "0","2","4","6","8" 。
示例 2:
输入:n = 4
输出:400
示例 3:
输入:n = 50
输出:564908303
提示:
1 <= n <= 10^15
template<typename A>
A opMulti(A x, A y)
{
return x*y%1000000007;
}
template<typename A,typename N>
A aijiMulti(A a, N n, A(*pfunc)(A,A))
{
if(n<=0)return 1;
if(n<=1)return a;
A ans = aijiMulti(a, n/2, pfunc);
ans = pfunc(ans,ans);
if(n%2)ans = pfunc(ans,a);
return ans;
}
class Solution {
public:
int countGoodNumbers(long long n) {
return aijiMulti((long long)(5),(n+1)/2,opMulti<long long>) * aijiMulti((long long)(4),n/2,opMulti<long long>)%1000000007;
}
};
力扣 1969. 数组元素的最小非零乘积
给你一个正整数 p 。你有一个下标从 1 开始的数组 nums ,这个数组包含范围 [1, 2p - 1] 内所有整数的二进制形式(两端都 包含)。你可以进行以下操作 任意 次:
- 从
nums中选择两个元素x和y。 - 选择
x中的一位与y对应位置的位交换。对应位置指的是两个整数 相同位置 的二进制位。
比方说,如果 x = 1101 且 y = 0011 ,交换右边数起第 2 位后,我们得到 x = 1111 和 y = 0001 。
请你算出进行以上操作 任意次 以后,nums 能得到的 最小非零 乘积。将乘积对 109 + 7 取余 后返回。
注意:答案应为取余 之前 的最小值。
示例 1:
输入:p = 1 输出:1 解释:nums = [1] 。 只有一个元素,所以乘积为该元素。
示例 2:
输入:p = 2 输出:6 解释:nums = [01, 10, 11] 。 所有交换要么使乘积变为 0 ,要么乘积与初始乘积相同。 所以,数组乘积 1 * 2 * 3 = 6 已经是最小值。
示例 3:
输入:p = 3
输出:1512
解释:nums = [001, 010, 011, 100, 101, 110, 111]
- 第一次操作中,我们交换第二个和第五个元素最左边的数位。
- 结果数组为 [001, 110, 011, 100, 001, 110, 111] 。
- 第二次操作中,我们交换第三个和第四个元素中间的数位。
- 结果数组为 [001, 110, 001, 110, 001, 110, 111] 。
数组乘积 1 * 6 * 1 * 6 * 1 * 6 * 7 = 1512 是最小乘积。
提示:
1 <= p <= 60
class Solution {
public:
int minNonZeroProduct(int p) {
if (p == 1)return 1;
const int p17 = 1000000007;
long long mi = 1;
mi <<= p;
return (mi - 1) % p17 * MultiMulti((mi - 2) % p17, mi / 2 - 1, p17) % p17;
}
};
力扣 2580. 统计将重叠区间合并成组的方案数
给你一个二维整数数组 ranges ,其中 ranges[i] = [starti, endi] 表示 starti 到 endi 之间(包括二者)的所有整数都包含在第 i 个区间中。
你需要将 ranges 分成 两个 组(可以为空),满足:
- 每个区间只属于一个组。
- 两个有 交集 的区间必须在 同一个 组内。
如果两个区间有至少 一个 公共整数,那么这两个区间是 有交集 的。
- 比方说,区间
[1, 3]和[2, 5]有交集,因为2和3在两个区间中都被包含。
请你返回将 ranges 划分成两个组的 总方案数 。由于答案可能很大,将它对 109 + 7 取余 后返回。
示例 1:
输入:ranges = [[6,10],[5,15]] 输出:2 解释: 两个区间有交集,所以它们必须在同一个组内。 所以有两种方案: - 将两个区间都放在第 1 个组中。 - 将两个区间都放在第 2 个组中。
示例 2:
输入:ranges = [[1,3],[10,20],[2,5],[4,8]] 输出:4 解释: 区间 [1,3] 和 [2,5] 有交集,所以它们必须在同一个组中。 同理,区间 [2,5] 和 [4,8] 也有交集,所以它们也必须在同一个组中。 所以总共有 4 种分组方案: - 所有区间都在第 1 组。 - 所有区间都在第 2 组。 - 区间 [1,3] ,[2,5] 和 [4,8] 在第 1 个组中,[10,20] 在第 2 个组中。 - 区间 [1,3] ,[2,5] 和 [4,8] 在第 2 个组中,[10,20] 在第 1 个组中。
提示:
1 <= ranges.length <= 105ranges[i].length == 20 <= starti <= endi <= 109
bool cmp(const vector<int>&v1, const vector<int>&v2)
{
return v1[0] < v2[0];
}
class Solution {
public:
int countWays(vector<vector<int>>& ranges) {
sort(ranges.begin(), ranges.end(), cmp);
CloseInterval<1> opt;
for (auto v : ranges)opt.push(CloseIval<1>(v[0], v[1]));
int s = opt.allCi.size();
return MultiMulti(2, s, 1000000007);
}
};
CSU 1198 Staginner the Caster
题目:
Description
Staginner , a wise coder , became a legendary soul after centuries later somehow . So one day he was summoned by a sorcerer , Gestapolur . The sorcerer said : I'm facing a hard problem and it's so obscure that even make me wanna going to die . So I summoned you for help.
The problem was described as following:
There are N(1<=N<=231-1) magic grails , each grail could have none or several magic properties . And there are K(1<=K<=N) magic properties .We supposed that all grails have property i are belong to set S_i . And because some mysterious reason , S1 ∩ S2 ∩ ... ∩ Sk must be empty. So how many grail-arrange scheme could satisfy these condition ?
The input contains multiple cases, each case have 2 integers in one line represent n and k(1 <= k <= n <= 231-1), proceed to the end of the file.
Output the total number mod 1000000007.
