背景
XOP亿级别题库的试题召回以及搜题的举一反三业务场景都涉及使用文本相似搜索技术,学习此方面技术以便更好的服务于业务场景。
目前基于集合的Jaccard算法以及基于编辑距离的Levenshtein在计算文本相似度场景中有着各自的特点,为了优化具体的计算时间抖动超时问题,需要学习此方面知识。
本文主要内容为文本相似度计算方法的现状、Jaccard、Levenshtein算法实现基本原理以及代码实现论文基于改进的 Jaccard 系数文档相似度计算方法的算法,以及一些召回CASE的测评。
另外一个是测评基于杰卡德改进的字符串长度加权算法,改进之处是对两个字符串长度进行加权,比如杰卡德 * 0.7 + 0.3 *直接使用字符串长度差值的绝对值作为系数。
学习相关旨在原本相似度计算算法基础上寻找效果、性能上的优化点。
参考
-
基于改进的 Jaccard 系数文档相似度计算方法论文 http://www.c-s-a.org.cn/csa/article/pdf/6123
-
莱文斯坦距离概述以及DP实现https://www.zhihu.com/question/315634571/answer/620984468
-
什么是TD-IDFhttps://zh.wikipedia.org/wiki/Tf-idf
-
超级好懂的min-hash算法https://juejin.cn/post/7025522652898918414
-
字符串相似度匹配算法_Jaccard算法优化:https://blog.csdn.net/qq_44272797/article/details/134686733
结论
两种基于杰卡德改进的算法在计算效率上相比原生杰卡德算法都没有优化点(可以忽略)
两种改进的杰卡德算法有着各自特点,相似度效果在XOP试题召回也并没有什么价值,特点如下
-
基于改进的 Jaccard 系数:兼顾特征项权重与 计算效率的文本相似度计算方法,缺点就是相似性不是线形的,适合对关键词权重比较看重的业务场景,比如搜索引擎,推荐系统、文档摘要生成(当需要从大量长文档中提取出简洁准确的摘要时,可以使用该方法来检测文章之间的相似性。虽然具体的内容可能不完全相同,但通过权重分配和考虑特征项,能够找到与目标摘要最相关的文章。)等
-
基于改进的字符长度权重的Jaccard算法:对文本长度相似有一定要求,对内容相似要求不那么严格的场景。文本摘要:在文本摘要生成任务中,要求生成的摘要长度与原始文本长度相似,以便提供简洁的概括。但是,对于内容相似度要求不那么严格,只要摘要能够准确地概括原始文本的主要信息即可。
目录
-
文本相似度计算方法的现状
-
向量空间模型
-
KNN
-
编辑距离
-
集合相似度
-
-
基于改进的Jaccard系数文档原理与尝试代码实现
-
算法原理
-
本地代码实现demo
-
效果测试
-
-
基于改进的字符长度的Jaccard算法测评
-
算法原理
-
算法代码实现
-
效果测评
-
与杰卡德、来温斯坦相似度对比测试
-
测试杰卡德系数权重、长度差值权重对计算相似度影响
-
召回CASE
-
-
1、文本相似度计算方法的现状
1.1、向量空间模型
传统的文本相似度计算方法一般采用向量空间模型[3] , 实际上就是将语义相似度用空间上的相似度来表 达, 对文本进行特征项选取后再对其做加权处理, 用向 量来表示特征项权重, 使这些特征项权重从离散的数 字转化为一个个带向量的分量, 于是文本的相似度计 算就转化成特征项权重在高维空间内的相似度计算[4] .
传统向量空间模型特点
-
这种计算方法简单直观,有效地将文本处理的问题转 化为数学问题.
-
但是在对特征项进行加权时向量空间 模型没有考虑到特征项在文本中的位置信息, 并且忽 略了各个特征项的语义在文本之间的关联性.也就是频率权重和位置权重。
举个例子,下面两个文本
-
文本1: “机器学习是人工智能领域中非常重要的一部分,它可以用于各种任务,包括图像识别和自然语言处理等。”
-
文本2: “计算机视觉是机器学习领域的一个研究方向,主要涉及图像处理和图像识别等技术应用。”
传统方法可能只考虑关键词的出现频率,并将这两篇文章当作包含如下关键词的向量进行比较:
-
关键词向量1:[机器学习, 人工智能, 图像识别, 自然语言处理]
-
关键词向量2:[计算机视觉, 机器学习, 图像处理, 图像识别]
如果我们使用传统方法,可能会直接比较这两个向量之间的相似度,例如通过计算余弦相似度来判断他们的相似程度。但是这样的方法没有考虑到特征项的频率权重和位置权重信息。
-
位置权重:为了解决传统方法的不足, 王小林[8]考虑到特征项在文本中的位置对权重的影响, 对特征项添加了位置权重, 进行信息增益和熵值计算, 虽然该算法在一定程度上提高了查全率和查准率, 但该算法的时间复杂度较高, 还需进一步改进才能运用在实际环境中
-
频率权重:周丽杰[9]将得到的特征项权值经过马尔科夫模型与向 量空间模型的结合, 得到一个总体相似度, 提高了准确 率, 忽略了关键词在不同文档中的权重问题
特征提取之嵌套词串
特征提取也很重要,需要注意特征提取算法中对嵌套词串处理避免丢失重要信息。
涂建军提出的特征提取算法通过对嵌套词串的处理有效地避免了在降维过程中丢失重要信息的问题。
下面是一个例子来说明这个算法的作用:
(1)假设我们有一段文本:“这部电影真的非常好看,情节紧凑、剧情曲折扣人心弦。”
(2)传统的特征提取方法可能会直接将文本拆分成单个词语的集合,比如[“这部”, “电影”, “真的”, “非常”, “好看”,…]。然后可以使用词频或者TF-IDF等方式来表示每个词的重要性,并构建一个稀疏向量来表示整个文本。
(3)但是,在这种方法中,单个词语的顺序和组合并没有得到很好的保留。例如,上述文本中,“剧情曲折扣人心弦” 这个词串表达了电影的核心特点,但在传统方法中却被拆分为独立的单个词语。
(4)而涂建军所提出的特征提取算法则考虑到了嵌套词串,在处理文本时会以更长的片段作为特征单位。
对于上述例子,该算法可以将文本分解为 [“这部电影”, “真的非常”, “好看情节”, “紧凑剧情”, “曲折扣人心弦”] 等嵌套词串。
这样一来,我们就能更好地捕捉到连续出现的相关词语以及它们之间的关系。在文本相似度计算或者其他自然语言处理任务中,这种特征提取方法可以更全面、准确地表达文本的含义和特征。
特征提取之n-gram
什么是n-gram:https://zhuanlan.zhihu.com/p/32829048王贤明提出的基于 n-Gram 的相似度算法操作简单,避免了传统文本相似度计算方法中繁杂的特征提取过程,从而有效地提高了计算效率。
然而,在计算权重的评价函数过程中,该算法采用了随机挑选元素的方法,导致元素权重的不确定性。具体来说,该算法首先将文本进行分词处理,然后根据n-Gram模型生成特征项集合。例如,对于一个二元的2-Gram模型,可以得到所有由两个相邻词组成的特征项。
接下来,通过计算每个特征项在文本中的频率,并结合一些其他因素(如长度惩罚),来计算特征项的权重。
1.2、KNN
上面两个方法则会对每个关键词进行加权,并考虑不同位置上的权重变化。因此,在计算文本相似度时,我们需要综合考虑关键词的权重、位置和波动等因素。虽然考虑了特征项的频率权重以及位置权重对相似性准确度有一定效果。但是还有那种文字特征联系弱,但是上下文有相关联系的场景处理不到,
1、举个例子,下面一个场景,例如,考虑一个搜索主题是"狗粮品牌推荐",另一个搜索主题是"如何训练小狗"。这两个主题在内容上可能没有明显的语义相似性,因为它们涉及到不同的方面:一个是关于狗粮的品牌推荐,另一个是关于狗的训练方法。然而,从实际生活经验中我们可以观察到,人们在选择狗粮之前通常会先了解如何正确地训练小狗。这意味着这两个主题之间存在某种相关性:人们在搜索狗粮品牌之前可能会搜索有关训练小狗的信息。
基于传统向量空间模型优化的方法,可以通过分析大量用户点击行为数据来发现这种潜在的相关性,并将其考虑在搜索结果的排名中。这样,即使两个主题的语义相似度较低,但由于它们之间可能存在隐含的相关关系,搜索引擎可以更好地理解用户的真实需求,并提供更准确、相关的搜索结果。
2、再举一个例子,对于何维的方法,他使用KNN算法来表示文本相似度,并将文本相似度用句子级别来表示。举个例子来说明这种方法可能更好理解。假设我们有两篇新闻文章A和B,它们分别是关于足球比赛的报道。我们要判断这两篇文章是否相似。
-
在传统的文本相似度计算方法中,我们通常会将文章A和文章B转换为向量表示(比如词袋模型),然后计算它们之间的余弦相似度或欧氏距离等指标来衡量它们的相似程度。但是这些方法无法考虑到文章中每个句子的重要性以及句子之间的关联。
-
而何维的方法则采用了不同的思路。首先,他将文章A和文章B拆解成多个句子,并计算每个句子之间的相似度。然后,通过KNN算法找出最相关的几个句子并计算它们的平均相似度作为整个文章的相似度。
例如,如果文章A包含以下三个句子:
-
“昨天晚上巴塞罗那队与皇马队的足球比赛非常精彩。”
-
“梅西在比赛中表现出色,打进了两个进球。”
-
“皇马队则依靠贝尔的帽子戏法赢得了比赛。”
文章B包含以下三个句子:
-
“切尔西队与曼联队的足球比赛在本周末进行。”
-
“这场比赛吸引了众多球迷的关注。”
-
“最终切尔西以2-1的比分战胜了曼联。”
通过计算每个句子之间的相似度,并使用KNN算法找出最相关的几个句子(比如选择前两个句子)来计算平均相似度。假设我们得到的结果是0.8,则可以认为文章A和文章B相似程度较高。这种方法考虑了句子级别的相似度,能够更全面地表示文本之间的相似度,相比传统方法来说具有一定的优势。
传统的文本分类方法可能会将每个文档转换成由词频构成的向量,在高维空间中进行计算,然后使用某种机器学习算法训练分类模型。但是当邮件的数量非常庞大时,向量的维度也会变得非常高,并且随着邮件数量的增加,处理起来会越来越困难。
而K-nearest模型则采用了近邻思想,即将每个文档视为一个点在高维空间中的位置,通过寻找最近的K个文档来确定该文档的类别。在这个例子中,我们可以选取K=5,然后通过计算待分类文档与训练集中其他文档的相似度(比如使用余弦相似度),并选择最近的5个文档来判断其类别。
1.3、字符串编辑距离
一般的编辑距离实现算法如来温斯坦距离。算法详解与实现https://cloud.tencent.com/developer/article/1649884
// 一般的dfs
class Solution:
def minDistance(self, s: str, t: str) -> int:
n, m = len(s), len(t)
@cache
def dfs(i, j):
if i < 0: return j + 1
if j < 0: return i + 1
if s[i] == t[j]: return dfs(i - 1, j - 1)
return min(dfs(i - 1, j), dfs(i, j - 1), dfs(i - 1, j - 1)) + 1
return dfs(n - 1, m - 1)
// 二维DP
状态转移一,对字符串A插入操作,需要插入的值是B字符串的最后一个字母,所以问题变成了求“abcd”与“abcd”的编辑距离,现在最后一个字母相同,可以用之前得到的结论,继而问题成了求“abc”与“abc”的编辑距离。这样看来,其实是把最初的问题转移了:求“abc”与“abcd”编辑距离 = 求“abc”与“abc”的编辑距离 + 1。“+1”是因为我们对字符串A做了一个插入操作。
状态转移二,对字符串A删除操作。问题成了这样:求“abc”与“abcd”的编辑距离 = 求“ab”与“abcd”的编辑距离 + 1。
状态转移三,对字符串A替换操作。替换操作是比较隐晦的,不易看出来(对电脑而言),我们需要额外举例。现在字符串A = “abcd” 字符串B = “abce”,肉眼能够分辨,将字符串A最后一个字母“d”换成“e”,A就变成B了。可计算机没那么聪明,它需要一个字母一个字母的去比较。当同时去掉字符串A与字符串B的最后一个字母,如果剩下字符串相同,那么我们认为两个字符串之间的转换可以通过一个替换操作完成。
class Solution {
public int minDistance(String word1, String word2) {
int len1=word2.length();
int len2=word1.length();
int dp[][]=new int[len1+1][len2+1];
for(int i=1;i<=len1;i++) dp[i][0]=i;
for(int i=1;i<=len2;++i) dp[0][i]=i;
for(int i=1;i<=len1;i++){
for(int j=1;j<=len2;j++){
if(word2.charAt(i-1)!=word1.charAt(j-1)){
dp[i][j]=Math.min(dp[i-1][j-1],Math.min(dp[i-1][j],dp[i][j-1]))+1;
}else dp[i][j]=dp[i-1][j-1];
}
}
return dp[len1][len2];
}
}
// 一维DP,将空间复杂度从o(mn)压缩到o(min(m,n))
// 状态压缩
public class EditDistance {
public static int minDistance(String word1, String word2) {
// 获取字符串长度
int m = word1.length(); // abc
int n = word2.length(); // abcd
// 初始化一维DP数组
int[] dp = new int[n + 1];
// 初始化第一行,表示将空串转换成word2的前j个字符所需的操作次数
// word1 = "" 情况
for (int j = 0; j <= n; j++) {
dp[j] = j; // [0,1,2,3,4]
}
/**
* a b c
* a
* b
* c
* d
*
*/
// 迭代计算每一行的值
// 以上代码通过一个一维数组dp来保存每行的值,prev变量用于存储上一轮迭代的dp[j-1]的值。在每次更新dp[j]时,需要先将当前位置的值temp保存起来供下一轮使用。
for (int i = 1; i <= m; i++) {
int prev = dp[0]; // 对角线的值
dp[0] = i; // 本轮开始
for (int j = 1; j <= n; j++) {
int temp = dp[j];
if (word1.charAt(i - 1) == word2.charAt(j - 1)) {
dp[j] = prev; // 字符相等,不需要进行操作
} else {
dp[j] = Math.min(prev, Math.min(dp[j], dp[j - 1])) + 1;
}
prev = temp;
}
}
return dp[n];
}
}
G Sidorov和贾惠娟则从不同的角度出发,分别探索了基于树编辑距离和结合特征词知识库的新颖计算方法,在实验中也取得了更好的结果。这些研究为我们在处理文本相似度问题时提供了更多有益的思路和工具。基于编辑距离的基础, G Sidorov[6]提出使用 一种树编辑距离的算法来计算文本相似度, 实验结果 的准确率高于编辑距离. 贾惠娟[7]在有特征词知识库支 持的前提条件下, 提出将编辑距离与向量空间模型相 结合构建一种新的文本相似度计算模型, 虽然在数据 预处理的过程中可能会丢失一些文本特征项, 但是用 于领域文档查询也取得不错的效果.
**主要是提升相似准确性,**举个例子假设我们有两个句子:句子A是"我喜欢吃苹果",句子B是"我不喜欢吃橙子"。传统的编辑距离算法只考虑了单词之间的差异,它会将这两个句子视为完全不相似的。但是,G Sidorov提出的树编辑距离算法可以更好地捕捉到结构上的相似性。通过将句子转化成语法树,并计算树之间的编辑距离,该算法能够发现句子A和句子B中都存在着"我喜欢吃"这样一个共同的片段,从而得出它们在某种程度上是相关的。贾惠娟则进一步探索了将编辑距离与向量空间模型相结合来计算文本相似度。在她的方法中,首先使用编辑距离算法计算两个句子的相似度分数,然后再与特征词知识库中的权重进行加权。这样一来,不仅考虑了词汇层面的相似性,还充分利用了特征词的语义信息,使得相似度计算更准确。
1.4、集合相似度
一般的共同元素相似性计算实现方法如Jaccard系数。https://www.cnblogs.com/bourneli/archive/2013/04/04/2999767.htmlJaccard相似度是衡量两个集合之间相似性的一种常用方法,它利用集合中共同元素的数量来计算相似度。可以将其应用于文本相似度的计算。举个例子,假设我们有两个句子:“我喜欢吃苹果"和"我爱吃水果”。通过将每个句子分词并构建词汇表,将每个句子表示为一个词语的集合:{我, 喜欢, 吃, 苹果}和{我, 爱, 吃, 水果}。接下来,我们可以使用 Jaccard 相似度来计算这两个句子之间的相似度。具体而言,Jaccard 相似度计算公式如下:J(A, B) = |A ∩ B| / |A ∪ B|
-
其中,A 和 B 分别代表两个句子的词语集合,
-
|A ∩ B| 表示 A 和 B 之间共同存在的词语数量
-
|A ∪ B| 则表示 A 和 B 的总词语数量。
对于上述例子中的两个句子,共同存在的词语数量为3({我, 吃}),总词语数量为6。因此,它们之间的 Jaccard 相似度为 3/6 = 0.5。
通过计算 Jaccard 相似度,我们可以衡量文本之间的相似性,并用于文本聚类、社团发现等任务。这里提到的孙宇的研究使用 Jaccard 相似度实现了社团发现和聚类研究,通过计算文本集合之间的相似度来找出具有相似主题或内容的文本群体。
这种如果涉及语意层面相似度计算,那么计算的有可能不太准了,如下面demo,两句话语意计算的不准确,但是Jaccard计算的相似度为1.0
public static void main(String[] args) {
String s1 = "你好,你不是我的朋友";
String s2 = "你不好,我的朋友是你";
List<Integer> s1Chars = s1.chars().distinct().boxed().collect(Collectors.toList());
System.out.println("s1 元素ASCII集合:" + s1Chars);
List<Integer> s2Chars = s2.chars().distinct().boxed().collect(Collectors.toList());
System.out.println("s2 元素ASCII集合:" + s2Chars);
long sameChars = CollectionUtils.intersection(s1Chars, s2Chars).size();
double denominator = CollectionUtils.union(s1Chars, s2Chars).stream().distinct().count();
System.out.println("Jaccard 相似性系数为: " + sameChars / denominator); // 1.0
}
基于min-hash的进阶版Jaccard
min-hash算法就是一个在Jaccard距离基础之上进行改进,带有降维功能的进阶版Jaccard距离。如果两个集合的维度是成百万上千万的,那么比较适合,否则计算的相似度不准确。尽管Jaccard距离本身是一个不复杂的概念,然而,随着集合的维度的增加,计算集合之间的Jaccard距离的计算成本也呈指数级增长,因此我们不得不思考一个问题:如何降低运算的复杂度?
