文章目录
考察:连续、可微性(5分),复合偏导(5分)
18讲该节一般
一 基本概念
1.1 极限和连续

与一元的区别:
一元函数在一点处极限存在的充要条件是左右极限都存在且相等
多元函数在一点处极限存在的充要条件是沿所有可能路径趋于该点时极限都存在且相等
连续

与一元的区别:
一元函数在点x=a连续的充要条件是f(a-0)=f(a+0)=f(a)
多元函数无类似结论
1.2 偏导数
前置条件(注意是开区间)
z
=
f
(
x
,
y
)
(
(
x
,
y
)
∈
D
)
,
(
x
0
,
y
0
)
∈
D
z = f(x,y) ((x,y) \in D),(x_0,y_0) \in D
z=f(x,y)((x,y)∈D),(x0,y0)∈D
偏增量
Δ
z
x
=
f
(
x
0
+
Δ
x
,
y
0
)
−
f
(
x
0
,
y
0
)
在点
(
x
0
,
y
0
)
关于
x
的偏增量
Δ
z
y
=
f
(
x
0
,
y
0
+
Δ
y
)
−
f
(
x
0
,
y
0
)
在点
(
x
0
,
y
0
)
关于
y
的偏增量
\Delta z_x = f(x_0+\Delta x,y_0)-f(x_0,y_0) \quad 在点(x_0,y_0)关于x的偏增量 \\ \Delta z_y = f(x_0,y_0+\Delta y)-f(x_0,y_0) \quad 在点(x_0,y_0)关于y的偏增量
Δzx=f(x0+Δx,y0)−f(x0,y0)在点(x0,y0)关于x的偏增量Δzy=f(x0,y0+Δy)−f(x0,y0)在点(x0,y0)关于y的偏增量
全增量
Δ
z
=
f
(
x
0
+
Δ
x
,
y
0
+
Δ
y
)
−
f
(
x
0
,
y
0
)
在点
(
x
0
,
y
0
)
的全增量
\Delta z = f(x_0+\Delta x,y_0+\Delta y)-f(x_0,y_0) \quad 在点(x_0,y_0)的全增量
Δz=f(x0+Δx,y0+Δy)−f(x0,y0)在点(x0,y0)的全增量
偏导
关于x可偏导
若
lim
Δ
x
→
0
f
(
x
0
+
Δ
x
,
y
0
)
−
f
(
x
0
,
y
0
)
Δ
x
存在
,
则在点
(
x
0
,
y
0
)
关于
x
可偏导
,
记为
f
x
′
(
x
0
,
y
0
)
或
∂
z
∂
x
∣
(
x
0
,
y
0
)
若\lim_{\Delta x \rightarrow 0}\frac{f(x_0+\Delta x,y_0)-f(x_0,y_0)}{\Delta x} 存在,\\ 则在点(x_0,y_0)关于x可偏导,记为f'_x(x_0,y_0) 或 \frac{\partial z}{\partial x}\bigg|_{(x_0,y_0)}
若Δx→0limΔxf(x0+Δx,y0)−f(x0,y0)存在,则在点(x0,y0)关于x可偏导,记为fx′(x0,y0)或∂x∂z
(x0,y0)
关于y可偏导
若
lim
Δ
y
→
0
f
(
x
0
,
y
0
+
Δ
y
)
−
f
(
x
0
,
y
0
)
Δ
y
存在
,
则在点
(
x
0
,
y
0
)
关于
y
可偏导
,
记为
f
y
′
(
x
0
,
y
0
)
或
∂
z
∂
y
∣
(
x
0
,
y
0
)
若\lim_{\Delta y \rightarrow 0}\frac{f(x_0,y_0+\Delta y)-f(x_0,y_0)}{\Delta y} 存在,\\ 则在点(x_0,y_0)关于y可偏导,记为f'_y(x_0,y_0) 或 \frac{\partial z}{\partial y}\bigg|_{(x_0,y_0)}
若Δy→0limΔyf(x0,y0+Δy)−f(x0,y0)存在,则在点(x0,y0)关于y可偏导,记为fy′(x0,y0)或∂y∂z
(x0,y0)
几何意义