1 1
2 2
1
9
代码:
#include<iostream>
using namespace std;
#define ll long long
int p = 1000000007;
ll f(ll a, ll b)//a^b
{
if (b == 0)return 1;
ll r = f(a, b / 2);
r = r * r%p;
if (b % 2)r = r * a%p;
return r;
}
int main()
{
ll a, b;
while (cin >> a >> b)cout << f(f(2, b) - 1, a) << endl;
return 0;
}
CSU 1413 Area of a Fractal(分形图形面积)
题目:
S tarting from the s tring F+F+F+F, replace every F by F+F-F-FF+FF simultaneously per iteration, then the string will be changed as shown below :
n = 0 : F+F+F+F
n = 1 : F+F-F-FF+FF+F+F-F-FF+FF+F+F-F-FF+FF+F+F-F-FF+FF
n = 2 : F+F-F-FF+FF+F+F-F-FF+FF-F+F-F-FF+FF-F+F-F-FF+FFF+F-F-FF+FF+F+F-F-FF+FFF+F-F-FF+FF+F+F-F-FF+FF+F+F-F-FF+FF-F+F-F-FF+FF-F+F-F-FF+FFF+F-F-FF+FF+F+F-F-FF+FFF+F-F-FF+FF+F+F-F-FF+FF+F+F-F-FF+FF-F+F-F-FF+FF-F+F-F-FF+FFF+F-F-FF+FF+F+F-F-FF+FFF+F-F-FF+FF+F+F-F-FF+FF+F+F-F-FF+FF-F+F-F-FF+FF-F+F-F-FF+FFF+F-F-FF+FF+F+F-F-FF+FFF+F-F-FF+FF
...
Here n means the number of iterations.
Indeed, each symbol has its specific meaning: F means “draw forward 1 unit”, + means “turn left 90 degrees”, and - means “turn right 90 degrees”. So every string produced can be drawn as a shape ( Starting from the origin in the positive direction of x-axis ).
For example, the corresponding shapes when n equals 0 and 1 are as shown in the figure below.
Given the number of iterations n , calculate the area of the corresponding shape.
Input
The first line contains the number of test cases T (1 ≤ T ≤ 200).
For each test case, there is only one line with an integer n (0 ≤ n ≤ 10 9 ), giving the number of iterations.
Output
For each test case, output an integer in one line, giving the area of the corresponding shape. Because the answer may be very large, you should just output the remainder when it divided by 1000000007.
Sample Input
3
0
1
2
Sample Output
1
13
193
Hint
Explanation of sample 3: The corresponding shape when n equals 2 is as shown in the figure below.
思路:
下列图片来自https://www.cnblogs.com/Empress/p/4152143.html

递推式:

公式:

5的逆元可以直接口算出来是400000003
代码:
#include<iostream>
#include<stdio.h>
using namespace std;
int p = 1000000007;
long long f7(int n)
{
if (n == 0)return 1;
long long r = f7(n / 2);
r = (r*r) % p;
if (n % 2)r *= 7;
return r%p;
}
long long f17(int n)
{
if (n == 0)return 1;
long long r = f17(n / 2);
r = (r*r) % p;
if (n % 2)r *= 17;
return r%p;
}
int main()
{
int t, n;
scanf("%d", &t);
while (t--)
{
scanf("%d", &n);
long long r = f7(n) * 2 + f17(n) * 3;
r = r * 400000003 % p;
printf("%lld\n", r);
}
return 0;
}
力扣 2961. 双模幂运算
给你一个下标从 0 开始的二维数组 variables ,其中 variables[i] = [ai, bi, ci, mi],以及一个整数 target 。
如果满足以下公式,则下标 i 是 好下标:
0 <= i < variables.length((aibi % 10)ci) % mi == target
返回一个由 好下标 组成的数组,顺序不限 。
示例 1:
输入:variables = [[2,3,3,10],[3,3,3,1],[6,1,1,4]], target = 2
输出:[0,2]
解释:对于 variables 数组中的每个下标 i :
1) 对于下标 0 ,variables[0] = [2,3,3,10] ,(23 % 10)3 % 10 = 2 。
2) 对于下标 1 ,variables[1] = [3,3,3,1] ,(33 % 10)3 % 1 = 0 。
3) 对于下标 2 ,variables[2] = [6,1,1,4] ,(61 % 10)1 % 4 = 2 。
因此,返回 [0,2] 作为答案。
示例 2:
输入:variables = [[39,3,1000,1000]], target = 17
输出:[]
解释:对于 variables 数组中的每个下标 i :
1) 对于下标 0 ,variables[0] = [39,3,1000,1000] ,(393 % 10)1000 % 1000 = 1 。
因此,返回 [] 作为答案。
提示:
1 <= variables.length <= 100variables[i] == [ai, bi, ci, mi]1 <= ai, bi, ci, mi <= 1030 <= target <= 103
int mod10(int a, int b)
{
a %= 10;
b = (b - 1) % 4 + 1;
int ans = 1;
while (b--)ans = ans * a % 10;
return ans;
}
class Solution {
public:
vector<int> getGoodIndices(vector<vector<int>>& variables, int target) {
vector<int>ans;
for (int i = 0; i < variables.size(); i++) {
int ab = mod10(variables[i][0], variables[i][1])%variables[i][3];
if (MultiMulti(ab, variables[i][2], variables[i][3]) == target)ans.push_back(i);
}
return ans;
}
};
三,矩阵快速幂
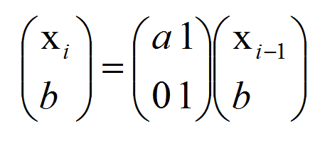