2、基于改进的Jaccard系数文档原理与尝试代码实现
针对传统方法的不足最简单粗暴的Jaccard算法的不足, 下面参考基于改进的 Jaccard 模型的计算方法提出的一种兼顾特征项权重与 计算效率的文本相似度计算方法, 用以获得更准确的 文本信息描述, 提高文本分类性能.本地尝试代码实现。
参考论文:基于改进的 Jaccard 系数文档相似度计算方法论文 http://www.c-s-a.org.cn/csa/article/pdf/6123
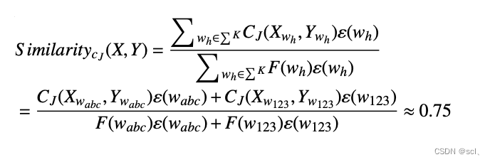
2.1、算法原理
公式

计算相似度,使用Jaccard相似系数算法。从字符串根据滑动窗口选取子串进行权重相似度计算,以下介绍本文方法的主要步骤:
-
(1) 给定参数 K, K 为文档中移动窗口大小. 给定两个文档长度分别为 n1、n2 的文档 X 和文档 Y. 确定文档中长度为 K 的元素个数, 并计算每个元素在文档中所占的比重;
-
(2) 计算每个元素的 Jaccard 相似度;
-
(3) 计算每个元素在所有长度为 K 的元素中所占的比重;
-
(4) 确定每个 K 字元素的权重;
-
(5) 汇总所有 K 字元素相似度, 计算文档相似度
2.2、算法代码实现
/**
* 计算相似度,使用Jaccard相似系数算法。从字符串根据滑动窗口选取子串进行权重相似度计算
* 以下介绍本文方法的主要步骤:
* (1) 给定参数 K, K 为文档中移动窗口大小. 给定两个文档长度分别为 n1、n2 的文档 X 和文档 Y. 确定文档中长度为 K 的元素个数, 并计算每个元素在文档中所占的比重;
* (2) 计算每个长度为 K 元素的 Jaccard 相似度;
* (3) 计算每个元素在所有长度为 K 的元素中所占的比重;
* (4) 确定每个 K 字元素的权重;
* (5) 汇总所有 K 字元素相似度, 计算文档相似度
* @param left
* @param right
* @param denominatorPolicy
* @param windowLength 滑动窗口的大小
* @return
*/
private static double similarityByJaccardBySlidingWindow(String left, String right, JaccardDenominatorPolicy denominatorPolicy,int windowLength) {
// 检验窗口大小
int leftLen = StringUtils.length(left);
int rightLen = StringUtils.length(right);
int minLen = Math.min(leftLen, rightLen);
if(minLen < windowLength){
windowLength = minLen;
}
// 窗口元素个数
int leftElementLen = leftLen - windowLength + 1;
int rightElementLen = rightLen - windowLength + 1;
// 统计窗口元素出现的次数
Map<String,Double> leftWindowElementWeightMap = Maps.newHashMap();
Map<String,Double> rightWindowElementWeightMap = Maps.newHashMap();
for (int i = 0; i < leftElementLen; i++) {
String substring = left.substring(i, i + windowLength);
leftWindowElementWeightMap.put(substring,leftWindowElementWeightMap.getOrDefault(substring,0.0) + 1);
}
for (int i = 0; i < rightElementLen; i++) {
String substring = right.substring(i, i + windowLength);
rightWindowElementWeightMap.put(substring,rightWindowElementWeightMap.getOrDefault(substring,0.0) + 1);
}
// 计算窗口元素权重
Set<String> leftWindowElementSet = leftWindowElementWeightMap.keySet();
Set<String> rightWindowElementSet = rightWindowElementWeightMap.keySet();
for (String element : leftWindowElementSet) {
leftWindowElementWeightMap.put(element,leftWindowElementWeightMap.get(element) / leftElementLen);
}
for (String element : rightWindowElementSet) {
rightWindowElementWeightMap.put(element,rightWindowElementWeightMap.get(element) / rightElementLen);
}
// 存在两个集合的窗口元素
Collection<String> shareWindowElements = CollectionUtils.intersection(leftWindowElementSet, rightWindowElementSet);
// 计算同时存在两个集合的窗口元素的Jaccard系数 , 采用 min(weight) / max(weight)
Map<String,Double> shareWindowElementJaccardMap = new HashMap<>();
for (String element : shareWindowElements) {
Double leftWeight = leftWindowElementWeightMap.get(element);
Double rightWeight = rightWindowElementWeightMap.get(element);
shareWindowElementJaccardMap.put(element,leftWeight < rightWeight ? leftWeight / rightWeight : rightWeight / leftWeight);
}
// 计算同时存在两个集合的窗口元素的Weight系数 ,窗口元素出现的次数 / 全部窗口元素的个数
Map<String,Double> shareWindowElementWeightMap = new HashMap<>();
for (String element : shareWindowElements) {
double count = (leftWindowElementWeightMap.get(element) * leftElementLen) + (rightWindowElementWeightMap.get(element) * rightElementLen);
Double weight = count / (leftElementLen + rightElementLen);
shareWindowElementWeightMap.put(element,weight);
}
// 计算最后的结果
double molecular = 0.0;
double denominator = 0.0;
for (String element : shareWindowElements) {
molecular += shareWindowElementJaccardMap.get(element) * shareWindowElementWeightMap.get(element);
denominator += shareWindowElementWeightMap.get(element);
}
return molecular / denominator;
}
2.3、效果测评
经过下面系列测试
-
2.3.1、与杰卡德、莱文斯坦相似度结果对比测试
-
2.3.2、测试n-gram对相似度影响
-
2.3.3、召回CASE测试1
-
**2.3.3、召回CASE测试2 **
-
2.3.4、召回CASE测试3
总的来说,该算法目前该场景无实用价值,按照关键词以及权重计算相似性,相比普通的杰卡德有着关键词相似联系的特点,但是相似结果和真实的相似结果是非线形的,也就是波动比较大,相似度效果也并不是很准,目前该场景无实用价值;效率会提升一点点(基本可以忽略)
-
效果:改进杰卡德算法n-gram值越大,相似度要求越来严格,也就是两个不太相似的文本段落相似度得分越来越低。整体来说,改进版杰卡德算法其实类似分词计算相似度,会根据分词的词频、权重影响相似度,较长文本(文章)适合设置n-gram较为大值,较短文本(试题题干)适合设置n-gram为较小的值(比如1-4)。
-
性能:理论n-gram >= 1 的时候,两个文本段落A、B理论集合数量为 len(A) - n-gram + 1、len(B) - n-gram + 1,相比原本杰卡德算法两个集合A、B数量为len(A)、len(B)减少了n-gram个,因此性能会略微好一点,但是相差不大。
ps:n-gram也就是窗口的大小,取值不同会影响最终的相似度结果,论文中说在n-gram = 7数据量较大的时候和相似度线性相关。
2.3.1、与杰卡德、莱文斯坦相似度结果对比测试
**测试结论:**设置n-gram = 7
-
性能方面,少量CASE和简单粗暴的杰卡德性能不相上下
-
效果方面,少量CASE下,相似度准确度量还是可以的,相比莱文斯坦特征不那么生硬,相比最简单粗暴的杰卡德有有着结合窗口特这个权重、窗口特征频率等相关相似性效果。
String[] searchTexts = {
"化学的研究对象是 A.物质 B物体 C.运动 D.实验",
"1.银是一种银白色金属,密度较大,具有良好的 导电性,长期放置会被氧化而发黑、其中属 于银的化学性质的是 () A.银白色 B.密度较大 C.导电性良好 D.能被氧化",
"6.非洲最高峰乞力马扎罗山是著名的“赤道雪山”,导致其顶部出现积雪的 因素是()。 A.纬度 B.海陆 C.地形 D.洋流",
"7. 复合题题干 (1)小问1 A. 选 4.项1 B. 选项2 C. 选项3 D. 选项4 (2)小问2 A. 选项1 B. 选项2 C. 选项3 D. 选项4",
"如图所示 一、”认真细致”填一填!(24分,每格1分。)1.在 $$1.4 \\dot{4}\\dot{5},1. \\dot{4}5,1. \\dot{5},1. \\dot{5},1. \\dot{5},1. \\dot{5},1. \\dot{5},1. \\dot{5},1. \\dot{5},1. \\dot{5},1. \\dot{5},1. \\dot{5},1. \\dot{5},1. \\dot{5},1. \\dot{5},1. \\dot{5},1. \\dot{5},1. \\dot{5},1.1.$$ 这四个数中,最大的数是(),最小的数是()2.根据356×24=8544,那么35.6×()-()×240=85.44。",
"1.计算下面各题. (1)27×11. (3)39×11. (5)92×11. (6)98×11.",
"—How many birds do you see? — A. I have 11. B. I'm 11. C. I see 11.",
"不等式 7−6x−x^2>0 的解集为( ) A. [−7,1] B. (−7,1) C. (−∞,−7]∪[1.+∞) D. (−∞,−7)∪(1.+∞)",
"zhaoquīlxiěchūshù&四、找规律写出数字。(16分)1.&4610142.510153045",
"1.给下列加点的字注音或根据拼音写汉字。, 阻碍() 堕落() jue ()择, jiao ()辩 强词夺理()",
"试题分析:本文叙述的是在上学时得知母亲去世的消息,我不断怀念母亲,认为他是我心中的英雄,是个伟大的人。 细节理解题。根据第一段When we returned to school,my teacher told me to go to the headmaster‘s office,当我们返回学校时,老师把我们叫到校长办公室。故得出C项。 细节理解题。根据第一段The police officer told me what had happened and we went to pick my sister up,警察告诉我发生的事,所以选D项。 细节理解题。根据第二段On the next day,the headmaster came and told my two teachers what had happened,第二天,校长过来告诉我的两个老师所发生的事 根据When my teacher took me outside,my sister ran up to me. She started crying,“She‘s gone. Teresa,mommy’s gone.得知母亲去世。故选B项。 细节推断题。根据最后一段When someone asks me who my hero is,I tell them,my mother. My mother lives every day. That is what makes her a true hero B项。 细节理解题。very good根据最后一段When someone asks me who my hero is,I tell them,my mother,母亲是个伟大的人,故选D项。",
"\"I love you\" might be one of the most important sentences in the English language. very good.It shows the closeness among family members and friends. In Mandarin, \"I love you\" translates as “我爱你”, but the way it's used in China might be a little different, and Chinese are wondering why. The Global Times reports that two online videos showing children telling their parents \"I love you\" have been widely spread in China. The first, filmed by an Anhui TV station, shows a number of college students telling their parents they love them. The answers are mixed. \"Are you drunk?\" asked one parent. In another similar video, a father even said— \"I am going to a meeting, so cut the crap.\" Even the positive attitudes make it clear that the words are expressed rarely. \"I am so happy you called to say that. It is the happiest thing that happened to me in 2014,\" one parent answered. However, Chinese families hardly use those words. \"The parents' answers show that many Chinese are not good at expressing positive feelings,\" Xia Xueluan, a Sociologist from Peking University, told the Global Times. \"They are used to educating children with negative language.\" This isn't the first time that China has done some soul-searching about familial love — last year China Daily asked a lot of people if they said 'I love you' to their parents, lovers, and children. \"I have never said 'I love you' to my family, and I don't think I will in the future,\" one 56-year-old told the paper, \"Saying it aloud is embarrassing for me.\" Still, that doesn't mean that love can't be expressed. In another article, China Daily spoke to Zhao Mengmeng, a 31-year-old woman who said she had never told her father she loved him face-to-face. Sometimes actions speak louder than words, however — Zhao gave her father, a photo album featuring photographs of them together on every one of her birthdays in June 2012. The pictures were popular online, being forwarded hundreds of thousands of times on Weibo. Her father was very excited when he heard about it. What does the underlined word Mandarin probably mean? French Japanese English Chinese What can we infer(推断) from the parents’ answers in Paragragh3 and 4? Some parents don’t love their children. Parents in China are too busy. Most Chinese students rarely express their positive feelings to their parents. Children in China are always taught negative language. What will that 56-year-old person feel if he/she says “I love you” to the families? embarrassed excited proud unhappy Why did Zhao give her father a photo album instead of saying \"I love you\"? The album is more expensive. His father likes the album better. She thinks actions speak louder than words sometimes. She hates saying \"I love you\" to her father. What’s the best title for the passage? I Love You A Photo Album Two Online Videos Family members",
"阅读下面短文, 完成短文后的问题。 In many English homes, people eat four meals a day. Breakfast is a very big meal. very good.It shows the closeness among family members and friends. People have eggs, tomatoes or bread and drink tea or coffee at breakfast. For many people, lunch is a quick meal. In sandwich bars, office workers can buy all kinds of salad sandwiches and bread. School children often have their meals at school, but many just take a sandwich, a drink and some fruit from home. Afternoon tea comes between lunch and evening meal. \"Tea\" means(意味着)two things. It is a drink and a meal. Some people have afternoon tea with sandwiches, cakes and a cup of tea. \"Dinner” is the main(主要的)meal of the day. They usually have the evening meal quite early, all the the family often eat together between six and eight. And they eat all kinds of things. First, they have soup, then they have meat, fish and vegetables. After that, they eat some fruit, like bananas, apples or oranges. Some people also eat ice-cream after dinner. How many meals do many English people have? What do English people have at breakfast ? Where do school children often have their lunch? Does \"afternoon tea\" only mean a drink? What do you think of \"Dinner\"? Why?",
