【LeetCode 102】二叉树层序遍历:如何利用队列实现“一层一层切蛋糕”?

在二叉树的遍历中,前序、中序、后序遍历通常使用递归(DFS,深度优先搜索)来实现,它们是一头扎到底再回头。
但在很多面试题中,我们需要按照“从上到下、从左到右”的顺序输出节点,这就好比切蛋糕一样,一层一层地处理。这种遍历方式被称为层序遍历(Level Order Traversal)。
解决这个问题的神器不是递归,而是队列(Queue)。今天我们就结合一段标准的 Java 代码,深入剖析**广度优先搜索(BFS)**在二叉树中的应用。
1. 核心思想:广度优先搜索 (BFS)
层序遍历的本质就是 BFS。我们需要一个“候车室”(队列)来暂存当前层的节点。
- 先把第一层的节点(根节点)放入候车室。
- 处理候车室里的节点时,顺便把它的孩子(下一层)按顺序放入候车室排队。
- **先进先出(FIFO)**的特性保证了我们总是先处理完当前层,才会轮到下一层。
2. 代码深度拆解
代码采用了最经典的 BFS 迭代写法,我们可以将其分为三个阶段:
代码总览:
/**
* Definition for a binary tree node.
* public class TreeNode {
* int val;
* TreeNode left;
* TreeNode right;
* TreeNode() {}
* TreeNode(int val) { this.val = val; }
* TreeNode(int val, TreeNode left, TreeNode right) {
* this.val = val;
* this.left = left;
* this.right = right;
* }
* }
*/
class Solution {
public List<List<Integer>> levelOrder(TreeNode root) {
List<List<Integer>> res = new ArrayList<>();
if(root == null) return res;
Queue<TreeNode> queue = new LinkedList<>();
queue.offer(root);
while(!queue.isEmpty()){
int size = queue.size();
List<Integer> list = new ArrayList<>();
while(size != 0)
{
TreeNode cur = queue.poll();
list.add(cur.val);
if(cur.left != null) queue.offer(cur.left);
if(cur.right != null)queue.offer(cur.right);
size --;
}
res.add(list);
}
return res;
}
}
第一阶段:初始化与判空
public List<List<Integer>> levelOrder(TreeNode root) {
List<List<Integer>> res = new ArrayList<>();
// 1. 边界处理:如果是空树,直接返回空列表
if(root == null) return res;
// 2. 准备“候车室”:使用 LinkedList 实现 Queue 接口
Queue<TreeNode> queue = new LinkedList<>();
// 3. 将根节点入队,作为第一层
queue.offer(root);
这里有一个细节:使用 LinkedList 来实例化 Queue 是 Java 中的标准做法,因为 LinkedList 实现了双端队列接口,入队(offer)和出队(poll)操作非常高效。
第二阶段:外层循环(遍历所有层)
// 只要队列不空,说明还有层级没处理完
while(!queue.isEmpty()){
// 【关键点】记录当前队列的大小
int size = queue.size();
List<Integer> list = new ArrayList<>();
这是全段代码最精华的地方!
为什么要专门用一个变量 size 记录 queue.size()?
- 在进入内层循环前,队列里存放的仅仅是当前这一层的所有节点。
- 我们需要知道当前层有几个节点,这样在接下来的处理中,我们才能准确地只弹出这几个节点,而不小心处理到了新加入的下一层节点。
第三阶段:内层循环(批处理当前层)
// 处理当前层的每一个节点
while(size != 0)
{
// 1. 出队:拿出当前层的节点
TreeNode cur = queue.poll();
// 2. 记录值
list.add(cur.val);
// 3. 入队:如果有孩子,把它们加入队列尾部(成为下一层)
if(cur.left != null) queue.offer(cur.left);
if(cur.right != null) queue.offer(cur.right);
// 当前层待处理节点数 -1
size --;
}
// 当前层处理完毕,将结果加入总列表
res.add(list);
}
return res;
}
在这个循环中,队列发生了一个微妙的变化:旧的一层正在离开,新的一层正在进入。
因为我们严格控制了循环次数为 size(旧层的节点数),所以即使新节点加入到了队列尾部,也不会在这一轮循环中被处理。这就完美实现了“分层”。
3. 图解执行流程
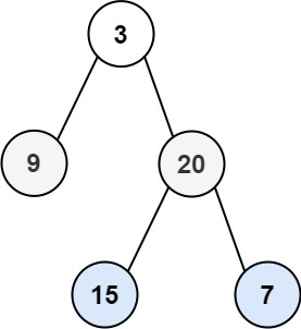
假设输入:[3, 9, 20, null, null, 15, 7]
-
初始状态:
- Queue:
[3] - res:
[]
- Queue:
-
第一轮外循环:
size = 1。- 内循环:弹出
3,加入9,20。Queue:[9, 20]。 - 内循环结束,
list为[3]。 - res:
[[3]]。
-
第二轮外循环:
size = 2(此时队列里有 9 和 20)。- 内循环第1次:弹出
9,无孩子。Queue:[20]。 - 内循环第2次:弹出
20,加入15,7。Queue:[15, 7]。 - 内循环结束,
list为[9, 20]。 - res:
[[3], [9, 20]]。
-
第三轮外循环:
size = 2(此时队列里有 15 和 7)。- 内循环:依次弹出
15和7,无新孩子加入。Queue:[]。 - res:
[[3], [9, 20], [15, 7]]。
-
结束:队列为空,退出。
4. 复杂度分析
- 时间复杂度:
O
(
N
)
O(N)
O(N)。
每个节点进队一次,出队一次,我们遍历了整棵树的 N N N 个节点。 - 空间复杂度:
O
(
N
)
O(N)
O(N)。
- 队列中最多同时存储一层的节点。在最坏情况(完全二叉树的底层),大约包含 N / 2 N/2 N/2 个节点。
- 返回值列表也需要存储 N N N 个节点的值。
5. 总结
这段代码是 BFS 解决二叉树层序遍历的标准模板。
解题的核心在于理解 Queue(队列) 的 FIFO 特性,以及利用 size 变量 对队列中的元素进行“分批处理”。掌握了这个模板,你不仅能解决这道题,还能轻松解决诸如“二叉树的锯齿形层序遍历”、“二叉树的最大深度”、“二叉树的右视图”等一系列变种题目。


被折叠的 条评论
为什么被折叠?