CSU 1752 童话故事生成器
题目:
Description
机器人宝宝又要听机器人妈妈讲故事了。由于机器人宝宝的记忆力超常,所以机器人妈妈每天讲的故事都要接在上一个故事后面。假设机器人妈妈讲的第一个故事是X1,那么第二个是X2,第i个是Xi= (a * Xi-1 + b) % c + 1。现在你希望知道第n天机器人妈妈讲的故事是什么。
Input
第一行输入一个整数 T (1 <= T <= 100) 表示有T组数据;
接下来每一行输入5个整数X1(1<=X1<=1000000) , a(1<=a<=1000000) , b(1<=b<=1000000) , c(1<=c<=1000000) , n(2<=n<=1e18);
Output
求第n天机器人妈妈讲的故事是什么;
Sample Input
2
1 1 1 1000 2
394706 314559 674595 559832 4431920000000001
Sample Output
3
554658
分析:
首先我们注意到,Xi= (a * Xi-1 + b) % c + 1这个式子的取值范围是1到c
也给我们带来了很大的方便,只需要求出与Xn mod c同余的任何一个数,即可得到Xn
所以上式可以这么写:Xi≡a * Xi-1 + b+1 (mod c)
所以,Xi≡X1*a^(n-1)+(b+1)*(a^(n-2)+......+a^2+a+1) (mod c)
所以,Xn=(X1*mi_a_c(n - 1)+(b+1)*sum(n-2)-1)%c+1
感觉一点破绽都没有,可是就是WA。
WA的代码:
#include<iostream>
using namespace std;
long long t, x, a, b, c;
long long mi_a_c(long long n)
{
if (n == 0)return 1;
long long s = mi_a_c(n / 2);
s = s*s;
if (n % 2)s *= a;
return s%c;
}
long long sum(long long n)
{
if (n == 0)return 1;
long long s = sum(n / 2);
s += (s + n % 2 - 1)*mi_a_c((n + 1) / 2);
return s%c;
}
int main()
{
long long n;
cin >> t;
while (t--)
{
cin >> x >> a >> b >> c >> n;
x *= mi_a_c(n - 1);
x += (b + 1)*sum(n - 2);
cout << (x - 1) % c + 1 << endl;
}
return 0;
}
没办法,只好单独对2个函数进行测试,还真发现了问题所在。
原来,sum函数中的s += (s + n % 2 - 1)*mi_a_c((n + 1) / 2);这一句有问题
s + n % 2 - 1可能会得到-1,所以把s + n % 2 - 1改成s + n % 2 - 1+c就AC 了。
然后我又用矩阵快速幂做了一遍,也AC了。
代码:
#include<iostream>
using namespace std;
long long t, x, a, b, c;
long long a11, a12, a21, a22;
void mi(long long n)
{
if (n == 0)
{
a11 = a22 = 1;
a12 = a21 = 0;
return;
}
mi(n / 2);
long long b11 = (a11*a11 + a12*a21) % c, b12 = (a11*a12 + a12*a22) % c;
long long b21 = (a11*a21 + a21*a22) % c, b22 = (a21*a12 + a22*a22) % c;
a11 = b11, a12 = b12, a21 = b21, a22 = b22;
if (n % 2)
{
a12 += a11, a22 += a21;
a11 *= a, a21 *= a;
a11 %= c, a12 %= c, a21 %= c, a22 %= c;
}
}
int main()
{
long long n;
cin >> t;
while (t--)
{
cin >> x >> a >> b >> c >> n;
mi(n-1);
cout << (x*a11 + (b+1)*a12 - 1) % c + 1 << endl;
}
return 0;
}
2个代码的效率是不一样的。
后面的矩阵快速幂比较快,是log n
前面的快速幂是log n + log (n/2) +log (n/4) +......=(log n)^2 / 2
不过常数不一样,矩阵是2*2的,所以后面的是4* log n,前面的是(log n)^2 / 2
CSU 1769 想打架吗?算我一个!所有人,都过来!(3)
题目:
Description
现在《炉石传说》这款卡牌游戏已经风靡全球。2015年加入环境的“黑石山的火焰”扩展带来了一个新套牌的核心卡片“恐怖的奴隶主”,而这套统治游戏的套牌叫做“奴隶战”。“恐怖的奴隶主”的登场音效“想打架吗?算我一个!”一定在所有这个时代的《炉石传说》玩家心里留下来难以磨灭的印象。
“恐怖的奴隶主”是一个有3点生命值的生物,当其在场上受到非致命伤害时(如3点生命值的奴隶主受到1点或2点伤害时,或者2点生命值的奴隶主受到1点伤害时)会召唤一个新的3点生命值的“恐怖的奴隶主”,受到致命伤害(伤害大于等于现有生命值)时则会直接死去。另外一类卡片可以使全部生物造成1点伤害(降低1点生命),被称为“旋风斩效果”。因此“恐怖的奴隶主”,在场上经过多次“旋风斩效果”就可能由一个变成很多个,同时发出那个令人恐惧的声音“所有人,都过来!”。
另一方面,《炉石传说》规定,场上最多存在7个生物,这极大地限制了“恐怖的奴隶主”“越生越多”。当一次“旋风斩效果”发生时,优先处理受到非致命伤害的“恐怖的奴隶主”,召唤新的“恐怖的奴隶主”,直到生物数量达到7个不再继续召唤新的“恐怖的奴隶主”,然后清除掉生命值降为0或0以下的“恐怖奴隶主”。如场上有7个生命值为1的“恐怖的奴隶主”,则一次“旋风斩效果”后场上有0个“恐怖的奴隶主”。又如,场上有6个生命值为3的“恐怖的奴隶主”,则一次“旋风斩效果”后场上有6个2点生命的“恐怖的奴隶主”以及1个3点生命的“恐怖的奴隶主”。又如,场上有4个1点生命的“恐怖的奴隶主”以及2个2点生命的“恐怖的奴隶主”,则一次“旋风斩效果”后场上有2个1点生命的“恐怖的奴隶主”以及1个3点生命的“恐怖的奴隶主”。
在本系列题目2中我们已经知道了如何计算多个“恐怖的奴隶主”在经历n次旋风斩效果后会剩下多少。现在游戏出现了bug,场上奴隶主的个数不再受到7个的上限限制了。场上剩下了一些1点生命,一些2点生命,一些3点生命的奴隶主,现在问这些奴隶主经过n次旋风斩效果,场面会变成什么样子。
Input
有多组数据。
每组数据一行,hp1,hp2,hp3,n(0<=hp1,hp2,hp3<=10^9,0<=n<=10^6)
分别代表1点生命,2点生命,3点生命的奴隶主个数,以及之后旋风斩次数。
Output
每组用一行输出最终总的奴隶主个数(结果对1000000007取模),格式见样例。
Sample Input
1 1 1 3
3 3 3 2
Sample Output
10
18
看到这个题目,第一感觉自然是斐波那契数列。
如果斐波那契的第n项和第n+1项是c和d,那么答案就是
t1 = c*h2 % 1000000007;
t2 = d*h3 % 1000000007;
printf("%d\n", (t1 + t2) * 2 % 1000000007);
关键就是求c和d
如果n的非常非常大,那么斐波那契数列肯定会出现2个相邻的数x,y,x和y都大于1,但是与1模1000000007同余
如果这个x和y出现的比较早,比如前1000的位置,那么n可以等价成1000内的某个数。
可惜,事实上我真的去算过x和y的位置,是在第1000000007*2和第1000000007*2+1项的位置。
这让我想起来好像以前做过这个题目,就是求斐波那契数列的某一项除以1000000007的余数,可惜不记得在哪做的了。
之所以想起来这个是因为我想起来1000000007是1个质数(确实是的)。
这应该是斐波那契数列的性质吧,我就不深究了。(好懒的作者)
如果n是比1000000007大好多的数,第一步就是利用这个循环的规律把n变小。
这个题目n要小很多,这个步骤就省略了。
然后到底怎么求c和d呢?