"What do you think robots are able to do? You might be able to find one that fits your needs at the World Robot Conference (WRC) 2022 in Beijing. It was held from Aug 18 to 21, more than 500 robots were on display at the WRC. From human-like robots that look surprisingly lively to robots that can make jianbing 24 hours a day, this year’s WRC showed not only cutting-edge (尖端的) inventions, but also Chinese culture and youth power. A fruit-picking robot attracted visitors’ attention. With the help of different kinds of sensors (传感器) and an AI system, the robot can collect fruit according to its ripeness, quality and size. Wu Jiafeng, the exhibitor of the fruit-picking robot, told CCTV that more robotic technology will be used in agriculture (农业) in the future, including robots for daily inspection (巡检) and weeding (除草). Students from BDA School of the High School Affiliated to Renmin University of China (人大附中北京经济技术开发区学校) had their own exhibition at the WRC. Although they are young, the students brought fascinating inventions and ideas. For example, Wang Zirun, a junior student at the school, designed a three-dimensional parking facility (架空式立体停车机). Since there are usually too few parking spaces in older communities, Wang’s work aims to fit more cars into current parking spots. The facility works like a sky wheel with six parking spots. When cars need to be picked up, the facility rotates steadily, placing the car on the ground. How long did the World Robot Conference (WRC) 2022 last? 2 days 3 days 4 days 5 days Which kind of robot is mentioned in this passage? Human-like robots fruit-picking robots animal-like robots robots that can make jianbing What can help a fruit-picking robot work? Sensors AI systems ripeness A& B What is Wu Jiafeng? an exhibitior a visitor an inventor a designer Why did Wang Zirun design the three-dimensional parking facility? Because it is like a sky wheel with six parking spots. Because there are usually few parking spots in older communities. Because it can attract the visitors’ attention. Because it will be used in agriculture.",
"用所给词的适当形式填空。每词限用一次。 shut off support nod examine behave Mrs Brown when her students greeted her. The lights must when we leave the classroom. I believe John well next time. His parents many of his races since he became a runner on his school team. John what was wrong with his computer when I came back home.",
"危ない!その中に入る_。 なあ かな な ぞ",
"阅读下面的文字,完成下面小题。 材料一: 刘姥姥吃毕了饭,拉了板儿过来,舔舌咂嘴的道谢。凤姐笑道:“且请坐下,听我告诉你老人家。方才的意思,我已知道了。①若论亲戚之间,原该不等上门来就该有照应才是。但如今家内杂事太烦,太太渐上了年纪,一时想不到也是有的。况是我近来接着管些事,都不知道这些亲戚们。二则外头看着虽是烈烈轰轰的,殊不知大有大的艰难去处,说与人也未必信罢。今儿你既老远的来了,又是头一次见我张口,怎好叫你空回去呢。可巧昨儿太太给我的丫头们做衣裳的二十两银子,我还没动呢,你若不嫌少,就暂且先拿了去罢。” 那刘姥姥先听见告艰难,只当是没有,心里便突突的,后来听见给他二十两,喜的又浑身发痒起来,说道:“嗳,我也是知道艰难的。但俗语说的‘瘦死的骆驼比马大’,凭他怎样,你老拔根寒毛比我们的腰还粗呢!” 周瑞家的见他说的粗鄙,只管使眼色止他。凤姐看见,笑而不睬,只命平儿把昨儿那包银子拿来,再拿一吊钱来,都送到刘姥姥的跟前。凤姐乃道:“这是二十两银子,暂且给这孩子做件冬衣罢。若不拿着,就真是怪我了。这钱雇车坐罢。改日无事,只管来逛逛,方是亲戚们的意思。天也晚了,也不虚留你们了,到家里该问好的问个好儿罢。”一面说,一面就站了起来。 刘姥姥只管千恩万谢的,拿了银子钱,随了周瑞家的来至外面,仍从后门去了。 (选自《红楼梦》第六回,有删改) 材料二: ②那刘姥姥入了坐,拿起箸来,沉甸甸的不伏手。原是凤姐和鸳鸯商议定了,单拿一双老年四楞象牙镶金的筷子与刘姥姥。刘姥姥见了,说道:“这叉爬子比俺那里铁锹还沉,那里拿的动?”说的众人都笑起来。 只见一个媳妇端了一个盒子站在当地,一个丫鬟上来揭去盒盖,里面盛着两碗菜。李纨端了一碗放在贾母桌上。凤姐儿偏拣了一碗鸽子蛋,放在刘姥姥桌上。贾母这边说声“请”,刘姥姥便站起身来,高声说道:“老刘,老刘,食量大似牛,吃一个老母猪不抬头。”说着,却鼓着腮帮子,两眼直视,一声不语。众人先是发怔。后来一听,上上下下都哈哈大笑起来。湘云掌不住,一口饭都喷了出来;黛玉笑岔了气,伏着桌子只叫“嗳哟”;宝玉早滚到贾母怀里,贾母笑的搂着宝玉叫“心肝”;王夫人笑的用手指着凤姐儿,只说不出话来;薛姨妈也掌不住,口里的茶喷了探春一裙子;探春手里的饭碗都合在迎春身上;惜春离了坐位,拉着他奶母叫揉一揉肠子。地下的无一个不弯腰屈背。也有躲出去蹲着笑去的,也有忍着笑上来替他姊妹换衣裳的。独有凤姐、鸳鸯二人掌着,还只管让刘姥姥。刘姥姥拿起箸来,只觉不听使,又说道:“这里的鸡儿也俊,下的这蛋也小巧。怪俊的,我且抓得一个儿。” 众人方住了笑,听见这话,又笑起来。贾母笑的眼泪出来,琥珀在后捶着。贾母笑道:“这定是凤丫头促狭鬼儿闹的,快别信他的话了。”那刘姥姥正夸鸡蛋小巧,凤姐儿笑道:“一两银子一个呢,你快尝尝罢,冷了就不好吃了。”刘姥姥便伸箸子要夹,那里夹的起来,③满碗里闹了一阵,好容易撮起一个来,才伸着脖子要吃,偏又滑下来,滚在地下,忙放下箸子要亲自去捡,早有地下的人捡了出去了。刘姥姥叹道:“一两银子,也没听见响声儿就没了。”众人已没心吃饭,都看着他笑。 (选自《红楼梦》第四十回,有删改) 材料三: 只见平儿同刘姥姥带了一个小女孩儿进来,说:“我们姑奶奶在那里?”平儿引到炕边,刘姥姥便说:“请姑奶奶安。”凤姐睁眼一看,不觉一阵伤心,说:“姥姥你好?怎么这时候才来?你瞧你外孙女儿也长的这么大了。”刘姥姥看着凤姐骨瘦如柴,神情恍惚,心里也就悲惨起来,说:“我的奶奶,怎么这几个月不见,就病到这个分儿。我糊涂的要死,怎么不早来请姑奶奶的安!”便叫青儿给姑奶奶请安。青儿只是笑,凤姐看了倒也十分喜欢,便叫小红招呼着。 这里平儿恐刘姥姥话多,搅烦了凤姐,便拉了刘姥姥说:“你提起太太来,你还没有过去呢。我出去叫人带了你去见见,也不枉来这一趟。”刘姥姥便要走。凤姐道:“忙什么,你坐下,我问你近来的日子还过的么?”刘姥姥千恩万谢的说道:“我们若不仗着姑奶奶”,说着,指着青儿说:“他的老子娘都要饿死了。如今虽说是庄家人苦,家里也挣了好几亩地,又打了一眼井,种些菜蔬瓜果,一年卖的钱也不少,尽够他们嚼吃的了。这两年姑奶奶还时常给些衣服布匹,在我们村里算过得的了。阿弥陀佛,前日他老子进城,听见姑奶奶这里动了家,我就几乎唬杀了。亏得又有人说不是这里,我才放心。后来又听见说这里老爷升了,我又喜欢,就要来道喜,为的是满地的庄家来不得。昨日又听说老太太没有了,我在地里打豆子,听见了这话,唬得连豆子都拿不起来了,就在地里狠狠的哭了一大场。我和女婿说,我也顾不得你们了,不管真话谎话,我是要进城瞧瞧去的。④我女儿女婿也不是没良心的,听见了也哭了一回子,今儿天没亮就赶着我进城来了。我也不认得一个人,没有地方打听,一径来到后门,进了门找周嫂子,再找不着,撞见一个小姑娘,说周嫂子他得了不是了,撵了"
};
String[] stemTexts = {
"化学的研究对象是 A.物质 B物体 C.运动 D.实验",
"银是一种银白色金属,密度较大,具有良好的 导电性,长期放置会被氧化而发黑、其中属 于银的化学性质的是 () A.银白色 B.密度较大 C.导电性良好 D.能被氧化",
"非洲最高峰乞力马扎罗山是著名的“赤道雪山”,导致其顶部出现积雪的 因素是()。 A.纬度 B.海陆 C.地形 D.洋流",
" 复合题题干 (1)小问1 A. 选 4.项1 B. 选项2 C. 选项3 D. 选项4 (2)小问2 A. 选项1 B. 选项2 C. 选项3 D. 选项4",
"如图所示 一、”认真细致”填一填!(24分,每格1分。)1.在 $$1.4 \\dot{4}\\dot{5},1. \\dot{4}5,1. \\dot{5},1. \\dot{5},1. \\dot{5},1. \\dot{5},1. \\dot{5},1. \\dot{5},1. \\dot{5},1. \\dot{5},1. \\dot{5},1. \\dot{5},1. \\dot{5},1. \\dot{5},1. \\dot{5},1. \\dot{5},1. \\dot{5},1. \\dot{5},1.1.$$ 这四个数中,最大的数是(),最小的数是()2.根据356×24=8544,那么35.6×()-()×240=85.44。",
"计算下面各题. (1)27×11. (3)39×11. (5)92×11. (6)98×11.",
"—How many birds do you see? — A. I have 11. B. I'm 11. C. I see 11.",
"不等式 7−6x−x^2>0 的解集为( ) A. [−7,1] B. (−7,1) C. (−∞,−7]∪[1.+∞) D. (−∞,−7)∪(1.+∞)",
"zhaoquīlxiěchūshù&四、找规律写出数字。(16分)1.&4610142.510153045",
"给下列加点的字注音或根据拼音写汉字。, 阻碍() 堕落() jue ()择, jiao ()辩 强词夺理()",
"试题分析:本文叙述的是在上学时得知母亲去世的消息,我不断怀念母亲,认为他是我心中的英雄,是个伟大的人。 细节理解题。根据第一段When we returned to school,my teacher told me to go to the headmaster‘s office,当我们返回学校时,老师把我们叫到校长办公室。故得出C项。 细节理解题。根据第一段The police officer told me what had happened and we went to pick my sister up,警察告诉我发生的事,所以选D项。 细节理解题。根据第二段On the next day,the headmaster came and told my two teachers what had happened,第二天,校长过来告诉我的两个老师所发生的事 根据When my teacher took me outside,my sister ran up to me. She started crying,“She‘s gone. Teresa,mommy’s gone.得知母亲去世。故选B项。 细节推断题。根据最后一段When someone asks me who my hero is,I tell them,my mother. My mother lives every day. That is what makes her a true hero B项。 细节理解题。根据最后一段When someone asks me who my hero is,I tell them,my mother,母亲是个伟大的人,故选D项。",
"\"I love you\" might be one of the most important sentences in the English language. It shows the closeness among family members and friends. In Mandarin, \"I love you\" translates as “我爱你”, but the way it's used in China might be a little different, and Chinese are wondering why. The Global Times reports that two online videos showing children telling their parents \"I love you\" have been widely spread in China. The first, filmed by an Anhui TV station, shows a number of college students telling their parents they love them. The answers are mixed. \"Are you drunk?\" asked one parent. In another similar video, a father even said— \"I am going to a meeting, so cut the crap.\" Even the positive attitudes make it clear that the words are expressed rarely. \"I am so happy you called to say that. It is the happiest thing that happened to me in 2014,\" one parent answered. However, Chinese families hardly use those words. \"The parents' answers show that many Chinese are not good at expressing positive feelings,\" Xia Xueluan, a Sociologist from Peking University, told the Global Times. \"They are used to educating children with negative language.\" This isn't the first time that China has done some soul-searching about familial love — last year China Daily asked a lot of people if they said 'I love you' to their parents, lovers, and children. \"I have never said 'I love you' to my family, and I don't think I will in the future,\" one 56-year-old told the paper, \"Saying it aloud is embarrassing for me.\" Still, that doesn't mean that love can't be expressed. In another article, China Daily spoke to Zhao Mengmeng, a 31-year-old woman who said she had never told her father she loved him face-to-face. Sometimes actions speak louder than words, however — Zhao gave her father, a photo album featuring photographs of them together on every one of her birthdays in June 2012. The pictures were popular online, being forwarded hundreds of thousands of times on Weibo. Her father was very excited when he heard about it. What does the underlined word Mandarin probably mean? French Japanese English Chinese What can we infer(推断) from the parents’ answers in Paragragh3 and 4? Some parents don’t love their children. Parents in China are too busy. Most Chinese students rarely express their positive feelings to their parents. Children in China are always taught negative language. What will that 56-year-old person feel if he/she says “I love you” to the families? embarrassed excited proud unhappy Why did Zhao give her father a photo album instead of saying \"I love you\"? The album is more expensive. His father likes the album better. She thinks actions speak louder than words sometimes. She hates saying \"I love you\" to her father. What’s the best title for the passage? I Love You A Photo Album Two Online Videos Family members",
"阅读下面短文, 完成短文后的问题。 In many English homes, people eat four meals a day. Breakfast is a very big meal. People have eggs, tomatoes or bread and drink tea or coffee at breakfast. For many people, lunch is a quick meal. In sandwich bars, office workers can buy all kinds of salad sandwiches and bread. School children often have their meals at school, but many just take a sandwich, a drink and some fruit from home. Afternoon tea comes between lunch and evening meal. \"Tea\" means(意味着)two things. It is a drink and a meal. Some people have afternoon tea with sandwiches, cakes and a cup of tea. \"Dinner” is the main(主要的)meal of the day. They usually have the evening meal quite early, all the the family often eat together between six and eight. And they eat all kinds of things. First, they have soup, then they have meat, fish and vegetables. After that, they eat some fruit, like bananas, apples or oranges. Some people also eat ice-cream after dinner. How many meals do many English people have? What do English people have at breakfast ? Where do school children often have their lunch? Does \"afternoon tea\" only mean a drink? What do you think of \"Dinner\"? Why?",