1.3 高阶偏导数

注意:对于任何二元函数,只要二阶可导即f ’ ’ 连续,混导就一定相等
全微/可微

注解

【例题】2020数一

二 基本理论
2.1 三大定理

2.2 关系图
总览
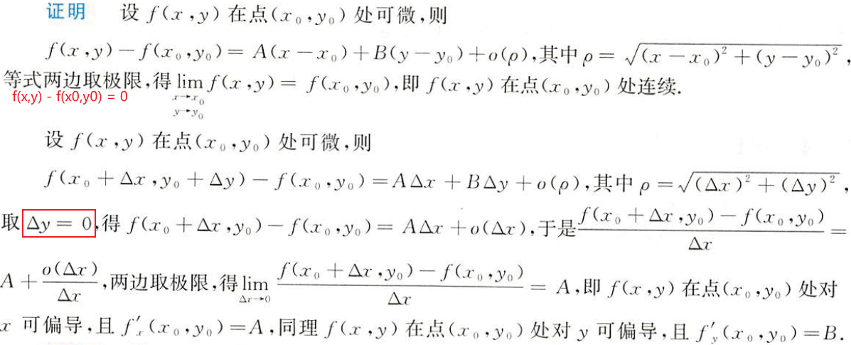
可微推出连续,可偏导;但不能得出偏导数连续。
连续可偏导 意思是 原函数是连续的,而且是可偏导的;但是原函数的偏导数不一定连续 !=偏导数连续。

多元函数可导只是x、y两个方向可导,连续是一整个邻域都连续,所以可导推不出连续。偏导数连续是二元连续,不是仅 fx()、fy() 连续,是lim{x->x0,y->y0}fx(x,y) = fx(x0,y0)

证明:

连续无法推出可偏导

f
(
x
,
y
)
=
x
2
+
y
2
在
(
0
,
0
)
,
lim
x
→
0
f
(
x
,
0
)
−
f
(
0
,
0
)
x
−
0
=
±
1
,
l
i
m
不存在
f(x,y) = \sqrt{x^2+y^2}在(0,0),\lim_{x \rightarrow 0}\frac{f(x,0)-f(0,0)}{x-0} = \pm 1,lim 不存在
f(x,y)=x2+y2在(0,0),x→0limx−0f(x,0)−f(0,0)=±1,lim不存在
二阶连续偏导

2.3 求偏导
显函数求偏导,只需要把另一个变量看成常数即可
思想:先代后求
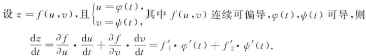
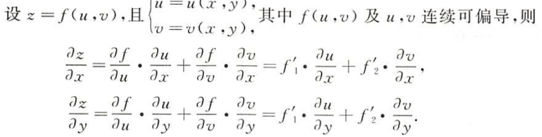
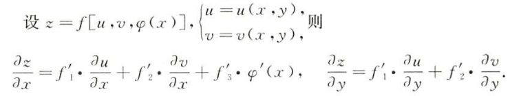
链式法则
情形一

情形二

情形三

例题
1

2 先代后求

3

【例题】2014数一

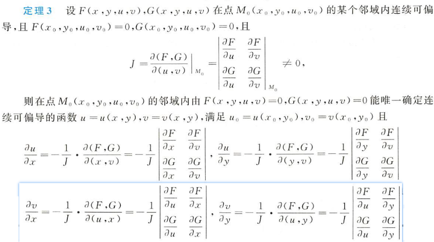
2.4 隐函数存在定理
定理1 根据Fy!=0确定因变量为y

定理2

定理3

【例题】2010数一


三 应用
3.1 极值
可能的极值点:驻点、偏导不存在的点。
极值点不一定是驻点,是驻点也不一定是极致点,如xy在(0,0)
极值点的两个偏导数一定为0
无条件
定义

求无条件极值步骤

判别法的证明(数学分析第四步下册P143)