要用到矩阵快速幂,也就是用二分递归的方法,求出一个矩阵的高次幂。
这个题目很多地方都要注意越界的问题,有趣的是,1000000007刚好接近int值的最大值的一半
代码:
#include<iostream>
using namespace std;
long long a, b, c, d;
long long x1, x2, x3, x4;
void f(int n)
{
if (n == 0)
{
a = 1;
b = 0;
c = 0;
d = 1;
return;
}
f(n / 2);
x1 = a*a + b*c;
x2 = (a + d)*b;
x3 = (a + d)*c;
x4 = b*c + d*d;
a = x1 % 1000000007;
b = x2 % 1000000007;
c = x3 % 1000000007;
d = x4 % 1000000007;
if (n % 2)
{
c += a;
a = c - a;
d += b;
b = d - b;
}
}
int main()
{
int h1, h2, h3, n;
long long t1, t2;
while (scanf("%d %d %d %d", &h1, &h2, &h3, &n) != EOF)
{
f(n);
t1 = c*h2 % 1000000007;
t2 = d*h3 % 1000000007;
printf("%d\n", (t1 + t2) * 2 % 1000000007);
}
return 0;
}
CSU 1313 ZZY的宠物
题目:
Description
ZZY领养了一对刚刚出生的不知名小宠物..巨萌巨可爱!!...小宠物的生命为5个单位时间并且不会在中间出意外翘辫子(如: 从0出生能活到5但活不到6)..小宠物经过2个单位时间成熟..刚刚成熟的一对小宠物能立即生育6只新的小宠物(如: 从0出生的一对在2时成熟并进行第一次生育)...小宠物是很忠诚的..不会在中途换伴侣..每对小宠物生育一次这一对的生育能力就会降低2个..也就是说一对小宠物在第二次生育时就只能生4个了..小宠物成熟后每个单位时间都会尽力的生育(例: 从0出生的一对..2时间生6个..3时间生4个..4时间生2个...5时间生不出..6时间这一对已经挂了..)..生育出来的新小宠物会继续这个过程..
ZZY想知道从单位时间0开始..经过M个单位时间(时间为M时)将有多少只活着的小宠物(0时刻有2只小宠物)
因为ZZY隐隐地觉得什么地方怪怪的...所以请将这个数目mod 10000
Input
多组数据读到EOF
每组数据一行:
M ( 0<=M<=2000000000 )
最多500组数据
Output
每组输出一行为 Case 组号: 答案,即M时刻活着的小宠物个数%10000
Sample Input
0
1
2
3
4
8
Sample Output
Case 1: 2
Case 2: 2
Case 3: 8
Case 4: 12
Case 5: 32
Case 6: 528
思路:
假设前n个月出生的兔子一共有b[n]对,那么M时刻或者的兔子数量就是(b[n]-b[n-6])*2
初始项是int b[5] = { 1,1,4,6,16 };
递推式是

代码:
#include<iostream>
using namespace std;
int p = 10000;
int in[5][5] =
{
1,3,-1,-1,-1,
1,0,0,0,0,
0,1,0,0,0,
0,0,1,0,0,
0,0,0,1,0
};
int list[5][5];