"What do you think robots are able to do? You might be able to find one that fits your needs at the World Robot Conference (WRC) 2022 in Beijing. It was held from Aug 18 to 21, more than 500 robots were on display at the WRC. From human-like robots that look surprisingly lively to robots that can make jianbing 24 hours a day, this year’s WRC showed not only cutting-edge (尖端的) inventions, but also Chinese culture and youth power. A fruit-picking robot attracted visitors’ attention. With the help of different kinds of sensors (传感器) and an AI system, the robot can collect fruit according to its ripeness, quality and size. Wu Jiafeng, the exhibitor of the fruit-picking robot, told CCTV that more robotic technology will be used in agriculture (农业) in the future, including robots for daily inspection (巡检) and weeding (除草). Students from BDA School of the High School Affiliated to Renmin University of China (人大附中北京经济技术开发区学校) had their own exhibition at the WRC. Although they are young, the students brought fascinating inventions and ideas. For example, Wang Zirun, a junior student at the school, designed a three-dimensional parking facility (架空式立体停车机). Since there are usually too few parking spaces in older communities, Wang’s work aims to fit more cars into current parking spots. The facility works like a sky wheel with six parking spots. When cars need to be picked up, the facility rotates steadily, placing the car on the ground. How long did the World Robot Conference (WRC) 2022 last? 2 days 3 days 4 days 5 days Which kind of robot is mentioned in this passage? Human-like robots fruit-picking robots animal-like robots robots that can make jianbing What can help a fruit-picking robot work? Sensors AI systems ripeness A& B What is Wu Jiafeng? an exhibitior a visitor an inventor a designer Why did Wang Zirun design the three-dimensional parking facility? Because it is like a sky wheel with six parking spots. Because there are usually few parking spots in older communities.Her father was very excited when he heard about it. Because it can attract the visitors’ attention. Because it will be used in agriculture.",
"如图所示 A.用所给动词的适当形式填空,每词限用一次.(10 分) shut, reflect, perform, stick, sense 1. Laura _that Bruce didn't believe her. 2.Don't worry. The gas in my house _off before I leave home. 3.Paul loves Africa. His music_ his interest in African culture. 4.I _to running since five years ago. 5. -I called you at eight last night, but you didn't answer my phone. _a wonderful play for my family. Which made them v",
"授業中は隣の人と話を( )。静かにしてください。 A. しなさい B. するな C. するなあ D. するぞ",
"三十一、阅读下文,回答问题。原是凤姐和鸳鸯商议定了,单拿一双老年四楞象牙镶金的筷子与刘姥姥。刘姥姥见了,说道:”这叉爬子比俺那里铁锨还沉,那里犟的过他。”说的众人都笑起来。只见一个媳妇端了一个盒子站在当地,一个丫鬟上来揭去盒盖,里面盛着两碗菜。李纨端了一碗放在贾母桌上。凤姐儿偏拣了一碗鸽子蛋放在刘姥姥桌上。贾母这边说声”请”,刘姥姥便站起身来,高声说道:”老刘,老刘,食量大似牛,吃一个老母猪不抬头。”自己却鼓着腮不语。众人先是发怔,后来一听,上上下下都哈哈的大笑起来。史湘云撑不住,一口饭都喷了出来;林黛玉笑岔了气,伏着桌子叫”嗳哟”;宝玉早滚到贾母怀里,贾母笑的搂着宝玉叫”心肝”;王夫人笑的用手指着凤姐儿,只说不出话来;薛姨妈也撑不住,口里茶喷了探春一裙子;探春手里的饭碗都合在迎春身上;惜春离了坐位,拉着他奶母叫揉一揉肠子。地下的无一个不弯腰屈背,也有躲出去蹲着笑去的,也有忍着笑上来替他姊妹换衣裳的,独有凤姐鸳鸯二人撑着,还只管让刘姥姥。刘姥姥拿起箸来,只觉不听使,又说道:”这里的鸡儿也俊,下的这蛋也小巧,怪俊的。我且攮一个。”众人方住了笑,听见这话又笑起来。贾母笑的眼泪出来,琥珀在后捶着。贾母笑道:”这定是凤丫头促狭鬼儿闹的,快别信他的话了。”那刘姥姥正夸鸡蛋小巧,要禽攮一个,凤姐儿笑道:”一两银子一个呢,你快尝尝罢,那冷了就不好吃了。”刘姥姥便伸箸子要夹,那里夹的起来,满碗里闹了一阵好的,好容易撮起一个来,才伸着脖子要吃,偏又滑下来滚在地下,忙放下箸子要亲自去捡,早有地下的人捡了出去了。刘姥姥叹道:”一两银子,也没听见响声儿就没了。'1.本语段节选自名著《红楼梦》,作者是_(朝代)的_(人名)。2.请用简洁的语言概括选文内容。3.结合选文内容分析刘姥姥形象。"
};
计算试题相似度(杰卡德) 相似度: 100.0, 耗时: 64毫秒, 文本长度: 27/27
计算试题相似度(莱温斯坦) 相似度: 100.0, 耗时: 3毫秒, 文本长度: 27/27
计算试题相似度(基于n-gram改进的杰卡德) 相似度: 100.0, 耗时: 5毫秒, 文本长度: 27/27
计算试题相似度(杰卡德) 相似度: 97.67, 耗时: 1毫秒, 文本长度: 83/81
计算试题相似度(莱温斯坦) 相似度: 97.14, 耗时: 1毫秒, 文本长度: 83/81
计算试题相似度(基于n-gram改进的杰卡德) 相似度: 96.88, 耗时: 1毫秒, 文本长度: 83/81
计算试题相似度(杰卡德) 相似度: 97.62, 耗时: 1毫秒, 文本长度: 61/59
计算试题相似度(莱温斯坦) 相似度: 96.0, 耗时: 0毫秒, 文本长度: 61/59
计算试题相似度(基于n-gram改进的杰卡德) 相似度: 95.45, 耗时: 0毫秒, 文本长度: 61/59
计算试题相似度(杰卡德) 相似度: 94.44, 耗时: 1毫秒, 文本长度: 81/79
计算试题相似度(莱温斯坦) 相似度: 96.49, 耗时: 0毫秒, 文本长度: 81/79
计算试题相似度(基于n-gram改进的杰卡德) 相似度: 96.08, 耗时: 1毫秒, 文本长度: 81/79
计算试题相似度(杰卡德) 相似度: 100.0, 耗时: 1毫秒, 文本长度: 308/308
计算试题相似度(莱温斯坦) 相似度: 100.0, 耗时: 3毫秒, 文本长度: 308/308
计算试题相似度(基于n-gram改进的杰卡德) 相似度: 100.0, 耗时: 1毫秒, 文本长度: 308/308
计算试题相似度(杰卡德) 相似度: 100.0, 耗时: 0毫秒, 文本长度: 49/47
计算试题相似度(莱温斯坦) 相似度: 94.59, 耗时: 0毫秒, 文本长度: 49/47
计算试题相似度(基于n-gram改进的杰卡德) 相似度: 93.55, 耗时: 0毫秒, 文本长度: 49/47
计算试题相似度(杰卡德) 相似度: 100.0, 耗时: 1毫秒, 文本长度: 67/67
计算试题相似度(莱温斯坦) 相似度: 100.0, 耗时: 0毫秒, 文本长度: 67/67
计算试题相似度(基于n-gram改进的杰卡德) 相似度: 100.0, 耗时: 0毫秒, 文本长度: 67/67
计算试题相似度(杰卡德) 相似度: 100.0, 耗时: 0毫秒, 文本长度: 78/78
计算试题相似度(莱温斯坦) 相似度: 100.0, 耗时: 1毫秒, 文本长度: 78/78
计算试题相似度(基于n-gram改进的杰卡德) 相似度: 100.0, 耗时: 0毫秒, 文本长度: 78/78
计算试题相似度(杰卡德) 相似度: 100.0, 耗时: 0毫秒, 文本长度: 53/53
计算试题相似度(莱温斯坦) 相似度: 100.0, 耗时: 0毫秒, 文本长度: 53/53
计算试题相似度(基于n-gram改进的杰卡德) 相似度: 100.0, 耗时: 1毫秒, 文本长度: 53/53
计算试题相似度(杰卡德) 相似度: 93.94, 耗时: 0毫秒, 文本长度: 56/54
计算试题相似度(莱温斯坦) 相似度: 94.44, 耗时: 0毫秒, 文本长度: 56/54
计算试题相似度(基于n-gram改进的杰卡德) 相似度: 93.33, 耗时: 0毫秒, 文本长度: 56/54
计算试题相似度(杰卡德) 相似度: 100.0, 耗时: 2毫秒, 文本长度: 742/733
计算试题相似度(莱温斯坦) 相似度: 98.69, 耗时: 3毫秒, 文本长度: 742/733
计算试题相似度(基于n-gram改进的杰卡德) 相似度: 98.26, 耗时: 2毫秒, 文本长度: 742/733
计算试题相似度(杰卡德) 相似度: 100.0, 耗时: 1毫秒, 文本长度: 2841/2831
计算试题相似度(莱温斯坦) 相似度: 99.61, 耗时: 19毫秒, 文本长度: 2841/2831
计算试题相似度(基于n-gram改进的杰卡德) 相似度: 99.61, 耗时: 6毫秒, 文本长度: 2841/2831
计算试题相似度(杰卡德) 相似度: 100.0, 耗时: 1毫秒, 文本长度: 1228/1161
计算试题相似度(莱温斯坦) 相似度: 94.18, 耗时: 3毫秒, 文本长度: 1228/1161
计算试题相似度(基于n-gram改进的杰卡德) 相似度: 94.15, 耗时: 1毫秒, 文本长度: 1228/1161
计算试题相似度(杰卡德) 相似度: 100.0, 耗时: 1毫秒, 文本长度: 2087/2138
计算试题相似度(莱温斯坦) 相似度: 97.59, 耗时: 10毫秒, 文本长度: 2087/2138
计算试题相似度(基于n-gram改进的杰卡德) 相似度: 97.54, 耗时: 3毫秒, 文本长度: 2087/2138
计算试题相似度(杰卡德) 相似度: 66.67, 耗时: 1毫秒, 文本长度: 308/396
计算试题相似度(莱温斯坦) 相似度: 26.27, 耗时: 0毫秒, 文本长度: 308/396
计算试题相似度(基于n-gram改进的杰卡德) 相似度: 79.35, 耗时: 1毫秒, 文本长度: 308/396
计算试题相似度(杰卡德) 相似度: 28.13, 耗时: 0毫秒, 文本长度: 22/54
计算试题相似度(莱温斯坦) 相似度: 14.63, 耗时: 0毫秒, 文本长度: 22/54
计算试题相似度(基于n-gram改进的杰卡德) 相似度: 0.0, 耗时: 0毫秒, 文本长度: 22/54
计算试题相似度(杰卡德) 相似度: 47.45, 耗时: 1毫秒, 文本长度: 2000/743
计算试题相似度(莱温斯坦) 相似度: 32.59, 耗时: 4毫秒, 文本长度: 2000/743
计算试题相似度(基于n-gram改进的杰卡德) 相似度: 37.17, 耗时: 2毫秒, 文本长度: 2000/743
2.3.2、测试n-gram对计算相似度影响
**测试结论:**设置n-gram从1-10,选取一个日志记录的超时的CASE,测试n-gram不同的时候对相似度的影响
-
性能方面:性能和原来的杰卡德相差不大。
-
效果方面:一般来看,n-gram值越大,计算得到的相似性呈现递减趋势,但是不绝对。
- search text:危ない!その中に入る_。 なあ かな な ぞ
- stem text:授業中は隣の人と話を( )。静かにしてください。 A. しなさい B. するな C. するなあ D. するぞ
计算试题相似度(杰卡德,按照字符) 相似度: 28.13, 耗时: 81毫秒, 文本长度: 22/54
计算试题相似度(基于n-gram改进的杰卡德,window length : 1) 相似度: 64.54, 耗时: 24毫秒, 文本长度: 22/54
计算试题相似度(基于n-gram改进的杰卡德,window length : 2) 相似度: 33.02, 耗时: 0毫秒, 文本长度: 22/54
计算试题相似度(基于n-gram改进的杰卡德,window length : 3) 相似度: 38.46, 耗时: 1毫秒, 文本长度: 22/54
计算试题相似度(基于n-gram改进的杰卡德,window length : 4) 相似度: 0.0, 耗时: 0毫秒, 文本长度: 22/54
计算试题相似度(基于n-gram改进的杰卡德,window length : 5) 相似度: 0.0, 耗时: 0毫秒, 文本长度: 22/54
计算试题相似度(基于n-gram改进的杰卡德,window length : 6) 相似度: 0.0, 耗时: 0毫秒, 文本长度: 22/54
计算试题相似度(基于n-gram改进的杰卡德,window length : 7) 相似度: 0.0, 耗时: 0毫秒, 文本长度: 22/54
计算试题相似度(基于n-gram改进的杰卡德,window length : 8) 相似度: 0.0, 耗时: 0毫秒, 文本长度: 22/54
计算试题相似度(基于n-gram改进的杰卡德,window length : 9) 相似度: 0.0, 耗时: 0毫秒, 文本长度: 22/54
计算试题相似度(基于n-gram改进的杰卡德,window length : 10) 相似度: 0.0, 耗时: 0毫秒, 文本长度: 22/54
- search text:郊狼体型较小,只有灰狼体型的1/3,平时以啮齿类生物为食,偶尔也吃灰狼的食物残骸。黄石公园历史上为保护麋鹿曾大规模猎杀园中的灰狼。灰狼绝迹后,郊狼生活习性渐渐从单独捕猎啮齿生物转变为合作围猎麋鹿中衰老或幼年个体。后公园重新引入灰狼,回归黄石的灰狼群选择先猎杀郊狼群,郊狼被迫恢复曾经的生活习性。下列说法正确的是( ) 灰狼回归后,与郊狼的种间关系是捕食 灰狼属于顶极掠食者,流入灰狼的能量最多 原来灰狼与郊狼共存,因为二者之间生态位高度重叠 麋鹿数量提升后,郊狼选择捕食麋鹿,
- stem text:灰狼分布于北美、欧亚大陆和北非等地,原本是世界上广泛分布的物种,但是由于近一二百年来大量地捕猎和生态环境的破坏,其全世界各地的种群数量都在急剧下降,到了濒危的边缘。分布在黄石国家公园附近的灰狼亚种也没能逃此厄运。 黄石的灰狼种群被根除后,当地的麋鹿种群数量开始急剧增长,而黄石国家公园的环境条件急剧恶化。公园内麋鹿种群成倍地繁殖扩大,而山杨和柳树等落叶树种遭受到严重的过度取食。情急之下,公园管理部门开始了诱捕、转移和捕杀这些麋鹿的行动。虽然这一方法阻止了生态环境继续恶化,但也并未能改善已被破坏的生态环境。 $$1995$$年,灰狼被重新引入黄石公园。灰狼引入之后,科
计算试题相似度(杰卡德,按照字符) 相似度: 22.22, 耗时: 3毫秒, 文本长度: 239/1316
计算试题相似度(基于n-gram改进的杰卡德,window length : 1) 相似度: 60.85, 耗时: 1毫秒, 文本长度: 239/1316
计算试题相似度(基于n-gram改进的杰卡德,window length : 2) 相似度: 43.32, 耗时: 1毫秒, 文本长度: 239/1316
计算试题相似度(基于n-gram改进的杰卡德,window length : 3) 相似度: 30.85, 耗时: 2毫秒, 文本长度: 239/1316
计算试题相似度(基于n-gram改进的杰卡德,window length : 4) 相似度: 27.96, 耗时: 1毫秒, 文本长度: 239/1316
计算试题相似度(基于n-gram改进的杰卡德,window length : 5) 相似度: 17.91, 耗时: 1毫秒, 文本长度: 239/1316
计算试题相似度(基于n-gram改进的杰卡德,window length : 6) 相似度: 17.85, 耗时: 0毫秒, 文本长度: 239/1316
计算试题相似度(基于n-gram改进的杰卡德,window length : 7) 相似度: 17.79, 耗时: 0毫秒, 文本长度: 239/1316
计算试题相似度(基于n-gram改进的杰卡德,window length : 8) 相似度: 17.72, 耗时: 1毫秒, 文本长度: 239/1316
计算试题相似度(基于n-gram改进的杰卡德,window length : 9) 相似度: 0.0, 耗时: 1毫秒, 文本长度: 239/1316
计算试题相似度(基于n-gram改进的杰卡德,window length : 10) 相似度: 0.0, 耗时: 1毫秒, 文本长度: 239/1316
- search text:我要改正上课做小动作的不正确的毛病。
- stem text:在社会生活中,我们总是要遵守各种各样的社会秩序。下列做法中,你认同的有( ) ①上课认真听讲,不做小动作 ②不在楼道内追逐打闹 ③放学时,按顺序走出教室,不拥挤 ④在课堂上吃零食 ①②④ ①③④ ②③④ ①②③
计算试题相似度(杰卡德,按照字符) 相似度: 14.93, 耗时: 0毫秒, 文本长度: 18/105
计算试题相似度(基于n-gram改进的杰卡德,window length : 1) 相似度: 27.19, 耗时: 0毫秒, 文本长度: 18/105
计算试题相似度(基于n-gram改进的杰卡德,window length : 2) 相似度: 16.35, 耗时: 0毫秒, 文本长度: 18/105
计算试题相似度(基于n-gram改进的杰卡德,window length : 3) 相似度: 15.53, 耗时: 1毫秒, 文本长度: 18/105
计算试题相似度(基于n-gram改进的杰卡德,window length : 4) 相似度: 14.71, 耗时: 0毫秒, 文本长度: 18/105
计算试题相似度(基于n-gram改进的杰卡德,window length : 5) 相似度: 0.0, 耗时: 0毫秒, 文本长度: 18/105
计算试题相似度(基于n-gram改进的杰卡德,window length : 6) 相似度: 0.0, 耗时: 0毫秒, 文本长度: 18/105
计算试题相似度(基于n-gram改进的杰卡德,window length : 7) 相似度: 0.0, 耗时: 0毫秒, 文本长度: 18/105
计算试题相似度(基于n-gram改进的杰卡德,window length : 8) 相似度: 0.0, 耗时: 0毫秒, 文本长度: 18/105
计算试题相似度(基于n-gram改进的杰卡德,window length : 9) 相似度: 0.0, 耗时: 0毫秒, 文本长度: 18/105
计算试题相似度(基于n-gram改进的杰卡德,window length : 10) 相似度: 0.0, 耗时: 0毫秒, 文本长度: 18/105
- search text: 一)水认地主的大多数是有抗日要求的,一部分开明绅士 是赞成民主改革的……故于实行减租减息之后,又须实行交租 交息……借以联合地主阶级一致抗日, ——摘编自《中共中央关于抗日根据地土地政策的决定》 材料三第一条废除封建性及半封建性剥削的土地制度,实 行耕者有其田的土地制度。 第二条 废除一切地主的土地所有权 ——摘编自《中国土地法大纲) (1)以上三则材料是中国共产党在不同历史时期的土地政策 请你任选其一,对这一政策起到的作用加以分析。(3分)
- stem text:下表所示为中国共产党在新民主主义革命时期的土地政策汇总,这表明( ) 时间 文件 土地政策 1929年4月 兴国县《土地法》 没收一切公共土地及地主阶级的土地 1942年1月 《中共中央关于抗日根据地土地改革的决定》 地主减租减息,农民交租交息 1947年10月 《中国土地法大纲》 废除封建性及半封建性剥削的土地制度,实现耕者有其田的土地制度 土地革命的依靠力量发生了改变 中共依据形势变化调整政策 农民革命运动的积极性得到激发 民主革命的性质发生了变化
计算试题相似度(杰卡德,按照字符) 相似度: 37.34, 耗时: 1毫秒, 文本长度: 224/228
计算试题相似度(基于n-gram改进的杰卡德,window length : 1) 相似度: 69.15, 耗时: 0毫秒, 文本长度: 224/228