结论

【例题】2013数一
有条件
https://zhuanlan.zhihu.com/p/399975884

求有条件极值步骤

有时候我们也可使用三角变换(即参数方 程法)进行求解
L具有轮换对称性时候,一般有 x==y 这个解,注意不一定唯一。
【例题】

【例题】2015数一

3.2 物理与几何
P137
方向余弦
假设
v
\mathbf{v}
v是三维空间里的向量:$\mathbf{v}=v_1\hat{\boldsymbol{x}}+v_2\hat{\boldsymbol{y}}+v_3\hat{\boldsymbol{z}}
$其中,
x
^
、
y
^
、
z
^
\hat{\boldsymbol{x}} 、 \hat{\boldsymbol{y}} 、 \hat{\boldsymbol{z}}
x^、y^、z^是一组标准正交基的单位基底向量,
v
1
、
v
2
、
v
3
v_1、 v_2、 v_3
v1、v2、v3分别为
v
\mathbf{v}
v对于
x
\mathrm{x}
x-轴、
y
\mathrm{y}
y-轴、
z
\mathrm{z}
z-轴的分量。那么,
v
\mathbf{v}
v对于
x
x
x-轴、
y
y
y-轴、
z
z
z-轴的方向余弦
α
、
β
、
γ
\alpha 、 \beta 、 \gamma
α、β、γ分别为
α
=
cos
a
=
v
⋅
x
^
∥
v
∥
=
v
1
v
1
2
+
v
2
2
+
v
3
2
β
=
cos
b
=
v
⋅
y
^
∥
v
∥
=
v
2
v
1
2
+
v
2
2
+
v
3
2
γ
=
cos
c
=
v
⋅
z
^
∥
v
∥
=
v
3
v
1
2
+
v
2
2
+
v
3
2
\begin{aligned} &\alpha=\cos a=\frac{\mathbf{v} \cdot \hat{\boldsymbol{x}}}{\|\mathbf{v}\|} \quad=\frac{v_1}{\sqrt{v_1^2+v_2^2+v_3^2}} \\ &\beta=\cos b=\frac{\mathbf{v} \cdot \hat{\boldsymbol{y}}}{\|\mathbf{v}\|} \quad=\frac{v_2}{\sqrt{v_1^2+v_2^2+v_3^2}} \\ &\gamma=\cos c=\frac{\mathbf{v} \cdot \hat{\boldsymbol{z}}}{\|\mathbf{v}\|} \quad=\frac{v_3}{\sqrt{v_1^2+v_2^2+v_3^2}} \end{aligned}
α=cosa=∥v∥v⋅x^=v12+v22+v32v1β=cosb=∥v∥v⋅y^=v12+v22+v32v2γ=cosc=∥v∥v⋅z^=v12+v22+v32v3
其中,
a
、
b
、
c
a 、 b 、 c
a、b、c分别为
v
\mathbf{v}
v对于
x
\mathrm{x}
x-轴、
y
\mathrm{y}
y-轴、
z
\mathrm{z}
z-轴的角度。注意到以下恒等式:
α
2
+
β
2
+
γ
2
=
1
。
\alpha^2+\beta^2+\gamma^2=1\text { 。 }
α2+β2+γ2=1 。
3.3 可微性判断
思路:先看是否连续,再看偏导是否存在,最后利用等式得出极限为0。
可微充分条件:2个偏导数存在且连续