int temp[5][5];
void pro(int l1[][5], int l2[][5], int t[][5]) //t=l1*l2
{
for (int i = 0; i < 5; i++)for (int j = 0; j < 5; j++)
{
t[i][j] = 0;
for (int k = 0; k < 5; k++)
t[i][j] = (t[i][j] + l1[i][k] * l2[k][j]) % p;
}
}
void f(int num) //让list是in的num次方
{
if (num == 0)
{
for (int i = 0; i < 5; i++)for (int j = 0; j < 5; j++)
list[i][j] = (i == j);
return;
}
f(num / 2);
pro(list, list, temp);
if (num % 2)pro(temp, in, list);
else for (int i = 0; i < 5; i++)for (int j = 0; j < 5; j++)
list[i][j] = temp[i][j];
}
int g(int n)
{
if (n < 0)return 0;
int b[5] = { 1,1,4,6,16 };
if (n < 5)return b[n];
f(n-4);
return 16 * list[0][0] + 6 * list[0][1] + 4 * list[0][2] + list[0][3] + list[0][4];
}
int main()
{
int ca = 0, n;
while (cin >> n)
cout << "Case " << ++ca << ": " << ((g(n) - g(n - 6))%p+p)*2%p << endl;
return 0;
}
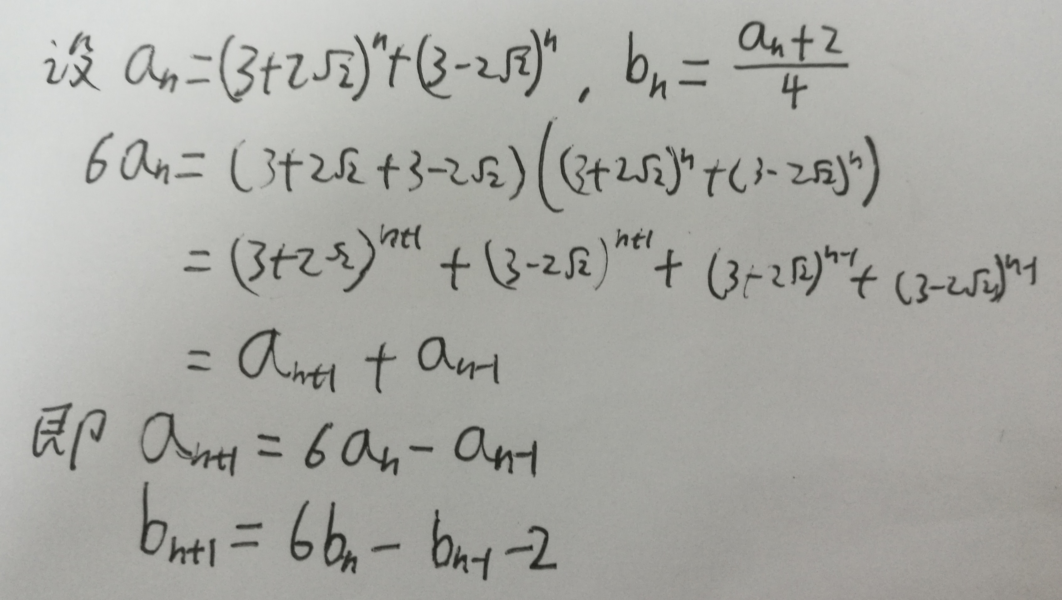
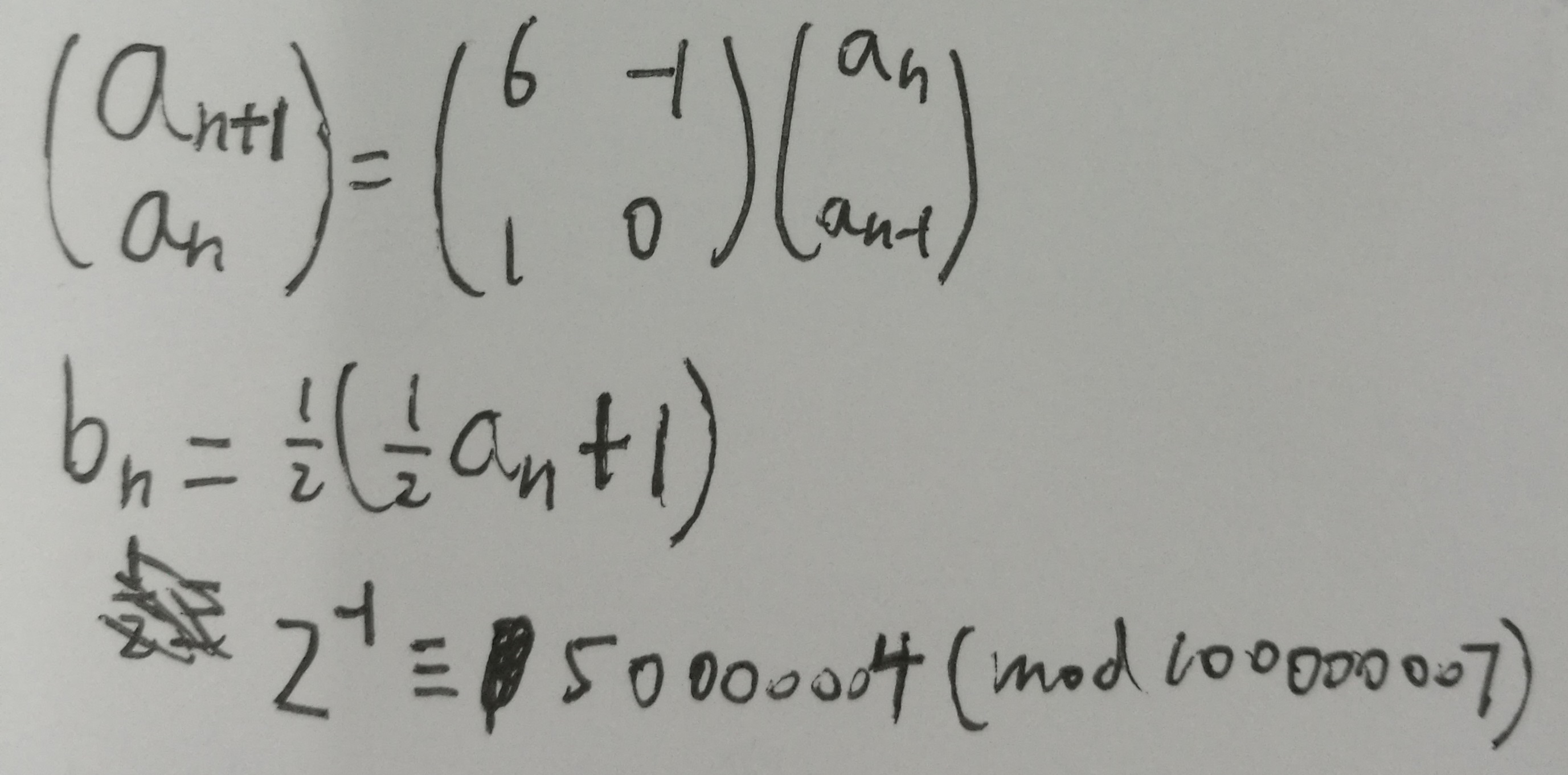
CSU 1895 Apache is late again(根号2加1的n次方)
题目:
Apache is a student of CSU. There is a math class every Sunday morning, but he is a very hard man who learns late every night. Unfortunate, he was late for maths on Monday. Last week the math teacher gave a question to let him answer as a punishment, but he was easily resolved. So the math teacher prepared a problem for him to solve. Although Apache is very smart, but also was stumped. So he wants to ask you to solve the problem. Questions are as follows: You can find a m made (1 + sqrt (2)) ^ n can be decomposed into sqrt (m) + sqrt (m-1), if you can output m% 100,000,007 otherwise output No.