计算试题相似度(基于n-gram改进的杰卡德,window length : 2) 相似度: 87.17, 耗时: 0毫秒, 文本长度: 224/228
计算试题相似度(基于n-gram改进的杰卡德,window length : 3) 相似度: 96.08, 耗时: 0毫秒, 文本长度: 224/228
计算试题相似度(基于n-gram改进的杰卡德,window length : 4) 相似度: 98.22, 耗时: 1毫秒, 文本长度: 224/228
计算试题相似度(基于n-gram改进的杰卡德,window length : 5) 相似度: 98.21, 耗时: 0毫秒, 文本长度: 224/228
计算试题相似度(基于n-gram改进的杰卡德,window length : 6) 相似度: 98.21, 耗时: 0毫秒, 文本长度: 224/228
计算试题相似度(基于n-gram改进的杰卡德,window length : 7) 相似度: 98.2, 耗时: 1毫秒, 文本长度: 224/228
计算试题相似度(基于n-gram改进的杰卡德,window length : 8) 相似度: 98.19, 耗时: 0毫秒, 文本长度: 224/228
计算试题相似度(基于n-gram改进的杰卡德,window length : 9) 相似度: 98.18, 耗时: 0毫秒, 文本长度: 224/228
计算试题相似度(基于n-gram改进的杰卡德,window length : 10) 相似度: 98.17, 耗时: 0毫秒, 文本长度: 224/228
- search text:小红的爸爸是一名出租车司机,这星期前五天的收入情况如下表。(单位:元) 星期一 星期二 星期三 星期四 星期五 378 269 518 (1)星期二比星期一和星期三的总收入少209元,星期二收入多少元?,
- stem text:如图所示 小檑的爸爸是一位出租车司机。星期一早上出车时,里程表的读数是65千米。每天收车时,小檑都记录了当时的里程读数,共计录了五天。(单位:千米)星期一星期二星期三星期四星期五272│468|675|675│906星期二比星期一少行驶了草稿米。
计算试题相似度(杰卡德,按照字符) 相似度: 42.47, 耗时: 0毫秒, 文本长度: 103/123
计算试题相似度(基于n-gram改进的杰卡德,window length : 1) 相似度: 59.05, 耗时: 0毫秒, 文本长度: 103/123
计算试题相似度(基于n-gram改进的杰卡德,window length : 2) 相似度: 74.87, 耗时: 0毫秒, 文本长度: 103/123
计算试题相似度(基于n-gram改进的杰卡德,window length : 3) 相似度: 76.91, 耗时: 1毫秒, 文本长度: 103/123
计算试题相似度(基于n-gram改进的杰卡德,window length : 4) 相似度: 83.33, 耗时: 0毫秒, 文本长度: 103/123
计算试题相似度(基于n-gram改进的杰卡德,window length : 5) 相似度: 83.19, 耗时: 0毫秒, 文本长度: 103/123
计算试题相似度(基于n-gram改进的杰卡德,window length : 6) 相似度: 83.05, 耗时: 0毫秒, 文本长度: 103/123
计算试题相似度(基于n-gram改进的杰卡德,window length : 7) 相似度: 82.91, 耗时: 0毫秒, 文本长度: 103/123
计算试题相似度(基于n-gram改进的杰卡德,window length : 8) 相似度: 0.0, 耗时: 0毫秒, 文本长度: 103/123
计算试题相似度(基于n-gram改进的杰卡德,window length : 9) 相似度: 0.0, 耗时: 1毫秒, 文本长度: 103/123
计算试题相似度(基于n-gram改进的杰卡德,window length : 10) 相似度: 0.0, 耗时: 0毫秒, 文本长度: 103/123
- search text:xS_5= C.20 D.15 南水北调工程缓解了北方一些地区水资源短缺问题,其中一部分水着入某水库.已知该水库水位为海拔148.5m时,相 140.0km^2x 应水面的面积为140.0km²;水位为海拔157.5m时,相应水面的面积为180.0km²,将该水库在这两个水位间的形状看 180.0km^2x 148.5m 作一个棱台,则该水库水位从海拔148.5m上升到157. 5m时,增加的水量约为(√~2.65) ( 157.5m (sqrt{7}≈2.65) A.1.0×10^9m^3 B.1.2×10^9m^3 C.1.4×10^9m^3 D.1.6×
- stem text:水库是我国防洪广泛采用的工程措施之一.已知某水库水位为海拔 155.5m 时,相应水面的面积为 180.0km^2 ;水位为海拔 146.5m 时,相应水面的面积为 140.0km^2 .将该水库在这两个水位间的形状看作一个棱台,则该水库水位从海拔 155.5m 下降到 146.5m 时,减少的水量约为 (sqrt{7}≈2.65) ( ) 1.0×10^9m^3 1.2×10^9m^3 1.4×10^9m^3 1.6×10^9m^3
计算试题相似度(杰卡德,按照字符) 相似度: 50.45, 耗时: 0毫秒, 文本长度: 299/219
计算试题相似度(基于n-gram改进的杰卡德,window length : 1) 相似度: 78.67, 耗时: 0毫秒, 文本长度: 299/219
计算试题相似度(基于n-gram改进的杰卡德,window length : 2) 相似度: 72.25, 耗时: 0毫秒, 文本长度: 299/219
计算试题相似度(基于n-gram改进的杰卡德,window length : 3) 相似度: 71.55, 耗时: 1毫秒, 文本长度: 299/219
计算试题相似度(基于n-gram改进的杰卡德,window length : 4) 相似度: 70.72, 耗时: 0毫秒, 文本长度: 299/219
计算试题相似度(基于n-gram改进的杰卡德,window length : 5) 相似度: 71.52, 耗时: 0毫秒, 文本长度: 299/219
计算试题相似度(基于n-gram改进的杰卡德,window length : 6) 相似度: 71.49, 耗时: 1毫秒, 文本长度: 299/219
计算试题相似度(基于n-gram改进的杰卡德,window length : 7) 相似度: 71.4, 耗时: 0毫秒, 文本长度: 299/219
计算试题相似度(基于n-gram改进的杰卡德,window length : 8) 相似度: 71.2, 耗时: 0毫秒, 文本长度: 299/219
计算试题相似度(基于n-gram改进的杰卡德,window length : 9) 相似度: 71.97, 耗时: 1毫秒, 文本长度: 299/219
计算试题相似度(基于n-gram改进的杰卡德,window length : 10) 相似度: 70.79, 耗时: 0毫秒, 文本长度: 299/219
- search text:方位角的表示,
- stem text:若数轴经过折叠,﹣1表示的点与3表示的点重合,则﹣2018表示的点与数 表示的点重合.
计算试题相似度(杰卡德,按照字符) 相似度: 12.0, 耗时: 0毫秒, 文本长度: 7/43
计算试题相似度(基于n-gram改进的杰卡德,window length : 1) 相似度: 59.69, 耗时: 0毫秒, 文本长度: 7/43
计算试题相似度(基于n-gram改进的杰卡德,window length : 2) 相似度: 57.14, 耗时: 0毫秒, 文本长度: 7/43
计算试题相似度(基于n-gram改进的杰卡德,window length : 3) 相似度: 0.0, 耗时: 0毫秒, 文本长度: 7/43
计算试题相似度(基于n-gram改进的杰卡德,window length : 4) 相似度: 0.0, 耗时: 0毫秒, 文本长度: 7/43
计算试题相似度(基于n-gram改进的杰卡德,window length : 5) 相似度: 0.0, 耗时: 0毫秒, 文本长度: 7/43
计算试题相似度(基于n-gram改进的杰卡德,window length : 6) 相似度: 0.0, 耗时: 0毫秒, 文本长度: 7/43
计算试题相似度(基于n-gram改进的杰卡德,window length : 7) 相似度: 0.0, 耗时: 0毫秒, 文本长度: 7/43
计算试题相似度(基于n-gram改进的杰卡德,window length : 8) 相似度: 0.0, 耗时: 0毫秒, 文本长度: 7/43
计算试题相似度(基于n-gram改进的杰卡德,window length : 9) 相似度: 0.0, 耗时: 0毫秒, 文本长度: 7/43
计算试题相似度(基于n-gram改进的杰卡德,window length : 10) 相似度: 0.0, 耗时: 0毫秒, 文本长度: 7/43
另外一个CASE
- search text:xS_5= C.20 D.15 南水北调工程缓解了北方一些地区水资源短缺问题,其中一部分水着入某水库.已知该水库水位为海拔148.5m时,相 140.0km^2x 应水面的面积为140.0km²;水位为海拔157.5m时,相应水面的面积为180.0km²,将该水库在这两个水位间的形状看 180.0km^2x 148.5m 作一个棱台,则该水库水位从海拔148.5m上升到157. 5m时,增加的水量约为(√~2.65) ( 157.5m (sqrt{7}≈2.65) A.1.0×10^9m^3 B.1.2×10^9m^3 C.1.4×10^9m^3 D.1.6×
- stem text:水库是我国防洪广泛采用的工程措施之一.已知某水库水位为海拔 155.5m 时,相应水面的面积为 180.0km^2 ;水位为海拔 146.5m 时,相应水面的面积为 140.0km^2 .将该水库在这两个水位间的形状看作一个棱台,则该水库水位从海拔 155.5m 下降到 146.5m 时,减少的水量约为 (sqrt{7}≈2.65) ( ) 1.0×10^9m^3 1.2×10^9m^3 1.4×10^9m^3 1.6×10^9m^3
计算试题相似度(杰卡德,按照字符) 相似度: 50.45, 耗时: 0毫秒, 文本长度: 299/219
计算试题相似度(基于n-gram改进的杰卡德,window length : 1) 相似度: 78.67, 耗时: 0毫秒, 文本长度: 299/219
计算试题相似度(基于n-gram改进的杰卡德,window length : 2) 相似度: 72.25, 耗时: 0毫秒, 文本长度: 299/219
计算试题相似度(基于n-gram改进的杰卡德,window length : 3) 相似度: 71.55, 耗时: 1毫秒, 文本长度: 299/219
计算试题相似度(基于n-gram改进的杰卡德,window length : 4) 相似度: 70.72, 耗时: 0毫秒, 文本长度: 299/219
计算试题相似度(基于n-gram改进的杰卡德,window length : 5) 相似度: 71.52, 耗时: 0毫秒, 文本长度: 299/219
计算试题相似度(基于n-gram改进的杰卡德,window length : 6) 相似度: 71.49, 耗时: 1毫秒, 文本长度: 299/219
计算试题相似度(基于n-gram改进的杰卡德,window length : 7) 相似度: 71.4, 耗时: 0毫秒, 文本长度: 299/219
计算试题相似度(基于n-gram改进的杰卡德,window length : 8) 相似度: 71.2, 耗时: 0毫秒, 文本长度: 299/219
计算试题相似度(基于n-gram改进的杰卡德,window length : 9) 相似度: 71.97, 耗时: 1毫秒, 文本长度: 299/219
计算试题相似度(基于n-gram改进的杰卡德,window length : 10) 相似度: 70.79, 耗时: 0毫秒, 文本长度: 299/219
2.3.3、召回CASE1
测试结论:本测试CASE发现改进杰卡德在n-gram为1、2、3的时候选取的相似结果文本比原生杰卡德选取的相似结果文本余弦相似度要高一些,但是试题匹配度人为判断还是不如原生杰卡德算法,效率差别不大。
搜索题干:
阅读下面《孟子》选段,回答问题。 孟子谓戴不胜曰:“子欲子之王善与?我明告子。有楚大夫于此,欲其子之齐语也,则使齐人傅诸?使楚人傅诸?”曰:“使齐人傅之。”曰:“一齐人傅之,众楚人咻之,虽日挞而求其齐也,不可得矣。引而置之庄岳之间数年,虽日挞而求其楚,亦不可得矣。子谓薛居州,善士也,使之居于王所。在于王所者,长、幼、卑、尊皆薛居州也,王谁与为不善?在王所者,长、幼、卑、尊皆非薛居州也,王谁与为善?一薛居州独如宋王何?” 下列各项对文段内容理解错误的一项是( ) 孟子认为楚国大夫的儿子要学会说齐国话,与其请一个齐国人过来教,不如把他送到齐国最繁华的街里庄岳去学。 孟子认为戴不胜的国君做出不善之事,是因为善士薛居州不在他身边,不能给他及时有效的指导。 孟子运用了设喻的方法来问戴不胜,让他明白“欲王之善”的道理。 国君周围多是好人,他就会和大家一起做好事。如果国君周围多是坏人,他也就很难做好人了。 【小题2】荀子《劝学》中说“蓬生麻中,不扶自直;白沙在涅,与之俱黑”,请结合上面选段,联系实际,谈谈自己的看法。
其他试题题干:
当前试题:1561285791080448,杰卡德相似度:1.0,题干:阅读下面《孟子》选段,回答问题。 孟子谓戴不胜曰:“子欲子之王善与?我明告子。有楚大夫于此,欲其子之齐语也,则使齐人傅诸?使楚人傅诸?”曰:“使齐人傅之。”曰:“一齐人傅之,众楚人咻之,虽日挞而求其齐也,不可得矣。引而置之庄岳之间数年,虽日挞而求其楚,亦不可得矣。子谓薛居州,善士也,使之居于王所。在于王所者,长、幼、卑、尊皆薛居州也,王谁与为不善?在王所者,长、幼、卑、尊皆非薛居州也,王谁与为善?一薛居州独如宋王何?” 下列各项对文段内容理解错误的一项是( ) 孟子认为楚国大夫的儿子要学会说齐国话,与其请一个齐国人过来教,不如把他送到齐国最繁华的街里庄岳去学。 孟子认为戴不胜的国君做出不善之事,是因为善士薛居州不在他身边,不能给他及时有效的指导。 孟子运用了设喻的方法来问戴不胜,让他明白“欲王之善”的道理。 国君周围多是好人,他就会和大家一起做好事。如果国君周围多是坏人,他也就很难做好人了。 【小题2】荀子《劝学》中说“蓬生麻中,不扶自直;白沙在涅,与之俱黑”,请结合上面选段,联系实际,谈谈自己的看法。
当前试题:1561273645809664,杰卡德相似度:0.25,题干:阅读下面二则《孟子 》选段,回答问题。 ①孟子曰:“不挟长,不挟贵,不挟兄弟而友。友也者,友其德也,不可以有挟也。孟献子,百乘之家也,有友五人焉:乐正裘,牧仲,其三人.则予忘之矣。献子之与此五人者友也,无献子之家者也。此五人者,亦有献子之家,则不与之友矣。非惟百乘之家为然也,虽小国之君亦有之。……” (《孟子·万章下》) ②孟子谓万章曰:“一乡之善士,斯友一乡之善士;一国之善士,斯友一国之善土;天下之善士斯友天下之善士。以友天下之善士为未足,又尚论古之人。颂其诗,读其书,不知其人,可乎?是以论其事也,是尚友 也。(《孟子·万章下》) 下列对原文内容分析不正确的一项是( ) 与今人交友务必要颂读其诗文,做到“知其人”后方可结交。 “又尚论古之人”的意思是:又向上追论古代的人。 孟子说的“不挟”即不要有倚仗的念头。 选段②,孟子以层层推进的形式阐述了自己对于交友的认识。 【小题2】请你根据上面的文字,谈谈孟子对于交友的认识。
当前试题:1561251360194560,杰卡德相似度:0.2297872340425532,题干:阅读下列《孟子》选段,按要求回答问题。 陈臻问日:,“前日子齐,王馈兼金一百而不受;于宋,馈七十锰而受;于薛,馈五十镒而受。前日之不受是,则今日之受非也;今日之受是,则前日之不受非也。夫子必居一于此矣。”孟子曰:“皆是也。当在宋也,予将有远行,行者必以赆;辞曰:‘馈赆。’予何为不受?当在薛也,予有戒心;辞日: ‘闻戒,故为兵馈之。’.予何为不受?若于齐,则未有处也。无处而馈之,是货之也。焉有君子而可以货取乎?” ——《孟子·公孙丑下》 孟子曰:“大人者,言不必信,行不必果,惟义所在。” ——《孟子·离娄下》 请问这两段话共同体现了孟子怎样的行为准则?请结合语段简要说明。
当前试题:1561323174854656,杰卡德相似度:0.23317307692307693,题干:阅读下面的文言文,完成小题。 孟子将朝王,王使人来曰:“寡人如就见者也,有寒疾,不可以风。朝,将视朝,不识可使寡人得见乎?”对曰:“不幸而有疾,不能造朝。” 明日,出吊于东郭氏。公孙丑曰:“昔者辞以病,今日吊,或者不可乎?”曰:“昔日疾,今日愈,如之何不吊?”王使人问疾,医来。孟仲子①对曰:“昔者有王命,有采薪之忧②,不能造朝。今病小愈,趋造于朝,我不识能至否乎?”使数人要于路,曰:“请必无归,而造于朝!”不得已而之景丑氏宿焉。 景子曰:“内则父子,外则君臣,人之大伦也。父子主恩,君臣主敬。丑见王之敬子也,未见所以敬王也。”曰:“恶!是何言也!齐人无以仁义与王言者,岂以仁义为不美也?其心曰‘是何足与言仁义也 ’云尔,则不敬莫大乎是。我非尧舜之道不敢以陈于王前,故齐人莫如我敬王也。”景子曰:“否,非此之谓也。《礼》曰:‘父召,无诺;君命召,不俟驾。’固将朝也,闻王命而遂不果③,宜与夫礼若不相似然。” 曰:“岂谓是与?天下有达尊④三:爵一,齿一,德一。朝廷莫如爵,乡党莫如齿,辅世长民莫如德。恶得有其一以慢其二哉?故将大有为之君,必有所不召之臣;欲有谋焉,则就之。其尊德乐道,不如是,不足与有为也。” (摘自《孟子·公孙丑下》) [注]①孟仲子:孟子的堂兄弟,跟孟子学习。②采薪之忧:谓有病不能上山打柴,是疾病的代词,为当时交际的习惯语。③不果:终于没有实行。④达尊:普遍尊贵的事。 对下列句子中加点的词的解释,不正确的一项是( ) 寡人如就见者也如:应当。 君命召,不俟驾俟:等待。 不识可使寡人得见乎得:能够。 使数人要于路要:要挟、威胁。 【小题2】下列词语中,加点字的意义和用法相同的一项是( ) ①不得已而之景丑氏宿焉②犹且从师而问焉 ①请必无归,而造于朝②吾尝终日而思矣 ①未见所以敬王也②所以遣将守关者,备他盗之出入与非常也。 ①岂谓是与②吾王庶几无疾病与 【小题3】本文的人物形象很生动,为了达到自己的目的,齐王、孟子、孟仲子都说过假话。根据原文内容判断,下面说的是真话的一句是 ( ) 寡人如就见也,有寒疾,不可以风 不幸而有疾,不能造朝 请必无归,而造于朝 今病小愈, 趋造于朝 【小题4】下列对原文有关内容的分析和概括,不正确的一项是( ) 本文通过孟子不接受齐王的召见,表明了孟子对君臣关系的看法与态度,他认为君臣关系应建立在仁义的基础上,国君应该礼贤下士,谦逊待人。 孟子认为国君的尊贵不应该表现在地位的优越上,臣子对国君的恭顺不应该只停留在礼节形 式上。 孟子还认为国君不能因为自己德高望重,就轻慢了地位和年龄比自己低的臣子,国君应该表现出尊德乐道的风范。 景丑氏认为孟子对齐王不恭敬,孟子本来要见国君,可是一听到齐王的命令反而不去了,景子觉得孟子这种做法与《礼记》上说的不相合。 【小题5】把下列句子翻译成现代汉语。 ①朝,将视朝,不识可使寡人得见乎?” ②故将大有为之君,必有所不召之臣;欲有谋焉,则就之。 ③危而不持,颠而不扶,则将焉用彼相矣。 ④狗彘食人食而不知检,涂有饿莩而不知发。
当前试题:1561237488615424,杰卡德相似度:0.5041666666666667,题干:阅读文化经典《孟子》,按要求答题。 孟子谓戴不胜①曰:“子欲子之王之善与?我明告子。有楚大夫于此,欲其子之齐语也,则使齐人傅诸?使楚人傅诸?” 曰:“使齐人傅之。” 曰:“一齐人傅之,众楚人咻之,虽日挞而求其齐也,不可得矣;引而置之庄岳之间数年②,虽日挞而求其楚,亦不可得矣。子谓薛居州③,善士也,使之居于王所。在于王所者,长幼卑尊皆薛居州也,王谁与为不善?在王所者,长幼卑尊皆非薛居州也,王谁与为善?一薛居州,独如宋王何?” (选自《孟子·滕文公下》) [注释] ①戴不胜:宋臣。②庄岳:庄,街名;岳,里名,都在齐都城临淄城内。这里代指齐都中的闹市区。③薛居州:宋国人。 下列各项中,对上面《孟子》选段的理解,不正确的一项是( ) 孟子认为一个齐国人教楚国大夫的儿子学齐国话,虽然周围有许多楚国人干扰他,但只要天天鞭打逼他学齐国话,就有可能学会的。 孟子认为把楚国大夫的儿子带到齐国都城的闹市上住上几年,即使天天鞭打他,要他讲楚国话,也不可能的了。 如果在王宫中的人,不论年龄大小、地位高低,都是薛居州那样的人.那么宋王就不能同谁一起干坏事了。 “一薛居州,独如宋王何?”说明一个薛居州,不能对宋王起到重要作用。 请用一个成语概括选段的主要内容,并分析孟子的观点。(用自己的话回答)
当前试题:1561241502400512,杰卡德相似度:0.5469387755102041,题干:阅读下面《孟子》选段,回答问题。 孟子谓戴不胜曰: “子欲子之王之善与?我明告子。有楚大夫于此,欲其子之齐语也,则使齐人傅诸,使楚人傅诸?”(1)曰:“使齐人傅之。” 曰:“一齐人傅之,欢楚人咻之,(2)虽日挞而求其齐也不可得矣;(3)引而置之庄岳之间数年,(4)虽日挞而求其楚亦不可得矣。子谓薛居州善士 也,(5使之居于王所。在于王所者长幼卑尊皆薛居州也,王谁与为不善?在 王所者长幼卑尊皆非薛居州也,王谁与为善?一薛居州,独如宋王何?”(6) 【注释】 (1)傅:朱熹《集注》云:“教也。”(2)淋(xiū休):为“喧哗”。(3)挞:责打。(4)庄岳:朱熹《集注》云:“齐街里名也。”(5)薛居州: 赵注云:“宋之善上也。”(6)独:王引之《经传释词》云:“独犹将也。” (1)下列各项中,对上面选段的理解不正确的一项是( ) A.孟子用设喻的方法反问戴不胜,楚国大夫的儿子要学会说齐国话,是找齐国的人来教他好呢,还是找楚国的人来教他好呢? B.孟子认为如果一个齐国人来教他,却有许多楚国人在他周围用楚国话来干扰他,即使每天鞭打他,要求他说齐国话,那也是不可能的。 C.同样的道理,如果在王宫中的人,无论年龄大小的还是地位高低的都居住在薛居州那里,那么君王和谁去做坏事呢? D.如果国君周围多是好人,那么国君也就会和大家一起向善做好事。相反,如果国君周围多是坏人,那么国君也就难做好人了。 (2)请结合上面选段,联系实际,谈谈接受教育与学习环境的关系。
当前试题:1561273695535104,杰卡德相似度:0.46798029556650245,题干:阅读下面的《孟子》选段,回答问题。 孟子谓戴不胜①曰:“子欲子之王之善与?我明告子。有楚大夫于此,欲其子之齐语也,则使齐人傅诸,使楚人傅诸?”曰:“使齐人傅之。” 曰:“一齐人傅之,众楚人咻之,虽日挞而求其齐也,不可得矣;引而置之庄岳②之间数年,虽日挞而求其楚,亦不可得矣。子谓薛居州,善士也,使之居于王所。在于王所者,长幼卑尊皆薛居州也,王谁与为不善?在王所者,长幼卑尊皆非薛居州也,王谁与为善?一薛居州,独如宋王何?” (《滕文公下》6.6) 【注释】①戴不胜:人名,宋国大臣 ②庄岳:齐国一个繁盛街道的名称 (1)从“一齐人傅之,众楚人咻之,虽日挞而求其齐也,不可得矣”一句中,可概括出成语 ;孟子运用 方法,向戴不胜提出了 的建议。 (2)请概括选段的主旨并简要分析。
