
图片源于:https://baike.baidu.com/item/%E7%AD%89%E4%BB%B7%E6%97%A0%E7%A9%B7%E5%B0%8F/7796020
当[x→0]时的常用无穷小等价关系
三角函数

指数与对数

根式

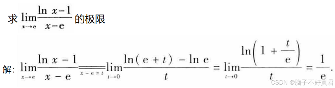
★若x→a(a≠0),令t=x-a将问题转化为t→0的情况

常用的重要极限公式
三角函数类

指数与对数类

幂函数类

复合函数类


图片源于:https://baike.baidu.com/item/%E7%AD%89%E4%BB%B7%E6%97%A0%E7%A9%B7%E5%B0%8F/7796020








3万+
3186

被折叠的 条评论
为什么被折叠?