Input
There are multiply cases. Each case is a line of n. (|n| <= 10 ^ 18)
Output
Line, if there is no such m output No, otherwise output m% 100,000,007.
Sample Input
2
Sample Output
9
这个题目主要是代数运算,有2类方法,一类是一元递推,一类是二元递推
我用的是一元递推的方法,如下:

接下来就直接根据这个式子求出m就可以了。
不过因为n很大,所以肯定不是用组合数,而是用递推。

虽然我们要求的是bn,但是bn是非齐次线性递推,没法直接矩阵快速幂,而an是齐次线性递推,可以用矩阵快速幂。
需要注意的是从an转化到bn需要除以4,所以需要用到逆元

这样,答案便出来了。
代码:
#include<iostream>
using namespace std;
long long l[4]={6,100000006,1,0},l1[4],ans[4],p=100000007,p11=50000004;
void g(long long *p1,long long *p2,long long *p3)
{
p3[0]=(p1[0]*p2[0]+p1[1]*p2[2])%p;
p3[1]=(p1[0]*p2[1]+p1[1]*p2[3])%p;
p3[2]=(p1[2]*p2[0]+p1[3]*p2[2])%p;
p3[3]=(p1[2]*p2[1]+p1[3]*p2[3])%p;
}
void f(long long n)
{
if(n==0)
{
ans[0]=ans[3]=1,ans[1]=ans[2]=0;
return;
}
f(n/2);
for(int i=0;i<4;i++)l1[i]=ans[i];
g(l1,l1,ans);
if(n%2==0)return;
for(int i=0;i<4;i++)l1[i]=ans[i];
g(l1,l,ans);
}
int main()
{
long long n,k;
while(cin>>n)
{
if(n>0)
{
f(n-1);
k=(ans[0]*6+ans[1]*2)%p;
cout<<((k*p11)%p+1)*p11%p<<endl;
}
if(n==0)cout<<1<<endl;
if(n<0)cout<<"No\n";
}
return 0;
}
如果用二元递推的话会更简单。

CSU 2138 Rikka's Set
题目:
Description
Rikka is poor at math. Now she asks you for help.
A set is known as extraordinary set when the minimum integer of it is equal to its size.
min{x : x ∈ S}=|S|
For example, S = {3, 7, 8} is extraordinary.
is the number of extraodinary subsets of {1, 2, ..., n}.
Rikka wants to know the value of .
Input
Input consists of one integer n(1 ≤ n ≤ 10^18)
Output
Output a single integer gn mod1000000009
Sample Input
16
Sample Output
987
思路:

代码:
#include<iostream>
using namespace std;
long long a, b, c, d;
long long x1, x2, x3, x4;
void f(long long n)
{
if (n == 0)
{
a = 1;
b = 0;
c = 0;
d = 1;
return;
}
f(n / 2);
x1 = a*a + b*c;
x2 = (a + d)*b;
x3 = (a + d)*c;
x4 = b*c + d*d;
a = x1 % 1000000009;
b = x2 % 1000000009;
c = x3 % 1000000009;
d = x4 % 1000000009;
if (n % 2)
{
c += a;
a = c - a;
d += b;
b = d - b;
}
}
int main()
{
long long n;
cin >> n;
f(n);
cout << b << endl;
return 0;
}
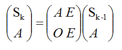
POJ 3233 Matrix Power Series
题目:
Description
Given a n × n matrix A and a positive integer k, find the sum S = A + A2 + A3 + … + Ak.
Input
The input contains exactly one test case. The first line of input contains three positive integers n (n ≤ 30), k (k ≤ 109) and m (m < 104). Then follow n lines each containing nnonnegative integers below 32,768, giving A’s elements in row-major order.
Output
Output the elements of S modulo m in the same way as A is given.