当前试题:1561239300816896,杰卡德相似度:0.24427480916030533,题干:《孟子》选读 齐人伐燕。或问曰:“劝齐伐燕,有诸?”曰:“未也。沈同①问‘燕可伐与’,吾应之曰:‘可’。彼然而伐之也。彼如曰:‘孰可以伐之?’则将应之曰:‘为天吏②,则可以伐之。’今有杀人者,或问之曰:‘人可杀与?’则将应之曰:‘可’。彼如曰:‘孰可以杀之?’则将应之曰:‘为士师,则可以杀之。’今以燕伐燕,何为劝之哉?” (选自《孟子·公孙丑下》) 【注释】①沈同:齐国大臣。②为天吏:奉行天命的天子。 (1)下列各项中,对上面《孟子》选段的理解,不正确的一项是( ) A.齐国讨伐燕国,是战国中期的一项重大事件。孟子认为,燕国的国政败坏,民众因此遭受苦难,所以是可以讨伐的。 B.孟子指出,讨伐燕国者必须施行优于燕国的政治措施,否则,伐燕是没有意义的,而且也不可能得到民众的支持。 C.孟子认为,燕国的国政败坏,齐人身为天吏,替天行道,可以讨伐燕国。但如果让燕国人讨伐燕国人,则不值得鼓励。 D.孟子认为,礼乐征伐这样的大事,不是谁都有权力去做的,因此他明确反对让像燕国一样暴虐的同为诸侯国的齐国去讨伐燕国。 (2)孟子是认为燕国可以讨伐,杀人犯可以杀掉么?为什么?
当前试题:1561279754993664,杰卡德相似度:0.28413284132841327,题干:阅读下面的《孟子》选段,回答问题。 孟子见齐宣王,曰:“所谓故国者,非谓有乔木之谓也,有世臣①之谓也。王无亲臣矣,昔者所进,今日不知其亡也。”王曰:“吾何以识其不才而舍之?”曰:“国君进贤,如不得已,将使卑逾尊,疏逾戚,可不慎与?左右皆曰‘贤’,未可也;诸大夫皆曰‘贤’,未可也;国人皆曰‘贤’,然后察之;见贤焉,然后用之。左右皆曰‘不可’,勿听;诸大夫皆曰‘不可’,勿听;国人皆曰‘不可’,然后察之;见不可焉,然后去之。左右皆曰‘可杀’,勿听;诸大夫皆曰‘可杀’,勿听;国人皆曰‘可杀’,然后察之,见可杀焉,然后杀之。故曰‘国人杀之’也。如此,然后可以为民父母。”(《孟子·梁惠王下》) 【注】①世臣:即“累世勋旧之臣,与国同休戚者也”(朱熹)。 下列对选段内容的理解,不正确的一项是( ) 孟子认为,一个国家要拥有长期为国效力立功的大臣,才能称得上是“故国”,所以国君选拔任用人才很重要。 齐宣王认为,齐国没有“亲臣”是因为他昔日没能分辨出“不才”之人,所以向孟子询问“识其不才”的方法。 孟子告诉齐宣王,在人才的任用上,应该以贤能与否为标准,即使超越“尊尊亲亲”的伦常,也不必有所顾忌。 孟子认为,国君只有运用恰当的方法,正确地选拔贤才和罢黜“不才”之人,才能称得上是人民的父母。 【小题2】“故曰:国人杀之也。”这体现了孟子的什么思想?
当前试题:2526504062001152,杰卡德相似度:0.16428571428571428,题干:阅读下面的文字,完成下面小题。 薛嵩,绛州万泉人。祖仁贵,高宗朝名将,封平阳郡公。父楚玉,为范阳、平卢节度使。嵩少以门荫,落拓不事家产,有膂力,善骑射,不知书。自天下兵起,委质逆徒。广德元年,东都平,时皇太子为天下兵马元帅,遣仆固怀恩东收河朔。嵩为贼守相州,闻贼朝义兵溃,王师至,嵩惶惑迎拜于怀恩马前,怀恩释之,令守旧职。时怀恩二心已萌。怀恩平河朔旋,乃奏嵩及田承嗣、张忠志、李怀仙分理河北道;诏遂以嵩为相州刺史,充相、卫、洺、邢等州节度观察使,承嗣镇魏州,忠志镇恒州,怀仙镇幽州,各据数州之地。时多事之后,姑欲安人,遂以重寄委嵩。嵩感恩奉职,数年间,管内粗理,累迁检校右仆射。大历八年正月卒。 嵩子平,年十二,嵩卒,军吏欲用河北故事,胁平知留后务,平伪许之,让于叔父崿,一夕以丧归。及免丧,累授右卫将军,在南衙凡三十年。宰相杜黄裳深器之,荐为汝州刺史、兼御史中丞,理有能名。元和七年,淮西用兵,自左龙武大将军授兼御史大夫、滑州刺史、郑滑节度观察等使,累有战功。滑州城西距黄河二里,每岁常为水患。平询访得古河道,接卫州黎阳县界。平率魏博节度使田弘正同上闻,开古河南北长十四里,决旧河以分水势,滑人遂无水患。居镇六年,入为左金吾大将军。未几,复为郑滑节度观察使。 长庆元年,幽镇叛,杜叔良统横海全军讨伐不胜,王庭凑围牛元翼于深州。棣州为贼所窘朝廷乃委平以师援棣州平即遣将李叔佐以兵五百救之。居数月,刺史王稷馈给稍薄,兵士怨怒,叔佐不能戢,宵溃而归。仍推突将马狼兒为帅,行及青城镇,劫镇将李自劝,并其众;次至博昌镇,复劫其镇兵,共得七千余人,径逼青州城。城中兵士不敌,平悉府库并家财募二千精卒,逆击之,仍先以骑兵掩其家属辎重,贼众惶惑反顾,因大败。狼兒与其同恶十数辈脱身窜匿,余党降,稍后者斩于鞠场。明日,狼兒亦就擒戮,胁从者放归田里。诏加右仆射,进封魏国公,由是远近畏伏平之威略。 在镇六周岁,兵甲完利,井赋均一。至是入觐,百姓遮道乞留,数日乃得出。在河中凡六年,召拜太子太保。明年,上疏乞老,以司徒致仕,居一年卒,册赠太傅。 ——节选自《旧唐书·列传第七十四》 对下列句子中加点的词的解释,不正确的一项是 ( ) 嵩少以门荫,落拓不事家产 落拓:豪放,放荡不羁 时多事之后,姑欲安人,遂以重寄委嵩 安:安排 自天下兵起,束身戎伍,委质逆徒 委质:顺从,归附 兵甲完利,井赋均一 完利:坚固锋利 以下句子中,全都直接表明薛嵩与薛平父子二人功绩的一组是 ( ) ①宰相杜黄裳深器之,荐为汝州刺史、兼御史中丞 ②嵩感恩奉职,数年间,管内粗理,累迁检校右仆射 ③自左龙武大将军授兼御史大夫、滑州刺史、郑滑节度观察等使,累有战功 ④至是入觐,百姓遮道乞留,数日乃得出 ⑤平悉府库并家财募二千精卒,逆击之 ⑥开古河南北长十四里,决旧河以分水势,滑人遂无水患 ①③④ ①⑤⑥ ②③⑥ ②④⑤ 下列对原文有关内容的分析和概括,不正确的一项是( ) 薛嵩原本替贼兵把守相州,贼兵败后,王师到来,薛嵩就到怀恩马前迎接叩拜,怀恩放了他,并让他做了相州刺史。 宰相杜黄裳很器重薛平,推荐他做汝州刺史、兼任御史中丞,治理得好,在当时很有名声。在淮西战事中,又屡有战功。 薛平在滑州时,率领魏博节度使田弘正开凿古河南北总长十四里,挖开旧河来分流水势,滑州百姓于是没有水患了。 青州城兵士不敌乱军时,薛平拿出府库和家里的全部钱财招募二千精锐的士兵,迎击对方,仍然先用骑兵掩击敌人的家属辎重,叛贼士兵惶惑反顾,于是大败。 对“军吏欲用河北故事,胁平知留后务,平伪许之,让于叔父崿,一夕以丧归”句翻译最准确的一项是( ) 军吏想要采用河北的故事,胁迫薛平务必留下来,薛平假装答应他们,让官给叔父薛崿,在一天夜里因为奔丧回家。 军吏想要遵照河北旧例,胁迫薛平务必留下来,薛平假装答应他们,让官给叔父薛崿,在一天夜里因为奔丧回家。 军吏想要遵照河北旧例,胁迫薛平留下来管理后务,薛平假装答应他们,让官给叔父薛崿,在一天夜里因为奔丧回家。 军吏想要遵照河北故事里的样子,胁迫薛平留下来管理后务,薛平答应了他们,让官给叔父薛崿,在一天夜里因为奔丧回家。 下列对文章中画波浪线部分的断句,正确的一项是( ) 棣州为贼所窘/朝廷乃委平/以师援棣州/平即遣将李叔佐/以兵五百救之。 棣州为贼所窘/朝廷乃委平以师/援棣州/平即遣将李叔佐/以兵五百救之。 棣州为贼所窘/朝廷乃委平以师援棣州/平即遣将李叔佐以兵五百救之。 棣州为贼所窘/朝廷乃委平以师/援棣州/平即遣将李叔佐以兵五百救之。
测试结果,排除完全相等的情况,对于普通的杰卡德计算相似度最高的为相似度得分为54,从10个中选取结果
- 阅读下面《孟子》选段,回答问题。 孟子谓戴不胜曰: “子欲子之王之善与?我明告子。有楚大夫于此,欲其子之齐语也,则使齐人傅诸,使楚人傅诸?”(1)曰:“使齐人傅之。” 曰:“一齐人傅之,欢楚人咻之,(2)虽日挞而求其齐也不可得矣;(3)引而置之庄岳之间数年,(4)虽日挞而求其楚亦不可得矣。子谓薛居州善士 也,(5使之居于王所。在于王所者长幼卑尊皆薛居州也,王谁与为不善?在 王所者长幼卑尊皆非薛居州也,王谁与为善?一薛居州,独如宋王何?”(6) 【注释】 (1)傅:朱熹《集注》云:“教也。”(2)淋(xiū休):为“喧哗”。(3)挞:责打。(4)庄岳:朱熹《集注》云:“齐街里名也。”(5)薛居州: 赵注云:“宋之善上也。”(6)独:王引之《经传释词》云:“独犹将也。” (1)下列各项中,对上面选段的理解不正确的一项是( ) A.孟子用设喻的方法反问戴不胜,楚国大夫的儿子要学会说齐国话,是找齐国的人来教他好呢,还是找楚国的人来教他好呢? B.孟子认为如果一个齐国人来教他,却有许多楚国人在他周围用楚国话来干扰他,即使每天鞭打他,要求他说齐国话,那也是不可能的。 C.同样的道理,如果在王宫中的人,无论年龄大小的还是地位高低的都居住在薛居州那里,那么君王和谁去做坏事呢? D.如果国君周围多是好人,那么国君也就会和大家一起向善做好事。相反,如果国君周围多是坏人,那么国君也就难做好人了。 (2)请结合上面选段,联系实际,谈谈接受教育与学习环境的关系。
对于不同n-gram改进杰卡德算法选取的最相似的结果
-
n-gram为1、2、3:阅读文化经典《孟子》,按要求答题。 孟子谓戴不胜①曰:“子欲子之王之善与?我明告子。有楚大夫于此,欲其子之齐语也,则使齐人傅诸?使楚人傅诸?” 曰:“使齐人傅之。” 曰:“一齐人傅之,众楚人咻之,虽日挞而求其齐也,不可得矣;引而置之庄岳之间数年②,虽日挞而求其楚,亦不可得矣。子谓薛居州③,善士也,使之居于王所。在于王所者,长幼卑尊皆薛居州也,王谁与为不善?在王所者,长幼卑尊皆非薛居州也,王谁与为善?一薛居州,独如宋王何?” (选自《孟子·滕文公下》) [注释] ①戴不胜:宋臣。②庄岳:庄,街名;岳,里名,都在齐都城临淄城内。这里代指齐都中的闹市区。③薛居州:宋国人。 下列各项中,对上面《孟子》选段的理解,不正确的一项是( ) 孟子认为一个齐国人教楚国大夫的儿子学齐国话,虽然周围有许多楚国人干扰他,但只要天天鞭打逼他学齐国话,就有可能学会的。 孟子认为把楚国大夫的儿子带到齐国都城的闹市上住上几年,即使天天鞭打他,要他讲楚国话,也不可能的了。 如果在王宫中的人,不论年龄大小、地位高低,都是薛居州那样的人.那么宋王就不能同谁一起干坏事了。 “一薛居州,独如宋王何?”说明一个薛居州,不能对宋王起到重要作用。 请用一个成语概括选段的主要内容,并分析孟子的观点。(用自己的话回答)
-
n-gram为4、5、6、7:阅读下面二则《孟子 》选段,回答问题。 ①孟子曰:“不挟长,不挟贵,不挟兄弟而友。友也者,友其德也,不可以有挟也。孟献子,百乘之家也,有友五人焉:乐正裘,牧仲,其三人.则予忘之矣。献子之与此五人者友也,无献子之家者也。此五人者,亦有献子之家,则不与之友矣。非惟百乘之家为然也,虽小国之君亦有之。……” (《孟子·万章下》) ②孟子谓万章曰:“一乡之善士,斯友一乡之善士;一国之善士,斯友一国之善土;天下之善士斯友天下之善士。以友天下之善士为未足,又尚论古之人。颂其诗,读其书,不知其人,可乎?是以论其事也,是尚友 也。(《孟子·万章下》) 下列对原文内容分析不正确的一项是( ) 与今人交友务必要颂读其诗文,做到“知其人”后方可结交。 “又尚论古之人”的意思是:又向上追论古代的人。 孟子说的“不挟”即不要有倚仗的念头。 选段②,孟子以层层推进的形式阐述了自己对于交友的认识。 【小题2】请你根据上面的文字,谈谈孟子对于交友的认识。
-
n-gram为8:阅读下面的文言文,完成小题。 孟子将朝王,王使人来曰:“寡人如就见者也,有寒疾,不可以风。朝,将视朝,不识可使寡人得见乎?”对曰:“不幸而有疾,不能造朝。” 明日,出吊于东郭氏。公孙丑曰:“昔者辞以病,今日吊,或者不可乎?”曰:“昔日疾,今日愈,如之何不吊?”王使人问疾,医来。孟仲子①对曰:“昔者有王命,有采薪之忧②,不能造朝。今病小愈,趋造于朝,我不识能至否乎?”使数人要于路,曰:“请必无归,而造于朝!”不得已而之景丑氏宿焉。 景子曰:“内则父子,外则君臣,人之大伦也。父子主恩,君臣主敬。丑见王之敬子也,未见所以敬王也。”曰:“恶!是何言也!齐人无以仁义与王言者,岂以仁义为不美也?其心曰‘是何足与言仁义也 ’云尔,则不敬莫大乎是。我非尧舜之道不敢以陈于王前,故齐人莫如我敬王也。”景子曰:“否,非此之谓也。《礼》曰:‘父召,无诺;君命召,不俟驾。’固将朝也,闻王命而遂不果③,宜与夫礼若不相似然。” 曰:“岂谓是与?天下有达尊④三:爵一,齿一,德一。朝廷莫如爵,乡党莫如齿,辅世长民莫如德。恶得有其一以慢其二哉?故将大有为之君,必有所不召之臣;欲有谋焉,则就之。其尊德乐道,不如是,不足与有为也。” (摘自《孟子·公孙丑下》) [注]①孟仲子:孟子的堂兄弟,跟孟子学习。②采薪之忧:谓有病不能上山打柴,是疾病的代词,为当时交际的习惯语。③不果:终于没有实行。④达尊:普遍尊贵的事。 对下列句子中加点的词的解释,不正确的一项是( ) 寡人如就见者也如:应当。 君命召,不俟驾俟:等待。 不识可使寡人得见乎得:能够。 使数人要于路要:要挟、威胁。 【小题2】下列词语中,加点字的意义和用法相同的一项是( ) ①不得已而之景丑氏宿焉②犹且从师而问焉 ①请必无归,而造于朝②吾尝终日而思矣 ①未见所以敬王也②所以遣将守关者,备他盗之出入与非常也。 ①岂谓是与②吾王庶几无疾病与 【小题3】本文的人物形象很生动,为了达到自己的目的,齐王、孟子、孟仲子都说过假话。根据原文内容判断,下面说的是真话的一句是 ( ) 寡人如就见也,有寒疾,不可以风 不幸而有疾,不能造朝 请必无归,而造于朝 今病小愈, 趋造于朝 【小题4】下列对原文有关内容的分析和概括,不正确的一项是( ) 本文通过孟子不接受齐王的召见,表明了孟子对君臣关系的看法与态度,他认为君臣关系应建立在仁义的基础上,国君应该礼贤下士,谦逊待人。 孟子认为国君的尊贵不应该表现在地位的优越上,臣子对国君的恭顺不应该只停留在礼节形 式上。 孟子还认为国君不能因为自己德高望重,就轻慢了地位和年龄比自己低的臣子,国君应该表现出尊德乐道的风范。 景丑氏认为孟子对齐王不恭敬,孟子本来要见国君,可是一听到齐王的命令反而不去了,景子觉得孟子这种做法与《礼记》上说的不相合。 【小题5】把下列句子翻译成现代汉语。 ①朝,将视朝,不识可使寡人得见乎?” ②故将大有为之君,必有所不召之臣;欲有谋焉,则就之。 ③危而不持,颠而不扶,则将焉用彼相矣。 ④狗彘食人食而不知检,涂有饿莩而不知发。
将杰卡德和改进杰卡德算法的最佳结果放到工具测试与原搜索题干余下弦相似度,略
- search text:阅读下面《孟子》选段,回答问题。 孟子谓戴不胜曰:“子欲子之王善与?我明告子。有楚大夫于此,欲其子之齐语也,则使齐人傅诸?使楚人傅诸?”曰:“使齐人傅之。”曰:“一齐人傅之,众楚人咻之,虽日挞而求其齐也,不可得矣。引而置之庄岳之间数年,虽日挞而求其楚,亦不可得矣。子谓薛居州,善士也,使之居于王所。在于王所者,长、幼、卑、尊皆薛居州也,王谁与为不善?在王所者,长、幼、卑、尊皆非薛居州也,王谁与为善?一薛居州独如宋王何?” 下列各项对文段内容理解错误的一项是( ) 孟子认为楚国大夫的儿子要学会说齐国话,与其请一个齐国人过来教,不如把他送到齐国最繁华的街里庄岳去学。 孟子认为戴不胜的国君做出不善之事,是因为善士薛居州不在他身边,不能给他及时有效的指导。 孟子运用了设喻的方法来问戴不胜,让他明白“欲王之善”的道理。 国君周围多是好人,他就会和大家一起做好事。如果国君周围多是坏人,他也就很难做好人了。 【小题2】荀子《劝学》中说“蓬生麻中,不扶自直;白沙在涅,与之俱黑”,请结合上面选段,联系实际,谈谈自己的看法。
- stem text:阅读下面《孟子》选段,回答问题。 孟子谓戴不胜曰:“子欲子之王善与?我明告子。有楚大夫于此,欲其子之齐语也,则使齐人傅诸?使楚人傅诸?”曰:“使齐人傅之。”曰:“一齐人傅之,众楚人咻之,虽日挞而求其齐也,不可得矣。引而置之庄岳之间数年,虽日挞而求其楚,亦不可得矣。子谓薛居州,善士也,使之居于王所。在于王所者,长、幼、卑、尊皆薛居州也,王谁与为不善?在王所者,长、幼、卑、尊皆非薛居州也,王谁与为善?一薛居州独如宋王何?” 下列各项对文段内容理解错误的一项是( ) 孟子认为楚国大夫的儿子要学会说齐国话,与其请一个齐国人过来教,不如把他送到齐国最繁华的街里庄岳去学。 孟子认为戴不胜的国君做出不善之事,是因为善士薛居州不在他身边,不能给他及时有效的指导。 孟子运用了设喻的方法来问戴不胜,让他明白“欲王之善”的道理。 国君周围多是好人,他就会和大家一起做好事。如果国君周围多是坏人,他也就很难做好人了。 【小题2】荀子《劝学》中说“蓬生麻中,不扶自直;白沙在涅,与之俱黑”,请结合上面选段,联系实际,谈谈自己的看法。
计算试题相似度(杰卡德,按照字符) 相似度: 100.0, 耗时: 0毫秒, 文本长度: 458/458
计算试题相似度(基于n-gram改进的杰卡德,window length : 1) 相似度: 100.0, 耗时: 0毫秒, 文本长度: 458/458
计算试题相似度(基于n-gram改进的杰卡德,window length : 2) 相似度: 100.0, 耗时: 1毫秒, 文本长度: 458/458
计算试题相似度(基于n-gram改进的杰卡德,window length : 3) 相似度: 100.0, 耗时: 0毫秒, 文本长度: 458/458
计算试题相似度(基于n-gram改进的杰卡德,window length : 4) 相似度: 100.0, 耗时: 1毫秒, 文本长度: 458/458
计算试题相似度(基于n-gram改进的杰卡德,window length : 5) 相似度: 100.0, 耗时: 0毫秒, 文本长度: 458/458
计算试题相似度(基于n-gram改进的杰卡德,window length : 6) 相似度: 100.0, 耗时: 1毫秒, 文本长度: 458/458
计算试题相似度(基于n-gram改进的杰卡德,window length : 7) 相似度: 100.0, 耗时: 0毫秒, 文本长度: 458/458
计算试题相似度(基于n-gram改进的杰卡德,window length : 8) 相似度: 100.0, 耗时: 1毫秒, 文本长度: 458/458
计算试题相似度(基于n-gram改进的杰卡德,window length : 9) 相似度: 100.0, 耗时: 1毫秒, 文本长度: 458/458
计算试题相似度(基于n-gram改进的杰卡德,window length : 10) 相似度: 100.0, 耗时: 0毫秒, 文本长度: 458/458
- search text:阅读下面《孟子》选段,回答问题。 孟子谓戴不胜曰:“子欲子之王善与?我明告子。有楚大夫于此,欲其子之齐语也,则使齐人傅诸?使楚人傅诸?”曰:“使齐人傅之。”曰:“一齐人傅之,众楚人咻之,虽日挞而求其齐也,不可得矣。引而置之庄岳之间数年,虽日挞而求其楚,亦不可得矣。子谓薛居州,善士也,使之居于王所。在于王所者,长、幼、卑、尊皆薛居州也,王谁与为不善?在王所者,长、幼、卑、尊皆非薛居州也,王谁与为善?一薛居州独如宋王何?” 下列各项对文段内容理解错误的一项是( ) 孟子认为楚国大夫的儿子要学会说齐国话,与其请一个齐国人过来教,不如把他送到齐国最繁华的街里庄岳去学。 孟子认为戴不胜的国君做出不善之事,是因为善士薛居州不在他身边,不能给他及时有效的指导。 孟子运用了设喻的方法来问戴不胜,让他明白“欲王之善”的道理。 国君周围多是好人,他就会和大家一起做好事。如果国君周围多是坏人,他也就很难做好人了。 【小题2】荀子《劝学》中说“蓬生麻中,不扶自直;白沙在涅,与之俱黑”,请结合上面选段,联系实际,谈谈自己的看法。
- stem text:阅读下面二则《孟子 》选段,回答问题。 ①孟子曰:“不挟长,不挟贵,不挟兄弟而友。友也者,友其德也,不可以有挟也。孟献子,百乘之家也,有友五人焉:乐正裘,牧仲,其三人.则予忘之矣。献子之与此五人者友也,无献子之家者也。此五人者,亦有献子之家,则不与之友矣。非惟百乘之家为然也,虽小国之君亦有之。……” (《孟子·万章下》) ②孟子谓万章曰:“一乡之善士,斯友一乡之善士;一国之善士,斯友一国之善土;天下之善士斯友天下之善士。以友天下之善士为未足,又尚论古之人。颂其诗,读其书,不知其人,可乎?是以论其事也,是尚友 也。(《孟子·万章下》) 下列对原文内容分析不正确的一项是( ) 与今人交友务必要颂读其诗文,做到“知其人”后方可结交。 “又尚论古之人”的意思是:又向上追论古代的人。 孟子说的“不挟”即不要有倚仗的念头。 选段②,孟子以层层推进的形式阐述了自己对于交友的认识。 【小题2】请你根据上面的文字,谈谈孟子对于交友的认识。
计算试题相似度(杰卡德,按照字符) 相似度: 25.0, 耗时: 2毫秒, 文本长度: 458/416
计算试题相似度(基于n-gram改进的杰卡德,window length : 1) 相似度: 68.21, 耗时: 1毫秒, 文本长度: 458/416
计算试题相似度(基于n-gram改进的杰卡德,window length : 2) 相似度: 73.16, 耗时: 0毫秒, 文本长度: 458/416
计算试题相似度(基于n-gram改进的杰卡德,window length : 3) 相似度: 77.52, 耗时: 0毫秒, 文本长度: 458/416
计算试题相似度(基于n-gram改进的杰卡德,window length : 4) 相似度: 85.62, 耗时: 1毫秒, 文本长度: 458/416
计算试题相似度(基于n-gram改进的杰卡德,window length : 5) 相似度: 90.75, 耗时: 0毫秒, 文本长度: 458/416
计算试题相似度(基于n-gram改进的杰卡德,window length : 6) 相似度: 90.73, 耗时: 1毫秒, 文本长度: 458/416
计算试题相似度(基于n-gram改进的杰卡德,window length : 7) 相似度: 90.71, 耗时: 0毫秒, 文本长度: 458/416
计算试题相似度(基于n-gram改进的杰卡德,window length : 8) 相似度: 90.69, 耗时: 1毫秒, 文本长度: 458/416
计算试题相似度(基于n-gram改进的杰卡德,window length : 9) 相似度: 90.67, 耗时: 0毫秒, 文本长度: 458/416
计算试题相似度(基于n-gram改进的杰卡德,window length : 10) 相似度: 90.65, 耗时: 0毫秒, 文本长度: 458/416
- search text:阅读下面《孟子》选段,回答问题。 孟子谓戴不胜曰:“子欲子之王善与?我明告子。有楚大夫于此,欲其子之齐语也,则使齐人傅诸?使楚人傅诸?”曰:“使齐人傅之。”曰:“一齐人傅之,众楚人咻之,虽日挞而求其齐也,不可得矣。引而置之庄岳之间数年,虽日挞而求其楚,亦不可得矣。子谓薛居州,善士也,使之居于王所。在于王所者,长、幼、卑、尊皆薛居州也,王谁与为不善?在王所者,长、幼、卑、尊皆非薛居州也,王谁与为善?一薛居州独如宋王何?” 下列各项对文段内容理解错误的一项是( ) 孟子认为楚国大夫的儿子要学会说齐国话,与其请一个齐国人过来教,不如把他送到齐国最繁华的街里庄岳去学。 孟子认为戴不胜的国君做出不善之事,是因为善士薛居州不在他身边,不能给他及时有效的指导。 孟子运用了设喻的方法来问戴不胜,让他明白“欲王之善”的道理。 国君周围多是好人,他就会和大家一起做好事。如果国君周围多是坏人,他也就很难做好人了。 【小题2】荀子《劝学》中说“蓬生麻中,不扶自直;白沙在涅,与之俱黑”,请结合上面选段,联系实际,谈谈自己的看法。
