本篇内容,函数的单调性、对称性、奇偶性、周期性。
单调性
设区间D
单调递增: 对任意的x1,x2∈D,当x1<x2恒有f(x1)<f(x2)
单调递减: 对任意的x1,x2∈D,当x1<x2恒有f(x1)>f(x2)
对称性
轴对称

f(x)关于x=xa轴对称的含义:若(x1+x2)/2=xa (xa为常数),则f(x1)=f(x2)
比如f(1+x)=f(-2-x),(1+x)+(-2-x)=-1,所以f(x)关于x=-(1/2)对称
中心对称

f(x)关于(a,b )中心对称的含义:若(x1+x2)/2=a ,则[f(x1)+f(x2)]/2=b
奇偶性
奇函数
奇函数的性质
- 定义域关于原点对称
- f(x)+f(-x)=0 <=> f(-x)=-f(x)
- 关于(0,0)对称
- 奇函数f(0)不一定存在,如果f(0)存在,f(0)=0
偶函数
偶函数的性质
- 定义域关于原点对称
- f(-x)-f(x)=0 <=> f(-x)=f(x)
- 关于x=0对称
敲黑板:只有奇次幂的函数是奇函数,只有偶次幂的函数是偶函数,任意函数都可以拆分为一个奇函数和一个偶函数的和
证明:
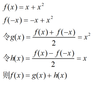
例题
证明f(x)=x+x2为一个奇函数和一个偶函数之和

不仅非奇非偶函数可以拆分为一个奇函数和一个偶函数之和,奇函数(或偶函数)也可以如此拆分,结果一部分为奇函数(或偶函数)另一部分为0
周期性
f(x)以T为周期的性质
- f(x+T)=f(x)
- f(x-T)=f(x)
- T为周期,2T、3T…nT都是周期
周期性的数学描述
若x1-x2=T,则f(x1)=f(x2)<=>以T为周期
f(x)以t为反周期的性质
emmm“反周期”这个名字引用了永乐大帝的自制概念,实际上是没有这个东西的,具体是什么东西往下看吧。
- f(x+t)=-f(x)
- f(x-t)=-f(x)
- T=2t
到这应该知道t是个什么了,爱怎么叫都行,我就叫他反周期(有时候也叫小周期 doge)
反周期的数学描述
若x1-x2=t,则f(x1)=-f(x2)<=>以t为反周期
小结
辨识下列函数分别代表什么性质?
①f(1+x)+f(1-x)=0
②f(1+x)-f(1-x)=0
③f(x+1)+f(x-1)=0
④f(x+1)-f(x-1)=0
解析:
①(1+x)+(1-x)=2,对称性,f(1+x)+f(1-x)=0,和为常数,点对称,f(x)关于(1,0)点对称
②(1+x)+(1-x)=2,对称性,f(1+x)-f(1-x)=0,差为常数,或f(1+x)=f(1-x),函数值相等,轴对称,f(x)关于x=1轴对称
③(x+1)-(x-1)=2,周期性,f(x+1)=-f(x-1),反周期t=2,周期T=4
④(x+1)-(x-1)=2,周期性,f(x+1)=f(x-1),周期T=2
敲黑板 干货来了
对称、周期、奇偶之间的关系,上图

我把这个图叫三角关系图,还是两个三角关系,图中共有6个关系,刺不刺激?好了上解释。
以左边为例,如果已知一个函数为奇函数,反周期为2a,则其对称轴为x=a;如果已知一个函数为奇函数,对称轴为x=a,则反周期为2a;如果一个函数有对称轴x=a,反周期为2a可得次函数为奇函数。
举其中一个关系的例子证明,已知函数f(x)为偶函数,且f(x)关于x=a轴对称,证明T=2a
∵f(x)关于x=a对称
∴f(x)=f(2a-x)
∵f(x)为偶函数
∴f(2a-x)=f(x-2a)
得 f(x)=f(x-2a)
总结
本篇内容为函数的对称性、奇偶性和周期性,先说奇偶性,后面两个对照理解
- 奇偶性:首先无论奇偶,定义域关于原点对称,偶函数有f(x)-f(-x)=0,奇函数有f(x)+f(-x)=0,奇函数还有一条,不一定在x=0处有定义,比如反比例函数f(x)=1/x就是奇函数,但在x=0处没有定义,但是如果奇函数f(x)在x=0处有定义,则f(0)=0
- 对称性和周期性:判断对称性和周期性,首先看自变量的关系,然后看函数值的关系。若自变量和为常数即为对称性,函数值和为常数——点对称;函数值相等——轴对称。若自变量差为常数,即为周期性,函数值相等为周期,函数值相反为反周期。
2781

被折叠的 条评论
为什么被折叠?