Sample Input
2 2 4
0 1
1 1
Sample Output
1 2
2 3
有个题目和 CSU - 1752 童话故事生成器 很像,
和那个题目一样,这个题目我也有2种思路。
第一种思路:用S(k/2)求S(k),快速幂
超时的代码:
#include<iostream>
using namespace std;
int n, k, m;
long long in[30][30];
long long list[30][30];
long long temp[30][30];
long long sum[30][30];
void pro(long long l1[][30], long long l2[][30], long long t[][30]) //t=l1*l2
{
for (int i = 0; i < n; i++)for (int j = 0; j < n; j++)
{
t[i][j] = 0;
for (int k = 0; k < n; k++)t[i][j] = (t[i][j] + l1[i][k]%m * l2[k][j]%m) % m;
}
}
void f(int num) //list=in^num
{
if (num == 1)
{
for (int i = 0; i < n; i++)for (int j = 0; j < n; j++)
list[i][j] = in[i][j] % m;
return;
}
f(num / 2);
pro(list, list, temp);
if (num % 2)pro(temp, in, list);
else for (int i = 0; i < n; i++)for (int j = 0; j < n; j++)list[i][j] = temp[i][j];
}
void getsum(int num)
{
if (num == 1)
{
for (int i = 0; i < n; i++)for (int j = 0; j < n; j++)sum[i][j] = in[i][j]%m;
return;
}
getsum(num / 2);
f(num / 2);
pro(sum, list, temp);
for (int i = 0; i < n; i++)for (int j = 0; j < n; j++)
sum[i][j] = (sum[i][j] + temp[i][j]) % m;
if (num % 2)
{
pro(sum, in, temp);
for (int i = 0; i < n; i++)for (int j = 0; j < n; j++)
sum[i][j] = (temp[i][j] + in[i][j]) % m;
}
}
int main()
{
cin >> n >> k >> m;
for (int i = 0; i < n; i++)for (int j = 0; j < n; j++)cin >> in[i][j];
getsum(k);
for (int i = 0; i < n; i++)
{
for (int j = 0; j < n; j++)
{
if (j)cout << " ";
cout << sum[i][j];
}
cout << endl;
}
return 0;
}
这个代码的时间是(log k)^2 / 2 * n*n
这个我感觉不太大才对,毕竟只有1组数据,但是超时了。
我知道矩阵快速幂的效率更高,于是看这个能不能过。
第二种思路:用S(k-1)求S(k),矩阵快速幂
S(k)=S(k-1)*A +A


下面的代码中in就是中间这个大矩阵。
只需要求出list=in^k 即可求出S(k)
假设

那么
S(k)=CA
其中C可以从list的右上角抠出来,A可以从in的左上角抠出来。
代码:
#include<iostream>
using namespace std;
int n, k, m;
long long in[60][60];
long long list[60][60];
long long temp[60][60];
void pro(long long l1[][60], long long l2[][60], long long t[][60]) //t=l1*l2
{
for (int i = 0; i < n*2; i++)for (int j = 0; j < n*2; j++)
{
t[i][j] = 0;
for (int k = 0; k < n * 2; k++)t[i][j] = (t[i][j] + l1[i][k] * l2[k][j]) % m;
}
}
void f(int num) //list=in^num
{
if (num == 0)
{
for (int i = 0; i < n*2; i++)for (int j = 0; j < n*2; j++)
list[i][j] = (i == j);
return;
}
f(num / 2);
pro(list, list, temp);
if (num % 2)pro(temp, in, list);
else for (int i = 0; i < n*2; i++)for (int j = 0; j < n*2; j++)list[i][j] = temp[i][j];
}
int main()
{
cin >> n >> k >> m;
for (int i = 0; i < n * 2; i++)for (int j = 0; j < n * 2; j++)
in[i][j] = (i == j || i+n == j );
for (int i = 0; i < n; i++)for (int j = 0; j < n; j++)cin >> in[i][j];
f(k);
long long r;
for (int i = 0; i < n; i++)
{
for (int j = 0; j < n; j++)
{
if (j)cout << " ";
r = 0;
for (int k = 0; k < n; k++)r += list[i][k + n] * in[k][j];
cout << r%m;
}
cout << endl;
}
return 0;
}
这个代码的时间是,log k *(n*2)*(n*2)
这个代码是922ms AC的,前面的代码大约是4倍的时间,也就是大约4s,限时是3s,难怪过不了。
UESTC 278 Fibonacci
题目:
Description
In the Fibonacci integer sequence, F0 = 0, F1 = 1, and Fn = Fn − 1 + Fn − 2 for n ≥ 2. For example, the first ten terms of the Fibonacci sequence are:
0, 1, 1, 2, 3, 5, 8, 13, 21, 34, …
An alternative formula for the Fibonacci sequence is
.
Given an integer n, your goal is to compute the last 4 digits of Fn.
Input
The input test file will contain multiple test cases. Each test case consists of a single line containing n (where 0 ≤ n ≤ 1,000,000,000). The end-of-file is denoted by a single line containing the number −1.
Output
For each test case, print the last four digits of Fn. If the last four digits of Fn are all zeros, print ‘0’; otherwise, omit any leading zeros (i.e., printFn mod 10000).
Sample Input
0
9
999999999
1000000000
-1
Sample Output
0
34
626
6875
代码:
#include<iostream>
using namespace std;
int a, b, c, d;
int x1, x2, x3, x4;
void f(int n)
{
if (n == 0)
{
a = 1;
b = 0;
c = 0;
d = 1;
return;
}
f(n / 2);
x1 = a*a + b*c;
x2 = (a + d)*b;
x3 = (a + d)*c;
x4 = b*c + d*d;
a = x1 % 10000;
b = x2 % 10000;
c = x3 % 10000;
d = x4 % 10000;
if (n % 2)
{
c += a;
a = c - a;
d += b;
b = d - b;
}
}
int main()
{
int n;
while (cin >> n)
{
if (n < 0)break;
f(n);
cout << b << endl;
}
return 0;
}
HDU 1575 Tr A
题目:
Description
A为一个方阵,则Tr A表示A的迹(就是主对角线上各项的和),现要求Tr(A^k)%9973。
Input
数据的第一行是一个T,表示有T组数据。
每组数据的第一行有n(2 <= n <= 10)和k(2 <= k < 10^9)两个数据。接下来有n行,每行有n个数据,每个数据的范围是[0,9],表示方阵A的内容。
Output
对应每组数据,输出Tr(A^k)%9973。
Sample Input
2
2 2
1 0
0 1
3 99999999
1 2 3
4 5 6
7 8 9
Sample Output
2
2686
直接把(A^k)%9973求出来,然后求它的迹,最后取模即可。
很容易证明,Tr(A^k)%9973=Tr((A^k)%9973)%9973
代码:
#include <iostream>
#include <vector>
using namespace std;
template<typename A>
vector<vector<A>> opMatrixMulti(vector<vector<A>> x, vector<vector<A>> y)
{
vector<vector<A>> ans=x;
for(int i=0;i<ans.size();i++){
for(int j=0;j<ans.size();j++){
ans[i][j]=0;
for(int k=0;k<ans.size();k++)ans[i][j]+=x[i][k]*y[k][j],ans[i][j]%=9973;
}
}
return ans;
}
template<typename A,typename N>
A aijiMulti(A a, N n, A(*pfunc)(A,A))
{
if(n<=1)return a;
A ans = aijiMulti(a, n/2, pfunc);
ans = pfunc(ans,ans);
if(n%2)ans = pfunc(ans,a);
return ans;
}
int get_tr(vector<vector<int>>A)
{
int sum = 0;
for (int i = 0; i < A.size(); i++)sum += A[i][i];
return sum;
}
int main()
{
int cas,n,k;
cin >> cas;
vector<vector<int>>in(10);
for(int i=0;i<10;i++)in[i].resize(10);
while (cas--)
{
cin >> n >> k;
for (int i = 0; i < n; i++)for (int j = 0; j < n; j++)cin >> in[i][j];
cout << get_tr(aijiMulti(in,k,opMatrixMulti)) % 9973 << endl;
}
return 0;
}
UVA 12470 Tribonacci
题目:


这个题目,我主要就是被题目名字吸引,所以才把这个水题做了一下。
看题目名字就知道是3阶斐波那契数列的意思,然后看后面那么多输入输出一下就懂了什么意思。
(事实上我真的没有看正文)
既然是3阶齐次线性递归,那用矩阵快速幂一下就出来了。
#include <iostream>
#include <vector>
using namespace std;
int mod = 1000000009;
template <typename A> vector<vector<A>> opMatrixMulti(vector<vector<A>> x, vector<vector<A>> y)
{
vector<vector<A>> ans = x;
for (int i = 0; i < ans.size(); i++) {
for (int j = 0; j < ans.size(); j++) {
ans[i][j] = 0;
for (int k = 0; k < ans.size(); k++)
ans[i][j] += x[i][k] * y[k][j] % mod;
}
}
return ans;
}
template <typename A, typename N> A aijiMulti(A a, N n, A (*pfunc)(A, A))
{
if (n <= 1) return a;
A ans = aijiMulti(a, n / 2, pfunc);
ans = pfunc(ans, ans);
if (n % 2) ans = pfunc(ans, a);
return ans;
}
int main()
{
vector<vector<long long>> in(3);
for (int i = 0; i < 3; i++) in[i].resize(3);
in[0][0] = 1, in[0][1] = 1, in[0][2] = 1;
in[1][0] = 1, in[1][1] = 0, in[1][2] = 0;
in[2][0] = 0, in[2][1] = 1, in[2][2] = 0;
long long k;
while (cin >> k) {
if (k == 0) break;
if (k <= 3) {
cout << k-1 << endl;
continue;
}
vector<vector<long long>> ans = aijiMulti(in, k - 3, opMatrixMulti);
cout << (ans[0][0] * 2 + ans[0][1]) % mod << endl;
}
return 0;
}
力扣 552. 学生出勤记录 II
可以用字符串表示一个学生的出勤记录,其中的每个字符用来标记当天的出勤情况(缺勤、迟到、到场)。记录中只含下面三种字符:
'A':Absent,缺勤
'L':Late,迟到
'P':Present,到场
如果学生能够 同时 满足下面两个条件,则可以获得出勤奖励:
按 总出勤 计,学生缺勤('A')严格 少于两天。
学生 不会 存在 连续 3 天或 连续 3 天以上的迟到('L')记录。
给你一个整数 n ,表示出勤记录的长度(次数)。请你返回记录长度为 n 时,可能获得出勤奖励的记录情况 数量 。答案可能很大,所以返回对 109 + 7 取余 的结果。
示例 1:
输入:n = 2
输出:8
解释:
有 8 种长度为 2 的记录将被视为可奖励:
"PP" , "AP", "PA", "LP", "PL", "AL", "LA", "LL"
只有"AA"不会被视为可奖励,因为缺勤次数为 2 次(需要少于 2 次)。
示例 2:
输入:n = 1
输出:3
示例 3:
输入:n = 10101
输出:183236316
提示:
1 <= n <= 10^5
思路:
按照记录中有多少个A(0-1)、记录以多少个连续的L结尾(0-2),分为6种情况。

可能获得出勤奖励的记录情况是这6种情况的总和,根据6种情况的递推式,化成矩阵幂即可。
template<typename A>
vector<vector<A>> opMatrixMulti(vector<vector<A>> x, vector<vector<A>> y)
{
vector<vector<A>> ans = x;
for (int i = 0; i < ans.size(); i++) {
for (int j = 0; j < ans.size(); j++) {
ans[i][j] = 0;
for (int k = 0; k < ans.size(); k++)ans[i][j] += x[i][k] * y[k][j]%1000000007, ans[i][j]%= 1000000007;
}
}
return ans;
}
template<typename A, typename N>
A aijiMulti(A a, N n, A(*pfunc)(A, A))
{
if (n <= 1)return a;
A ans = aijiMulti(a, n / 2, pfunc);
ans = pfunc(ans, ans);
if (n % 2)ans = pfunc(ans, a);
return ans;
}
class Solution {
public:
int checkRecord(int n) {
vector<vector<long long>>b = {{ 1,1,0,1,0,0 },
{ 1,0,1,1,0,0 },
{ 1,0,0,1,0,0 },
{ 0,0,0,1,1,0 },
{ 0,0,0,1,0,1 },
{ 0,0,0,1,0,0 } };
auto ans = aijiMulti(b, n, opMatrixMulti<long long>); //矩阵快速幂
int s = 0;
for (int i = 0; i < 6; i++)s += ans[0][i] % 1000000007, s %= 1000000007;
return s;
}
};
四,矩阵快速幂总结
矩阵快速幂解决问题的方式是,首先需要把问题表达成n元m阶一次线性递推式。
如何把n元m阶一次线性递推式转化成矩阵幂的形式,都是固定的方法。
举几个常见的例子:
一元一阶
一元二阶
二元一阶
二元二阶
458

被折叠的 条评论
为什么被折叠?