-
连续性:各个路径趋于都存在且相等
- 【证明不连续 一般选取两个不同路径,若极限不相等则不连续】
- 【证明连续 一般可用不等式等方法来证明其绝对值=0,从而连续】
-
可偏导性:先代后求或直接使用极限定义,若lim存在则某个偏导数存在
-
可微性:先判断是否连续,再判断可偏导性,然后写出下列等式,初步判断是否存在,接着往下做。(A B可等于0,用反例)
lim
p
→
0
f
(
x
+
Δ
x
,
y
+
Δ
y
)
−
f
(
x
,
y
)
−
A
Δ
x
−
B
Δ
y
p
=
lim
p
→
0
f
(
x
+
Δ
x
,
y
+
Δ
y
)
−
f
(
x
,
y
)
−
f
x
′
Δ
x
−
f
y
′
Δ
y
x
2
+
y
2
=
lim
p
→
0
f
(
x
,
y
)
−
f
(
0
,
0
)
−
A
x
−
B
y
x
2
+
y
2
(
(
x
,
y
)
=
=
(
0
,
0
)
)
=
lim
p
→
0
Δ
z
−
f
x
′
(
0
,
0
)
x
−
f
y
′
(
0
,
0
)
y
x
2
+
y
2
=
0
(
(
x
,
y
)
=
(
0
,
0
)
)
\lim_{p \rightarrow 0} \frac{f(x+\Delta x, y+\Delta y) - f(x,y) - A\Delta x-B\Delta y}{p}\\ = \lim_{p \rightarrow 0} \frac{f(x+\Delta x, y+\Delta y) - f(x,y) - f'_x\Delta x-f'_y\Delta y}{\sqrt{x^2+y^2}} \\ = \lim_{p \rightarrow 0} \frac{f(x, y) - f(0,0) - Ax-By}{\sqrt{x^2+y^2}} ((x,y) == (0,0))\\ = \lim_{p \rightarrow 0} \frac{\Delta z -f'_x(0,0)x-f'_y(0,0)y}{\sqrt{x^2+y^2}}=0 ((x,y)=(0,0))
p→0limpf(x+Δx,y+Δy)−f(x,y)−AΔx−BΔy=p→0limx2+y2f(x+Δx,y+Δy)−f(x,y)−fx′Δx−fy′Δy=p→0limx2+y2f(x,y)−f(0,0)−Ax−By((x,y)==(0,0))=p→0limx2+y2Δz−fx′(0,0)x−fy′(0,0)y=0((x,y)=(0,0))
结论
- f(x,y)的两个偏导数连续,则f(x,y)在(x0,y0)可微
【例题】2012 数一

可以举反例
对于形如(不必记结论)
x
p
y
q
x
m
+
y
n
\frac{x^p y^q}{x^m + y^n}
xm+ynxpyq
的题目,可用以下三结论
https://zhuanlan.zhihu.com/p/395482784
3.4 几何应用
空间平面的切平面与法线

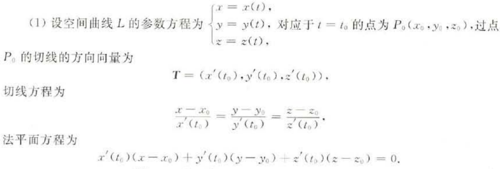
空间曲线的切线与法平面

四 基本题型
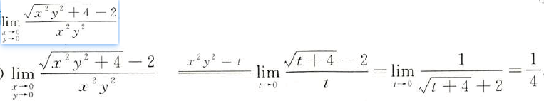
4.1 求极限
一般情况:高次/低次 = 0,低/高=无穷,同阶/同阶 不存在。不能用极坐标
思想:先根据一般情况初步判断,取绝对值用夹逼
- 换元

- 可微性判断

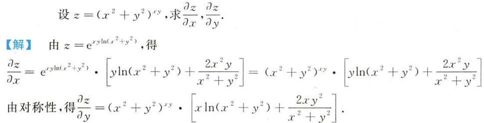
4.2 偏导
复合求导

隐函数求导

此外,此题求解dt/dx还可用克拉姆法则
d
y
d
x
=
x
1
,
d
t
d
x
=
x
2
D
=
[
1
−
f
t
′
F
y
′
F
t
′
]
∣
D
∣
=
F
t
′
+
F
y
′
f
t
′
D
2
=
[
1
f
x
′
F
y
′
−
F
x
′
]
∣
D
2
∣
=
−
F
x
′
−
F
y
′
f
x
′
d
t
d
x
=
D
2
D
=
−
F
x
′
−
F
y
′
f
x
′
F
t
′
+
F
y
′
f
t
′
\begin{gathered} \frac{dy}{dx} = x_1,\frac{dt}{dx}=x_2 \\ D = \begin{bmatrix} 1 & -f'_t \\ F'_y & F'_t \end{bmatrix} \quad |D| = F'_t + F'_yf'_t\\ D_2 = \begin{bmatrix} 1 & f'_x \\ F'_y & -F'_x \end{bmatrix} \quad |D_2| = -F'_x-F'_yf'_x \\ \frac{dt}{dx} = \frac{D_2}{D} = \frac{-F'_x-F'_yf'_x}{F'_t + F'_yf'_t} \end{gathered}
dxdy=x1,dxdt=x2D=[1Fy′−ft′Ft′]∣D∣=Ft′+Fy′ft′D2=[1Fy′fx′−Fx′]∣D2∣=−Fx′−Fy′fx′dxdt=DD2=Ft′+Fy′ft′−Fx′−Fy′fx′
再如:四个变量,题目中含有两个约束条件,则确定了二元函数,两个二元函数
变换求偏导