- stem text:阅读下列《孟子》选段,按要求回答问题。 陈臻问日:,“前日子齐,王馈兼金一百而不受;于宋,馈七十锰而受;于薛,馈五十镒而受。前日之不受是,则今日之受非也;今日之受是,则前日之不受非也。夫子必居一于此矣。”孟子曰:“皆是也。当在宋也,予将有远行,行者必以赆;辞曰:‘馈赆。’予何为不受?当在薛也,予有戒心;辞日: ‘闻戒,故为兵馈之。’.予何为不受?若于齐,则未有处也。无处而馈之,是货之也。焉有君子而可以货取乎?” ——《孟子·公孙丑下》 孟子曰:“大人者,言不必信,行不必果,惟义所在。” ——《孟子·离娄下》 请问这两段话共同体现了孟子怎样的行为准则?请结合语段简要说明。
计算试题相似度(杰卡德,按照字符) 相似度: 22.98, 耗时: 0毫秒, 文本长度: 458/288
计算试题相似度(基于n-gram改进的杰卡德,window length : 1) 相似度: 64.63, 耗时: 1毫秒, 文本长度: 458/288
计算试题相似度(基于n-gram改进的杰卡德,window length : 2) 相似度: 57.92, 耗时: 0毫秒, 文本长度: 458/288
计算试题相似度(基于n-gram改进的杰卡德,window length : 3) 相似度: 60.73, 耗时: 0毫秒, 文本长度: 458/288
计算试题相似度(基于n-gram改进的杰卡德,window length : 4) 相似度: 62.64, 耗时: 0毫秒, 文本长度: 458/288
计算试题相似度(基于n-gram改进的杰卡德,window length : 5) 相似度: 62.56, 耗时: 0毫秒, 文本长度: 458/288
计算试题相似度(基于n-gram改进的杰卡德,window length : 6) 相似度: 62.47, 耗时: 0毫秒, 文本长度: 458/288
计算试题相似度(基于n-gram改进的杰卡德,window length : 7) 相似度: 62.39, 耗时: 0毫秒, 文本长度: 458/288
计算试题相似度(基于n-gram改进的杰卡德,window length : 8) 相似度: 0.0, 耗时: 0毫秒, 文本长度: 458/288
计算试题相似度(基于n-gram改进的杰卡德,window length : 9) 相似度: 0.0, 耗时: 0毫秒, 文本长度: 458/288
计算试题相似度(基于n-gram改进的杰卡德,window length : 10) 相似度: 0.0, 耗时: 0毫秒, 文本长度: 458/288
- search text:阅读下面《孟子》选段,回答问题。 孟子谓戴不胜曰:“子欲子之王善与?我明告子。有楚大夫于此,欲其子之齐语也,则使齐人傅诸?使楚人傅诸?”曰:“使齐人傅之。”曰:“一齐人傅之,众楚人咻之,虽日挞而求其齐也,不可得矣。引而置之庄岳之间数年,虽日挞而求其楚,亦不可得矣。子谓薛居州,善士也,使之居于王所。在于王所者,长、幼、卑、尊皆薛居州也,王谁与为不善?在王所者,长、幼、卑、尊皆非薛居州也,王谁与为善?一薛居州独如宋王何?” 下列各项对文段内容理解错误的一项是( ) 孟子认为楚国大夫的儿子要学会说齐国话,与其请一个齐国人过来教,不如把他送到齐国最繁华的街里庄岳去学。 孟子认为戴不胜的国君做出不善之事,是因为善士薛居州不在他身边,不能给他及时有效的指导。 孟子运用了设喻的方法来问戴不胜,让他明白“欲王之善”的道理。 国君周围多是好人,他就会和大家一起做好事。如果国君周围多是坏人,他也就很难做好人了。 【小题2】荀子《劝学》中说“蓬生麻中,不扶自直;白沙在涅,与之俱黑”,请结合上面选段,联系实际,谈谈自己的看法。
- stem text:阅读下面的文言文,完成小题。 孟子将朝王,王使人来曰:“寡人如就见者也,有寒疾,不可以风。朝,将视朝,不识可使寡人得见乎?”对曰:“不幸而有疾,不能造朝。” 明日,出吊于东郭氏。公孙丑曰:“昔者辞以病,今日吊,或者不可乎?”曰:“昔日疾,今日愈,如之何不吊?”王使人问疾,医来。孟仲子①对曰:“昔者有王命,有采薪之忧②,不能造朝。今病小愈,趋造于朝,我不识能至否乎?”使数人要于路,曰:“请必无归,而造于朝!”不得已而之景丑氏宿焉。 景子曰:“内则父子,外则君臣,人之大伦也。父子主恩,君臣主敬。丑见王之敬子也,未见所以敬王也。”曰:“恶!是何言也!齐人无以仁义与王言者,岂以仁义为不美也?其心曰‘是何足与言仁义也 ’云尔,则不敬莫大乎是。我非尧舜之道不敢以陈于王前,故齐人莫如我敬王也。”景子曰:“否,非此之谓也。《礼》曰:‘父召,无诺;君命召,不俟驾。’固将朝也,闻王命而遂不果③,宜与夫礼若不相似然。” 曰:“岂谓是与?天下有达尊④三:爵一,齿一,德一。朝廷莫如爵,乡党莫如齿,辅世长民莫如德。恶得有其一以慢其二哉?故将大有为之君,必有所不召之臣;欲有谋焉,则就之。其尊德乐道,不如是,不足与有为也。” (摘自《孟子·公孙丑下》) [注]①孟仲子:孟子的堂兄弟,跟孟子学习。②采薪之忧:谓有病不能上山打柴,是疾病的代词,为当时交际的习惯语。③不果:终于没有实行。④达尊:普遍尊贵的事。 对下列句子中加点的词的解释,不正确的一项是( ) 寡人如就见者也如:应当。 君命召,不俟驾俟:等待。 不识可使寡人得见乎得:能够。 使数人要于路要:要挟、威胁。 【小题2】下列词语中,加点字的意义和用法相同的一项是( ) ①不得已而之景丑氏宿焉②犹且从师而问焉 ①请必无归,而造于朝②吾尝终日而思矣 ①未见所以敬王也②所以遣将守关者,备他盗之出入与非常也。 ①岂谓是与②吾王庶几无疾病与 【小题3】本文的人物形象很生动,为了达到自己的目的,齐王、孟子、孟仲子都说过假话。根据原文内容判断,下面说的是真话的一句是 ( ) 寡人如就见也,有寒疾,不可以风 不幸而有疾,不能造朝 请必无归,而造于朝 今病小愈, 趋造于朝 【小题4】下列对原文有关内容的分析和概括,不正确的一项是( ) 本文通过孟子不接受齐王的召见,表明了孟子对君臣关系的看法与态度,他认为君臣关系应建立在仁义的基础上,国君应该礼贤下士,谦逊待人。 孟子认为国君的尊贵不应该表现在地位的优越上,臣子对国君的恭顺不应该只停留在礼节形 式上。 孟子还认为国君不能因为自己德高望重,就轻慢了地位和年龄比自己低的臣子,国君应该表现出尊德乐道的风范。 景丑氏认为孟子对齐王不恭敬,孟子本来要见国君,可是一听到齐王的命令反而不去了,景子觉得孟子这种做法与《礼记》上说的不相合。 【小题5】把下列句子翻译成现代汉语。 ①朝,将视朝,不识可使寡人得见乎?” ②故将大有为之君,必有所不召之臣;欲有谋焉,则就之。 ③危而不持,颠而不扶,则将焉用彼相矣。 ④狗彘食人食而不知检,涂有饿莩而不知发。
计算试题相似度(杰卡德,按照字符) 相似度: 23.32, 耗时: 1毫秒, 文本长度: 458/1264
计算试题相似度(基于n-gram改进的杰卡德,window length : 1) 相似度: 66.86, 耗时: 0毫秒, 文本长度: 458/1264
计算试题相似度(基于n-gram改进的杰卡德,window length : 2) 相似度: 63.12, 耗时: 1毫秒, 文本长度: 458/1264
计算试题相似度(基于n-gram改进的杰卡德,window length : 3) 相似度: 59.14, 耗时: 0毫秒, 文本长度: 458/1264
计算试题相似度(基于n-gram改进的杰卡德,window length : 4) 相似度: 57.71, 耗时: 1毫秒, 文本长度: 458/1264
计算试题相似度(基于n-gram改进的杰卡德,window length : 5) 相似度: 64.2, 耗时: 0毫秒, 文本长度: 458/1264
计算试题相似度(基于n-gram改进的杰卡德,window length : 6) 相似度: 73.75, 耗时: 1毫秒, 文本长度: 458/1264
计算试题相似度(基于n-gram改进的杰卡德,window length : 7) 相似度: 81.4, 耗时: 0毫秒, 文本长度: 458/1264
计算试题相似度(基于n-gram改进的杰卡德,window length : 8) 相似度: 92.9, 耗时: 1毫秒, 文本长度: 458/1264
计算试题相似度(基于n-gram改进的杰卡德,window length : 9) 相似度: 0.0, 耗时: 0毫秒, 文本长度: 458/1264
计算试题相似度(基于n-gram改进的杰卡德,window length : 10) 相似度: 0.0, 耗时: 1毫秒, 文本长度: 458/1264
- search text:阅读下面《孟子》选段,回答问题。 孟子谓戴不胜曰:“子欲子之王善与?我明告子。有楚大夫于此,欲其子之齐语也,则使齐人傅诸?使楚人傅诸?”曰:“使齐人傅之。”曰:“一齐人傅之,众楚人咻之,虽日挞而求其齐也,不可得矣。引而置之庄岳之间数年,虽日挞而求其楚,亦不可得矣。子谓薛居州,善士也,使之居于王所。在于王所者,长、幼、卑、尊皆薛居州也,王谁与为不善?在王所者,长、幼、卑、尊皆非薛居州也,王谁与为善?一薛居州独如宋王何?” 下列各项对文段内容理解错误的一项是( ) 孟子认为楚国大夫的儿子要学会说齐国话,与其请一个齐国人过来教,不如把他送到齐国最繁华的街里庄岳去学。 孟子认为戴不胜的国君做出不善之事,是因为善士薛居州不在他身边,不能给他及时有效的指导。 孟子运用了设喻的方法来问戴不胜,让他明白“欲王之善”的道理。 国君周围多是好人,他就会和大家一起做好事。如果国君周围多是坏人,他也就很难做好人了。 【小题2】荀子《劝学》中说“蓬生麻中,不扶自直;白沙在涅,与之俱黑”,请结合上面选段,联系实际,谈谈自己的看法。
- stem text:阅读文化经典《孟子》,按要求答题。 孟子谓戴不胜①曰:“子欲子之王之善与?我明告子。有楚大夫于此,欲其子之齐语也,则使齐人傅诸?使楚人傅诸?” 曰:“使齐人傅之。” 曰:“一齐人傅之,众楚人咻之,虽日挞而求其齐也,不可得矣;引而置之庄岳之间数年②,虽日挞而求其楚,亦不可得矣。子谓薛居州③,善士也,使之居于王所。在于王所者,长幼卑尊皆薛居州也,王谁与为不善?在王所者,长幼卑尊皆非薛居州也,王谁与为善?一薛居州,独如宋王何?” (选自《孟子·滕文公下》) [注释] ①戴不胜:宋臣。②庄岳:庄,街名;岳,里名,都在齐都城临淄城内。这里代指齐都中的闹市区。③薛居州:宋国人。 下列各项中,对上面《孟子》选段的理解,不正确的一项是( ) 孟子认为一个齐国人教楚国大夫的儿子学齐国话,虽然周围有许多楚国人干扰他,但只要天天鞭打逼他学齐国话,就有可能学会的。 孟子认为把楚国大夫的儿子带到齐国都城的闹市上住上几年,即使天天鞭打他,要他讲楚国话,也不可能的了。 如果在王宫中的人,不论年龄大小、地位高低,都是薛居州那样的人.那么宋王就不能同谁一起干坏事了。 “一薛居州,独如宋王何?”说明一个薛居州,不能对宋王起到重要作用。 请用一个成语概括选段的主要内容,并分析孟子的观点。(用自己的话回答)
计算试题相似度(杰卡德,按照字符) 相似度: 50.42, 耗时: 0毫秒, 文本长度: 458/542
计算试题相似度(基于n-gram改进的杰卡德,window length : 1) 相似度: 75.48, 耗时: 0毫秒, 文本长度: 458/542
计算试题相似度(基于n-gram改进的杰卡德,window length : 2) 相似度: 76.68, 耗时: 0毫秒, 文本长度: 458/542
计算试题相似度(基于n-gram改进的杰卡德,window length : 3) 相似度: 79.04, 耗时: 0毫秒, 文本长度: 458/542
计算试题相似度(基于n-gram改进的杰卡德,window length : 4) 相似度: 81.01, 耗时: 1毫秒, 文本长度: 458/542
计算试题相似度(基于n-gram改进的杰卡德,window length : 5) 相似度: 82.63, 耗时: 0毫秒, 文本长度: 458/542
计算试题相似度(基于n-gram改进的杰卡德,window length : 6) 相似度: 83.33, 耗时: 0毫秒, 文本长度: 458/542
计算试题相似度(基于n-gram改进的杰卡德,window length : 7) 相似度: 83.75, 耗时: 0毫秒, 文本长度: 458/542
计算试题相似度(基于n-gram改进的杰卡德,window length : 8) 相似度: 84.3, 耗时: 0毫秒, 文本长度: 458/542
计算试题相似度(基于n-gram改进的杰卡德,window length : 9) 相似度: 84.27, 耗时: 0毫秒, 文本长度: 458/542
计算试题相似度(基于n-gram改进的杰卡德,window length : 10) 相似度: 84.24, 耗时: 0毫秒, 文本长度: 458/542
- search text:阅读下面《孟子》选段,回答问题。 孟子谓戴不胜曰:“子欲子之王善与?我明告子。有楚大夫于此,欲其子之齐语也,则使齐人傅诸?使楚人傅诸?”曰:“使齐人傅之。”曰:“一齐人傅之,众楚人咻之,虽日挞而求其齐也,不可得矣。引而置之庄岳之间数年,虽日挞而求其楚,亦不可得矣。子谓薛居州,善士也,使之居于王所。在于王所者,长、幼、卑、尊皆薛居州也,王谁与为不善?在王所者,长、幼、卑、尊皆非薛居州也,王谁与为善?一薛居州独如宋王何?” 下列各项对文段内容理解错误的一项是( ) 孟子认为楚国大夫的儿子要学会说齐国话,与其请一个齐国人过来教,不如把他送到齐国最繁华的街里庄岳去学。 孟子认为戴不胜的国君做出不善之事,是因为善士薛居州不在他身边,不能给他及时有效的指导。 孟子运用了设喻的方法来问戴不胜,让他明白“欲王之善”的道理。 国君周围多是好人,他就会和大家一起做好事。如果国君周围多是坏人,他也就很难做好人了。 【小题2】荀子《劝学》中说“蓬生麻中,不扶自直;白沙在涅,与之俱黑”,请结合上面选段,联系实际,谈谈自己的看法。
- stem text:阅读下面《孟子》选段,回答问题。 孟子谓戴不胜曰: “子欲子之王之善与?我明告子。有楚大夫于此,欲其子之齐语也,则使齐人傅诸,使楚人傅诸?”(1)曰:“使齐人傅之。” 曰:“一齐人傅之,欢楚人咻之,(2)虽日挞而求其齐也不可得矣;(3)引而置之庄岳之间数年,(4)虽日挞而求其楚亦不可得矣。子谓薛居州善士 也,(5使之居于王所。在于王所者长幼卑尊皆薛居州也,王谁与为不善?在 王所者长幼卑尊皆非薛居州也,王谁与为善?一薛居州,独如宋王何?”(6) 【注释】 (1)傅:朱熹《集注》云:“教也。”(2)淋(xiū休):为“喧哗”。(3)挞:责打。(4)庄岳:朱熹《集注》云:“齐街里名也。”(5)薛居州: 赵注云:“宋之善上也。”(6)独:王引之《经传释词》云:“独犹将也。” (1)下列各项中,对上面选段的理解不正确的一项是( ) A.孟子用设喻的方法反问戴不胜,楚国大夫的儿子要学会说齐国话,是找齐国的人来教他好呢,还是找楚国的人来教他好呢? B.孟子认为如果一个齐国人来教他,却有许多楚国人在他周围用楚国话来干扰他,即使每天鞭打他,要求他说齐国话,那也是不可能的。 C.同样的道理,如果在王宫中的人,无论年龄大小的还是地位高低的都居住在薛居州那里,那么君王和谁去做坏事呢? D.如果国君周围多是好人,那么国君也就会和大家一起向善做好事。相反,如果国君周围多是坏人,那么国君也就难做好人了。 (2)请结合上面选段,联系实际,谈谈接受教育与学习环境的关系。
计算试题相似度(杰卡德,按照字符) 相似度: 54.69, 耗时: 1毫秒, 文本长度: 458/628
计算试题相似度(基于n-gram改进的杰卡德,window length : 1) 相似度: 71.79, 耗时: 0毫秒, 文本长度: 458/628
计算试题相似度(基于n-gram改进的杰卡德,window length : 2) 相似度: 69.98, 耗时: 1毫秒, 文本长度: 458/628
计算试题相似度(基于n-gram改进的杰卡德,window length : 3) 相似度: 70.6, 耗时: 0毫秒, 文本长度: 458/628
计算试题相似度(基于n-gram改进的杰卡德,window length : 4) 相似度: 71.36, 耗时: 0毫秒, 文本长度: 458/628
计算试题相似度(基于n-gram改进的杰卡德,window length : 5) 相似度: 72.33, 耗时: 1毫秒, 文本长度: 458/628
计算试题相似度(基于n-gram改进的杰卡德,window length : 6) 相似度: 72.63, 耗时: 0毫秒, 文本长度: 458/628
计算试题相似度(基于n-gram改进的杰卡德,window length : 7) 相似度: 72.57, 耗时: 0毫秒, 文本长度: 458/628
计算试题相似度(基于n-gram改进的杰卡德,window length : 8) 相似度: 72.57, 耗时: 0毫秒, 文本长度: 458/628
计算试题相似度(基于n-gram改进的杰卡德,window length : 9) 相似度: 72.58, 耗时: 0毫秒, 文本长度: 458/628
计算试题相似度(基于n-gram改进的杰卡德,window length : 10) 相似度: 72.54, 耗时: 4毫秒, 文本长度: 458/628
- search text:阅读下面《孟子》选段,回答问题。 孟子谓戴不胜曰:“子欲子之王善与?我明告子。有楚大夫于此,欲其子之齐语也,则使齐人傅诸?使楚人傅诸?”曰:“使齐人傅之。”曰:“一齐人傅之,众楚人咻之,虽日挞而求其齐也,不可得矣。引而置之庄岳之间数年,虽日挞而求其楚,亦不可得矣。子谓薛居州,善士也,使之居于王所。在于王所者,长、幼、卑、尊皆薛居州也,王谁与为不善?在王所者,长、幼、卑、尊皆非薛居州也,王谁与为善?一薛居州独如宋王何?” 下列各项对文段内容理解错误的一项是( ) 孟子认为楚国大夫的儿子要学会说齐国话,与其请一个齐国人过来教,不如把他送到齐国最繁华的街里庄岳去学。 孟子认为戴不胜的国君做出不善之事,是因为善士薛居州不在他身边,不能给他及时有效的指导。 孟子运用了设喻的方法来问戴不胜,让他明白“欲王之善”的道理。 国君周围多是好人,他就会和大家一起做好事。如果国君周围多是坏人,他也就很难做好人了。 【小题2】荀子《劝学》中说“蓬生麻中,不扶自直;白沙在涅,与之俱黑”,请结合上面选段,联系实际,谈谈自己的看法。
- stem text:阅读下面的《孟子》选段,回答问题。 孟子谓戴不胜①曰:“子欲子之王之善与?我明告子。有楚大夫于此,欲其子之齐语也,则使齐人傅诸,使楚人傅诸?”曰:“使齐人傅之。” 曰:“一齐人傅之,众楚人咻之,虽日挞而求其齐也,不可得矣;引而置之庄岳②之间数年,虽日挞而求其楚,亦不可得矣。子谓薛居州,善士也,使之居于王所。在于王所者,长幼卑尊皆薛居州也,王谁与为不善?在王所者,长幼卑尊皆非薛居州也,王谁与为善?一薛居州,独如宋王何?” (《滕文公下》6.6) 【注释】①戴不胜:人名,宋国大臣 ②庄岳:齐国一个繁盛街道的名称 (1)从“一齐人傅之,众楚人咻之,虽日挞而求其齐也,不可得矣”一句中,可概括出成语 ;孟子运用 方法,向戴不胜提出了 的建议。 (2)请概括选段的主旨并简要分析。
计算试题相似度(杰卡德,按照字符) 相似度: 46.8, 耗时: 1毫秒, 文本长度: 458/338
计算试题相似度(基于n-gram改进的杰卡德,window length : 1) 相似度: 72.8, 耗时: 0毫秒, 文本长度: 458/338
计算试题相似度(基于n-gram改进的杰卡德,window length : 2) 相似度: 66.41, 耗时: 0毫秒, 文本长度: 458/338
计算试题相似度(基于n-gram改进的杰卡德,window length : 3) 相似度: 65.96, 耗时: 0毫秒, 文本长度: 458/338
计算试题相似度(基于n-gram改进的杰卡德,window length : 4) 相似度: 65.71, 耗时: 0毫秒, 文本长度: 458/338
计算试题相似度(基于n-gram改进的杰卡德,window length : 5) 相似度: 66.16, 耗时: 0毫秒, 文本长度: 458/338
计算试题相似度(基于n-gram改进的杰卡德,window length : 6) 相似度: 66.03, 耗时: 0毫秒, 文本长度: 458/338
计算试题相似度(基于n-gram改进的杰卡德,window length : 7) 相似度: 65.86, 耗时: 1毫秒, 文本长度: 458/338
计算试题相似度(基于n-gram改进的杰卡德,window length : 8) 相似度: 65.73, 耗时: 0毫秒, 文本长度: 458/338
计算试题相似度(基于n-gram改进的杰卡德,window length : 9) 相似度: 65.54, 耗时: 0毫秒, 文本长度: 458/338
计算试题相似度(基于n-gram改进的杰卡德,window length : 10) 相似度: 65.46, 耗时: 0毫秒, 文本长度: 458/338
- search text:阅读下面《孟子》选段,回答问题。 孟子谓戴不胜曰:“子欲子之王善与?我明告子。有楚大夫于此,欲其子之齐语也,则使齐人傅诸?使楚人傅诸?”曰:“使齐人傅之。”曰:“一齐人傅之,众楚人咻之,虽日挞而求其齐也,不可得矣。引而置之庄岳之间数年,虽日挞而求其楚,亦不可得矣。子谓薛居州,善士也,使之居于王所。在于王所者,长、幼、卑、尊皆薛居州也,王谁与为不善?在王所者,长、幼、卑、尊皆非薛居州也,王谁与为善?一薛居州独如宋王何?” 下列各项对文段内容理解错误的一项是( ) 孟子认为楚国大夫的儿子要学会说齐国话,与其请一个齐国人过来教,不如把他送到齐国最繁华的街里庄岳去学。 孟子认为戴不胜的国君做出不善之事,是因为善士薛居州不在他身边,不能给他及时有效的指导。 孟子运用了设喻的方法来问戴不胜,让他明白“欲王之善”的道理。 国君周围多是好人,他就会和大家一起做好事。如果国君周围多是坏人,他也就很难做好人了。 【小题2】荀子《劝学》中说“蓬生麻中,不扶自直;白沙在涅,与之俱黑”,请结合上面选段,联系实际,谈谈自己的看法。
- stem text:《孟子》选读 齐人伐燕。或问曰:“劝齐伐燕,有诸?”曰:“未也。沈同①问‘燕可伐与’,吾应之曰:‘可’。彼然而伐之也。彼如曰:‘孰可以伐之?’则将应之曰:‘为天吏②,则可以伐之。’今有杀人者,或问之曰:‘人可杀与?’则将应之曰:‘可’。彼如曰:‘孰可以杀之?’则将应之曰:‘为士师,则可以杀之。’今以燕伐燕,何为劝之哉?” (选自《孟子·公孙丑下》) 【注释】①沈同:齐国大臣。②为天吏:奉行天命的天子。 (1)下列各项中,对上面《孟子》选段的理解,不正确的一项是( ) A.齐国讨伐燕国,是战国中期的一项重大事件。孟子认为,燕国的国政败坏,民众因此遭受苦难,所以是可以讨伐的。 B.孟子指出,讨伐燕国者必须施行优于燕国的政治措施,否则,伐燕是没有意义的,而且也不可能得到民众的支持。 C.孟子认为,燕国的国政败坏,齐人身为天吏,替天行道,可以讨伐燕国。但如果让燕国人讨伐燕国人,则不值得鼓励。 D.孟子认为,礼乐征伐这样的大事,不是谁都有权力去做的,因此他明确反对让像燕国一样暴虐的同为诸侯国的齐国去讨伐燕国。 (2)孟子是认为燕国可以讨伐,杀人犯可以杀掉么?为什么?
