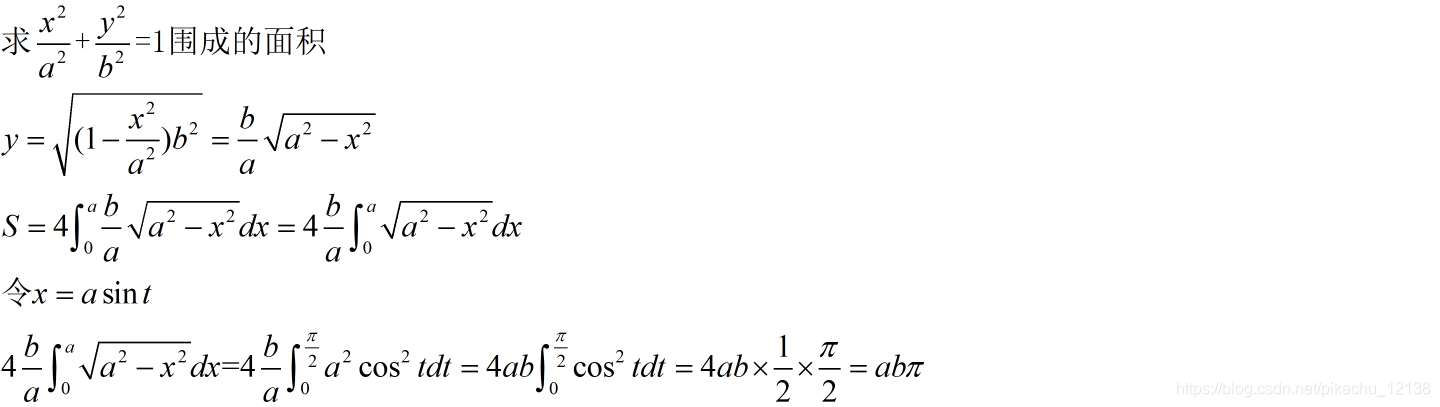
本篇内容为定积分在几何中的应用,主要是平面几何、立体几何和弧长,也就是用定积分求解面积、体积和弧长,主要应用的还是元素法,所以理论参考请翻去上一篇,本篇我们不再对理论重复阐述,主要是练习。一如既往没有废话,正片开始。
平面几何
例题
例1


例2


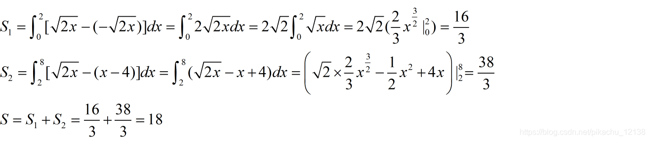
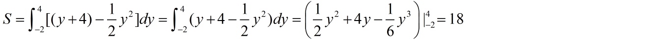
例3

这道题给两个解法
方法一:
以x为自变量,将图像分为左右两部分
方法二:
以y为自变量
接下来我们先来推到一个公式,说是例题也可以


上图中,在α和β角的范围内,由直线L围城一个曲边三角形

例4
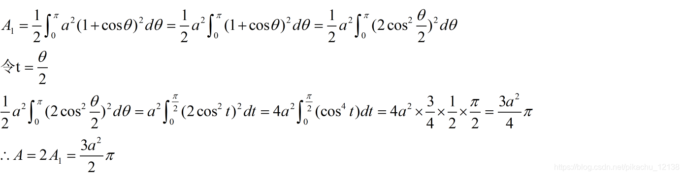
例5


看图,自变量是θ,范围是0到2π,我们研究上半部分,范围变成0到π,套公式

立体几何
直接上例题
例题
例1

图中是一个由y=f(x)围成的曲边梯形,现在把这个曲边梯形绕x轴旋转一周,求所成的几何体的体积
来分析一下,如果还是使用元素法,现在自变量为x,在[a,b]上取一个[x,x+dx],子区间旋转后所成的几何体就应该是一个小圆柱,接下来就是积分了
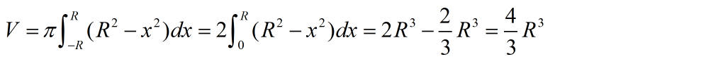
例2 求半径为R的球的体积
半圆旋转一周就是球了
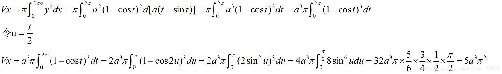
例3

结合图解释一下方程式,一个半径为a的圆,滚动一周,L为圆与x轴切点的运动轨迹,t为圆在滚动时圆心与切点连接的半径与y轴所成的夹角
求L绕x轴旋转一周的几何体的体积

例4

求半径为1的半圆绕x=1旋转一周所成的几何体的体积
说一下作者的思路吧,还是取一个宽度为dx的小区间,这个小区间旋转一周后是一个标准空心圆柱,把这个空心圆柱展开就是一个标准长方体,长为2πx,宽为y,高为dx,然后积分
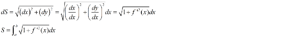
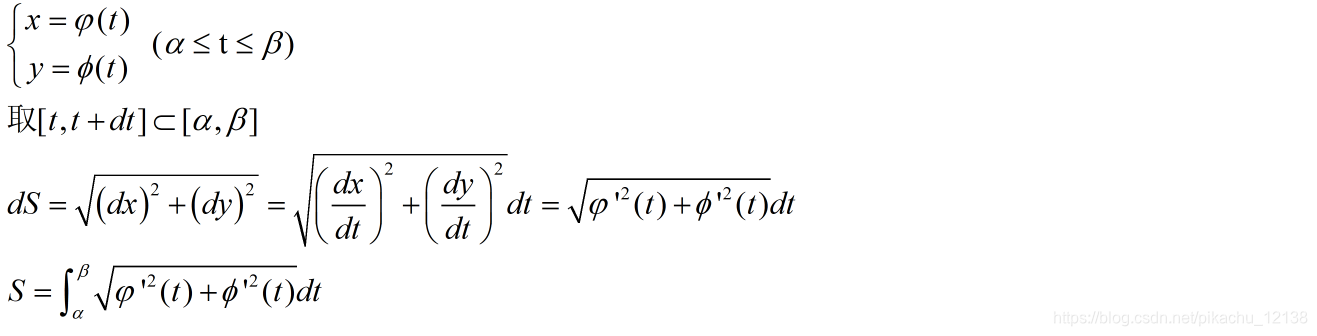
弧长
先给个图

在图中选取一个元素区间,将之放大,得到的是一个什么图形?三角形。近似三角形还是标准三角形?标准的直角三角形

(ds)2=(dx)2+(dy)2
接下来我们推导公式

求弧长
还是用元素法,元素法的思想就不再赘述了,直接上手
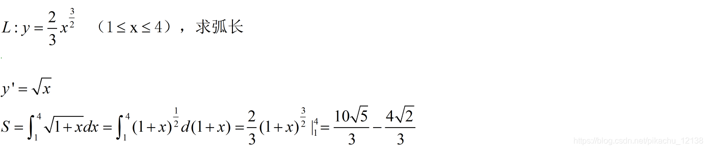
例题
例1

还能根据上方的三边关系推导出参数方程的公式

本篇完。
1477

被折叠的 条评论
为什么被折叠?