【真题】2020数一

4.3 反偏导
思路:从高阶到低阶

2 二阶偏导

3 已知混合偏导

4.4 代数应用
当条件比较简单时,有条件转换为无条件

内部没有偏导=0的点,则在边界上找极值。化简时候可把边界值代入。这里不适合化为无条件,因为平方表达后有根号。对应边界为圆或椭圆时可以用三角变换。还可以利用几何意义

极值 (有条件—拉格朗日)注意该题目是求最值因此不需要判别法仅需求出驻点,代入比较即可

无条件极值 (驻点+判别法)

做法
对x求偏导
4
x
+
2
z
z
x
′
+
8
z
+
8
x
z
x
′
−
z
x
′
=
0
令
z
x
′
=
0
,
则
4
x
+
8
z
=
0
,
得
x
=
−
2
z
(
驻点
)
二阶
4
+
2
(
z
x
′
)
2
+
2
z
(
z
x
x
′
′
)
+
8
z
x
′
+
8
(
z
x
′
)
2
+
8
x
(
z
x
x
′
′
)
−
(
z
x
x
′
′
)
=
0
判别法
4
+
2
z
A
+
8
x
A
−
A
=
4
+
A
(
2
z
+
8
x
−
1
)
=
0
4x+2zz'_x + 8z + 8xz'_x - z'_x = 0 \ 令z'_x = 0,则 4x + 8z = 0,得x = -2z(驻点) \\ 二阶 \quad4+2(z'_x)^2+2z(z''_{xx})+8z'_x+8(z'_{x})^2+8x(z''_{xx})-(z''_{xx}) = 0 \\ 判别法 \quad 4+2zA+8xA-A = 4+A(2z+8x-1)=0
4x+2zzx′+8z+8xzx′−zx′=0 令zx′=0,则4x+8z=0,得x=−2z(驻点)二阶4+2(zx′)2+2z(zxx′′)+8zx′+8(zx′)2+8x(zxx′′)−(zxx′′)=0判别法4+2zA+8xA−A=4+A(2z+8x−1)=0
对y求偏导
4
y
+
2
z
z
y
′
+
8
x
z
y
′
−
z
y
′
=
0
令
z
y
′
=
0
,
则
4
y
=
0
,
得
y
=
0
二阶
4
+
2
(
z
y
′
)
2
+
8
x
(
z
y
y
′
′
)
+
2
z
(
z
y
y
′
′
)
−
z
y
y
′
′
=
0
4
+
2
z
C
+
8
x
C
−
C
=
4
+
(
2
z
+
8
x
−
1
)
C
=
0
4y+2zz'_y +8xz'_y - z'_y = 0 \ 令z'_y = 0,则 4y = 0,得y = 0 \\ 二阶 \ 4+2(z'_y)^2 + 8x(z''_{yy}) + 2z(z''_{yy}) - z''_{yy} = 0 \\ 4 + 2zC + 8xC - C = 4 + (2z + 8x - 1) C = 0
4y+2zzy′+8xzy′−zy′=0 令zy′=0,则4y=0,得y=0二阶 4+2(zy′)2+8x(zyy′′)+2z(zyy′′)−zyy′′=04+2zC+8xC−C=4+(2z+8x−1)C=0
混偏
∂
z
∂
y
=
4
y
+
2
z
z
y
′
+
8
x
z
y
′
−
z
y
′
=
0
∂
(
4
y
+
2
z
z
y
′
+
8
x
z
y
′
−
z
y
′
)
∂
x
=
2
z
x
′
z
y
′
+
2
z
(
z
y
x
′
′
)
+
8
z
y
′
+
8
x
z
y
x
′
′
−
z
y
x
′
′
=
0
0
+
2
z
B
+
0
+
8
x
B
−
B
=
(
2
z
+
8
x
−
1
)
B
=
0
\frac{\partial z}{\partial y} = 4y+2zz'_y +8xz'_y - z'_y = 0 \\ \frac{\partial (4y+2zz'_y +8xz'_y - z'_y)}{\partial x} \\ = 2z'_xz'_y + 2z(z''_{yx}) + 8z'_y + 8xz''_{yx} - z''_{yx} = 0\\ 0 + 2zB + 0 + 8xB - B = (2z+8x-1)B=0
∂y∂z=4y+2zzy′+8xzy′−zy′=0∂x∂(4y+2zzy′+8xzy′−zy′)=2zx′zy′+2z(zyx′′)+8zy′+8xzyx′′−zyx′′=00+2zB+0+8xB−B=(2z+8x−1)B=0
三角变换

4.5 全微分
先代后求的思想,二阶时导出一阶才能代 201年真题

4.6 梯旋度
https://www.bilibili.com/video/BV1uZ4y1L7bB/?spm_id_from=…search-card.all.click&vd_source=fa702fdf06f37067126eecf8e12035d1
grad f(x,y,z) 梯度
方向导数取最大的方向或函数增加最快的方向
g
r
a
d
f
(
x
,
y
,
z
)
=
(
∂
f
/
∂
x
,
∂
f
/
∂
y
,
∂
f
/
∂
z
)
grad \ f(x,y,z)=({\partial f/ \partial x,\partial f/ \partial y,\partial f/ \partial z})
grad f(x,y,z)=(∂f/∂x,∂f/∂y,∂f/∂z)
【例题】

方向导数 == 梯度*方向余弦
∂
f
∂
l
∣
(
x
0
,
y
0
,
z
0
)
=
f
x
′
(
x
0
,
y
0
,
z
0
)
cos
α
+
f
y
′
(
x
0
,
y
0
,
z
0
)
cos
β
+
f
z
′
(
x
0
,
y
0
,
z
0
)
cos
γ
\left.\frac{\partial f}{\partial l}\right|_{\left(x_0, y_0, z_0\right)}=f_x^{\prime}\left(x_0, y_0, z_0\right) \cos \alpha+f_y^{\prime}\left(x_0, y_0, z_0\right) \cos \beta+f_z^{\prime}\left(x_0, y_0, z_0\right) \cos \gamma
∂l∂f
(x0,y0,z0)=fx′(x0,y0,z0)cosα+fy′(x0,y0,z0)cosβ+fz′(x0,y0,z0)cosγ
【例题】

rot F(x,y,j) 旋度
rot
A
=
∣
i
j
k
∂
∂
x
∂
∂
y
∂
∂
z
P
Q
R
∣
\operatorname{rot} A=\left|\begin{array}{ccc}i & j & k \\ \frac{\partial}{\partial x} & \frac{\partial}{\partial y} & \frac{\partial}{\partial z} \\ P & Q & R\end{array}\right|
rotA=
i∂x∂Pj∂y∂Qk∂z∂R
【例题】

散度 div A
div
A
=
∂
P
∂
x
+
∂
Q
∂
y
+
∂
R
∂
z
\operatorname{div} \boldsymbol{A}=\frac{\partial P}{\partial x}+\frac{\partial Q}{\partial y}+\frac{\partial R}{\partial z}
divA=∂x∂P+∂y∂Q+∂z∂R
4.7 极值
【例题】

【例题】2021数一
五 接力题典
5.1 入门
- 微分


- 判断连续,可微,可偏等性质


2006

被折叠的 条评论
为什么被折叠?