计算试题相似度(杰卡德,按照字符) 相似度: 24.43, 耗时: 0毫秒, 文本长度: 458/485
计算试题相似度(基于n-gram改进的杰卡德,window length : 1) 相似度: 64.19, 耗时: 0毫秒, 文本长度: 458/485
计算试题相似度(基于n-gram改进的杰卡德,window length : 2) 相似度: 67.51, 耗时: 1毫秒, 文本长度: 458/485
计算试题相似度(基于n-gram改进的杰卡德,window length : 3) 相似度: 73.57, 耗时: 0毫秒, 文本长度: 458/485
计算试题相似度(基于n-gram改进的杰卡德,window length : 4) 相似度: 79.43, 耗时: 0毫秒, 文本长度: 458/485
计算试题相似度(基于n-gram改进的杰卡德,window length : 5) 相似度: 87.85, 耗时: 0毫秒, 文本长度: 458/485
计算试题相似度(基于n-gram改进的杰卡德,window length : 6) 相似度: 94.38, 耗时: 1毫秒, 文本长度: 458/485
计算试题相似度(基于n-gram改进的杰卡德,window length : 7) 相似度: 94.36, 耗时: 0毫秒, 文本长度: 458/485
计算试题相似度(基于n-gram改进的杰卡德,window length : 8) 相似度: 94.35, 耗时: 0毫秒, 文本长度: 458/485
计算试题相似度(基于n-gram改进的杰卡德,window length : 9) 相似度: 0.0, 耗时: 1毫秒, 文本长度: 458/485
计算试题相似度(基于n-gram改进的杰卡德,window length : 10) 相似度: 0.0, 耗时: 0毫秒, 文本长度: 458/485
- search text:阅读下面《孟子》选段,回答问题。 孟子谓戴不胜曰:“子欲子之王善与?我明告子。有楚大夫于此,欲其子之齐语也,则使齐人傅诸?使楚人傅诸?”曰:“使齐人傅之。”曰:“一齐人傅之,众楚人咻之,虽日挞而求其齐也,不可得矣。引而置之庄岳之间数年,虽日挞而求其楚,亦不可得矣。子谓薛居州,善士也,使之居于王所。在于王所者,长、幼、卑、尊皆薛居州也,王谁与为不善?在王所者,长、幼、卑、尊皆非薛居州也,王谁与为善?一薛居州独如宋王何?” 下列各项对文段内容理解错误的一项是( ) 孟子认为楚国大夫的儿子要学会说齐国话,与其请一个齐国人过来教,不如把他送到齐国最繁华的街里庄岳去学。 孟子认为戴不胜的国君做出不善之事,是因为善士薛居州不在他身边,不能给他及时有效的指导。 孟子运用了设喻的方法来问戴不胜,让他明白“欲王之善”的道理。 国君周围多是好人,他就会和大家一起做好事。如果国君周围多是坏人,他也就很难做好人了。 【小题2】荀子《劝学》中说“蓬生麻中,不扶自直;白沙在涅,与之俱黑”,请结合上面选段,联系实际,谈谈自己的看法。
- stem text:阅读下面的《孟子》选段,回答问题。 孟子见齐宣王,曰:“所谓故国者,非谓有乔木之谓也,有世臣①之谓也。王无亲臣矣,昔者所进,今日不知其亡也。”王曰:“吾何以识其不才而舍之?”曰:“国君进贤,如不得已,将使卑逾尊,疏逾戚,可不慎与?左右皆曰‘贤’,未可也;诸大夫皆曰‘贤’,未可也;国人皆曰‘贤’,然后察之;见贤焉,然后用之。左右皆曰‘不可’,勿听;诸大夫皆曰‘不可’,勿听;国人皆曰‘不可’,然后察之;见不可焉,然后去之。左右皆曰‘可杀’,勿听;诸大夫皆曰‘可杀’,勿听;国人皆曰‘可杀’,然后察之,见可杀焉,然后杀之。故曰‘国人杀之’也。如此,然后可以为民父母。”(《孟子·梁惠王下》) 【注】①世臣:即“累世勋旧之臣,与国同休戚者也”(朱熹)。 下列对选段内容的理解,不正确的一项是( ) 孟子认为,一个国家要拥有长期为国效力立功的大臣,才能称得上是“故国”,所以国君选拔任用人才很重要。 齐宣王认为,齐国没有“亲臣”是因为他昔日没能分辨出“不才”之人,所以向孟子询问“识其不才”的方法。 孟子告诉齐宣王,在人才的任用上,应该以贤能与否为标准,即使超越“尊尊亲亲”的伦常,也不必有所顾忌。 孟子认为,国君只有运用恰当的方法,正确地选拔贤才和罢黜“不才”之人,才能称得上是人民的父母。 【小题2】“故曰:国人杀之也。”这体现了孟子的什么思想?
计算试题相似度(杰卡德,按照字符) 相似度: 28.41, 耗时: 0毫秒, 文本长度: 458/572
计算试题相似度(基于n-gram改进的杰卡德,window length : 1) 相似度: 68.1, 耗时: 0毫秒, 文本长度: 458/572
计算试题相似度(基于n-gram改进的杰卡德,window length : 2) 相似度: 68.72, 耗时: 0毫秒, 文本长度: 458/572
计算试题相似度(基于n-gram改进的杰卡德,window length : 3) 相似度: 76.33, 耗时: 0毫秒, 文本长度: 458/572
计算试题相似度(基于n-gram改进的杰卡德,window length : 4) 相似度: 78.12, 耗时: 1毫秒, 文本长度: 458/572
计算试题相似度(基于n-gram改进的杰卡德,window length : 5) 相似度: 79.93, 耗时: 0毫秒, 文本长度: 458/572
计算试题相似度(基于n-gram改进的杰卡德,window length : 6) 相似度: 79.89, 耗时: 0毫秒, 文本长度: 458/572
计算试题相似度(基于n-gram改进的杰卡德,window length : 7) 相似度: 79.86, 耗时: 0毫秒, 文本长度: 458/572
计算试题相似度(基于n-gram改进的杰卡德,window length : 8) 相似度: 79.82, 耗时: 1毫秒, 文本长度: 458/572
计算试题相似度(基于n-gram改进的杰卡德,window length : 9) 相似度: 79.79, 耗时: 0毫秒, 文本长度: 458/572
计算试题相似度(基于n-gram改进的杰卡德,window length : 10) 相似度: 79.75, 耗时: 0毫秒, 文本长度: 458/572
- search text:阅读下面《孟子》选段,回答问题。 孟子谓戴不胜曰:“子欲子之王善与?我明告子。有楚大夫于此,欲其子之齐语也,则使齐人傅诸?使楚人傅诸?”曰:“使齐人傅之。”曰:“一齐人傅之,众楚人咻之,虽日挞而求其齐也,不可得矣。引而置之庄岳之间数年,虽日挞而求其楚,亦不可得矣。子谓薛居州,善士也,使之居于王所。在于王所者,长、幼、卑、尊皆薛居州也,王谁与为不善?在王所者,长、幼、卑、尊皆非薛居州也,王谁与为善?一薛居州独如宋王何?” 下列各项对文段内容理解错误的一项是( ) 孟子认为楚国大夫的儿子要学会说齐国话,与其请一个齐国人过来教,不如把他送到齐国最繁华的街里庄岳去学。 孟子认为戴不胜的国君做出不善之事,是因为善士薛居州不在他身边,不能给他及时有效的指导。 孟子运用了设喻的方法来问戴不胜,让他明白“欲王之善”的道理。 国君周围多是好人,他就会和大家一起做好事。如果国君周围多是坏人,他也就很难做好人了。 【小题2】荀子《劝学》中说“蓬生麻中,不扶自直;白沙在涅,与之俱黑”,请结合上面选段,联系实际,谈谈自己的看法。
- stem text:阅读下面的文字,完成下面小题。 薛嵩,绛州万泉人。祖仁贵,高宗朝名将,封平阳郡公。父楚玉,为范阳、平卢节度使。嵩少以门荫,落拓不事家产,有膂力,善骑射,不知书。自天下兵起,委质逆徒。广德元年,东都平,时皇太子为天下兵马元帅,遣仆固怀恩东收河朔。嵩为贼守相州,闻贼朝义兵溃,王师至,嵩惶惑迎拜于怀恩马前,怀恩释之,令守旧职。时怀恩二心已萌。怀恩平河朔旋,乃奏嵩及田承嗣、张忠志、李怀仙分理河北道;诏遂以嵩为相州刺史,充相、卫、洺、邢等州节度观察使,承嗣镇魏州,忠志镇恒州,怀仙镇幽州,各据数州之地。时多事之后,姑欲安人,遂以重寄委嵩。嵩感恩奉职,数年间,管内粗理,累迁检校右仆射。大历八年正月卒。 嵩子平,年十二,嵩卒,军吏欲用河北故事,胁平知留后务,平伪许之,让于叔父崿,一夕以丧归。及免丧,累授右卫将军,在南衙凡三十年。宰相杜黄裳深器之,荐为汝州刺史、兼御史中丞,理有能名。元和七年,淮西用兵,自左龙武大将军授兼御史大夫、滑州刺史、郑滑节度观察等使,累有战功。滑州城西距黄河二里,每岁常为水患。平询访得古河道,接卫州黎阳县界。平率魏博节度使田弘正同上闻,开古河南北长十四里,决旧河以分水势,滑人遂无水患。居镇六年,入为左金吾大将军。未几,复为郑滑节度观察使。 长庆元年,幽镇叛,杜叔良统横海全军讨伐不胜,王庭凑围牛元翼于深州。棣州为贼所窘朝廷乃委平以师援棣州平即遣将李叔佐以兵五百救之。居数月,刺史王稷馈给稍薄,兵士怨怒,叔佐不能戢,宵溃而归。仍推突将马狼兒为帅,行及青城镇,劫镇将李自劝,并其众;次至博昌镇,复劫其镇兵,共得七千余人,径逼青州城。城中兵士不敌,平悉府库并家财募二千精卒,逆击之,仍先以骑兵掩其家属辎重,贼众惶惑反顾,因大败。狼兒与其同恶十数辈脱身窜匿,余党降,稍后者斩于鞠场。明日,狼兒亦就擒戮,胁从者放归田里。诏加右仆射,进封魏国公,由是远近畏伏平之威略。 在镇六周岁,兵甲完利,井赋均一。至是入觐,百姓遮道乞留,数日乃得出。在河中凡六年,召拜太子太保。明年,上疏乞老,以司徒致仕,居一年卒,册赠太傅。 ——节选自《旧唐书·列传第七十四》 对下列句子中加点的词的解释,不正确的一项是 ( ) 嵩少以门荫,落拓不事家产 落拓:豪放,放荡不羁 时多事之后,姑欲安人,遂以重寄委嵩 安:安排 自天下兵起,束身戎伍,委质逆徒 委质:顺从,归附 兵甲完利,井赋均一 完利:坚固锋利 以下句子中,全都直接表明薛嵩与薛平父子二人功绩的一组是 ( ) ①宰相杜黄裳深器之,荐为汝州刺史、兼御史中丞 ②嵩感恩奉职,数年间,管内粗理,累迁检校右仆射 ③自左龙武大将军授兼御史大夫、滑州刺史、郑滑节度观察等使,累有战功 ④至是入觐,百姓遮道乞留,数日乃得出 ⑤平悉府库并家财募二千精卒,逆击之 ⑥开古河南北长十四里,决旧河以分水势,滑人遂无水患 ①③④ ①⑤⑥ ②③⑥ ②④⑤ 下列对原文有关内容的分析和概括,不正确的一项是( ) 薛嵩原本替贼兵把守相州,贼兵败后,王师到来,薛嵩就到怀恩马前迎接叩拜,怀恩放了他,并让他做了相州刺史。 宰相杜黄裳很器重薛平,推荐他做汝州刺史、兼任御史中丞,治理得好,在当时很有名声。在淮西战事中,又屡有战功。 薛平在滑州时,率领魏博节度使田弘正开凿古河南北总长十四里,挖开旧河来分流水势,滑州百姓于是没有水患了。 青州城兵士不敌乱军时,薛平拿出府库和家里的全部钱财招募二千精锐的士兵,迎击对方,仍然先用骑兵掩击敌人的家属辎重,叛贼士兵惶惑反顾,于是大败。 对“军吏欲用河北故事,胁平知留后务,平伪许之,让于叔父崿,一夕以丧归”句翻译最准确的一项是( ) 军吏想要采用河北的故事,胁迫薛平务必留下来,薛平假装答应他们,让官给叔父薛崿,在一天夜里因为奔丧回家。 军吏想要遵照河北旧例,胁迫薛平务必留下来,薛平假装答应他们,让官给叔父薛崿,在一天夜里因为奔丧回家。 军吏想要遵照河北旧例,胁迫薛平留下来管理后务,薛平假装答应他们,让官给叔父薛崿,在一天夜里因为奔丧回家。 军吏想要遵照河北故事里的样子,胁迫薛平留下来管理后务,薛平答应了他们,让官给叔父薛崿,在一天夜里因为奔丧回家。 下列对文章中画波浪线部分的断句,正确的一项是( ) 棣州为贼所窘/朝廷乃委平/以师援棣州/平即遣将李叔佐/以兵五百救之。 棣州为贼所窘/朝廷乃委平以师/援棣州/平即遣将李叔佐/以兵五百救之。 棣州为贼所窘/朝廷乃委平以师援棣州/平即遣将李叔佐以兵五百救之。 棣州为贼所窘/朝廷乃委平以师/援棣州/平即遣将李叔佐以兵五百救之。
计算试题相似度(杰卡德,按照字符) 相似度: 16.43, 耗时: 1毫秒, 文本长度: 458/1868
计算试题相似度(基于n-gram改进的杰卡德,window length : 1) 相似度: 57.63, 耗时: 1毫秒, 文本长度: 458/1868
计算试题相似度(基于n-gram改进的杰卡德,window length : 2) 相似度: 61.32, 耗时: 0毫秒, 文本长度: 458/1868
计算试题相似度(基于n-gram改进的杰卡德,window length : 3) 相似度: 68.3, 耗时: 1毫秒, 文本长度: 458/1868
计算试题相似度(基于n-gram改进的杰卡德,window length : 4) 相似度: 76.28, 耗时: 0毫秒, 文本长度: 458/1868
计算试题相似度(基于n-gram改进的杰卡德,window length : 5) 相似度: 73.07, 耗时: 1毫秒, 文本长度: 458/1868
计算试题相似度(基于n-gram改进的杰卡德,window length : 6) 相似度: 72.95, 耗时: 0毫秒, 文本长度: 458/1868
计算试题相似度(基于n-gram改进的杰卡德,window length : 7) 相似度: 72.82, 耗时: 1毫秒, 文本长度: 458/1868
计算试题相似度(基于n-gram改进的杰卡德,window length : 8) 相似度: 72.7, 耗时: 0毫秒, 文本长度: 458/1868
计算试题相似度(基于n-gram改进的杰卡德,window length : 9) 相似度: 0.0, 耗时: 1毫秒, 文本长度: 458/1868
计算试题相似度(基于n-gram改进的杰卡德,window length : 10) 相似度: 0.0, 耗时: 0毫秒, 文本长度: 458/1868
3、基于改进的长度差值权重的Jaccard算法测评
**测试结论:**设置两个权重范围[杰卡德系数权重,字符串长度差值权重] = [0.9-0.5,0.1-0.5],改进杰卡德和原生杰卡德所召回最相似的题干一样,也就是在设置权重值小于1的情况下,召回试题效果一致,性能上的话相差不大。
适合场景:对长度相似有一定要求,但是对内容相似要求不那么严格的场景。
3.1、算法原理
基于杰卡德改进的长度差值权重算法,改进之处是对两个字符串长度进行加权影响最终的相似度,比如 simility = (杰卡德相似度 * 0.7 + 0.3 *字符串差值的绝对值)。
3.2、算法代码实现
private static double similarityByJaccardByWeightChars(String left, String right, double jaccardWeight, double lengthDifferentWeight) {
List<Integer> s1Chars = left.chars().distinct().boxed().collect(Collectors.toList());
List<Integer> s2Chars = right.chars().distinct().boxed().collect(Collectors.toList());
long sameChars = CollectionUtils.intersection(s1Chars, s2Chars).size();
double denominator = CollectionUtils.union(s1Chars, s2Chars).stream().distinct().count();
// 在原杰卡德系数计算上面加权
return jaccardWeight * (sameChars / denominator) + lengthDifferentWeight * calculateCoefficient(left.length(),right.length());
}
public static double calculateCoefficient(int strLen, int strLen2) {
// 直接使用差值的绝对值作为系数
double coefficient = 1.0 / (1.0 + Math.abs(strLen - strLen2));
return coefficient;
}
3.3、效果测评
经过下面系列测试
-
3.3.1、与杰卡德、莱文斯坦相似度结果对比测试
-
3.3.2、测试n-gram对相似度影响
-
3.3.3、召回CASE测试1
-
**3.3.3、召回CASE测试2 **
3.3.1、与杰卡德、莱文斯坦相似度结果对比测试
测试结论:设置杰卡德系数权重0.7,字符串长度差值权重0.3
-
效果:目前下面CASE的测试不能的出该算法效果。因为加了长度差值权重,对于那些长度相差较大的文本,相似度计算的结果会比原生杰卡德算法计算值偏低。
-
效率:时间效率和原生的杰卡德算法相当。
具体的效果测试还是需要看下面召回的CASE测试。
String[] searchTexts = {
"危ない!その中に入る_。 なあ かな な ぞ",
"郊狼体型较小,只有灰狼体型的1/3,平时以啮齿类生物为食,偶尔也吃灰狼的食物残骸。黄石公园历史上为保护麋鹿曾大规模猎杀园中的灰狼。灰狼绝迹后,郊狼生活习性渐渐从单独捕猎啮齿生物转变为合作围猎麋鹿中衰老或幼年个体。后公园重新引入灰狼,回归黄石的灰狼群选择先猎杀郊狼群,郊狼被迫恢复曾经的生活习性。下列说法正确的是( ) 灰狼回归后,与郊狼的种间关系是捕食 灰狼属于顶极掠食者,流入灰狼的能量最多 原来灰狼与郊狼共存,因为二者之间生态位高度重叠 麋鹿数量提升后,郊狼选择捕食麋鹿, ",
"我要改正上课做小动作的不正确的毛病。",
" 一)水认地主的大多数是有抗日要求的,一部分开明绅士 是赞成民主改革的……故于实行减租减息之后,又须实行交租 交息……借以联合地主阶级一致抗日, ——摘编自《中共中央关于抗日根据地土地政策的决定》 材料三第一条废除封建性及半封建性剥削的土地制度,实 行耕者有其田的土地制度。 第二条 废除一切地主的土地所有权 ——摘编自《中国土地法大纲) (1)以上三则材料是中国共产党在不同历史时期的土地政策 请你任选其一,对这一政策起到的作用加以分析。(3分)",
"小红的爸爸是一名出租车司机,这星期前五天的收入情况如下表。(单位:元) 星期一 星期二 星期三 星期四 星期五 378 269 518 (1)星期二比星期一和星期三的总收入少209元,星期二收入多少元?, ",
"xS_5= C.20 D.15 南水北调工程缓解了北方一些地区水资源短缺问题,其中一部分水着入某水库.已知该水库水位为海拔148.5m时,相 140.0km^2x 应水面的面积为140.0km²;水位为海拔157.5m时,相应水面的面积为180.0km²,将该水库在这两个水位间的形状看 180.0km^2x 148.5m 作一个棱台,则该水库水位从海拔148.5m上升到157. 5m时,增加的水量约为(√~2.65) ( 157.5m (sqrt{7}≈2.65) A.1.0×10^9m^3 B.1.2×10^9m^3 C.1.4×10^9m^3 D.1.6×10^9m^3 8.设函米 米,"
};
String[] stemTexts = {
"授業中は隣の人と話を( )。静かにしてください。 A. しなさい B. するな C. するなあ D. するぞ",
"灰狼分布于北美、欧亚大陆和北非等地,原本是世界上广泛分布的物种,但是由于近一二百年来大量地捕猎和生态环境的破坏,其全世界各地的种群数量都在急剧下降,到了濒危的边缘。分布在黄石国家公园附近的灰狼亚种也没能逃此厄运。 黄石的灰狼种群被根除后,当地的麋鹿种群数量开始急剧增长,而黄石国家公园的环境条件急剧恶化。公园内麋鹿种群成倍地繁殖扩大,而山杨和柳树等落叶树种遭受到严重的过度取食。情急之下,公园管理部门开始了诱捕、转移和捕杀这些麋鹿的行动。虽然这一方法阻止了生态环境继续恶化,但也并未能改善已被破坏的生态环境。 $$1995$$年,灰狼被重新引入黄石公园。灰狼引入之后,科学家们便一直在监测和研究其对黄石公园生态系统的影响。灰狼的种群增加后,它最中意的猎物是麋鹿,种群数量开始减少(每只灰狼每年平均捕食$$22$$只鹿)。麋鹿种群数量的减少对本地的植被,特别是柳树、山杨等的生长起到了积极的作用。 同时,灰狼是郊狼的主要捕食者,有效控制了黄石地区郊狼的野生种群。仅灰狼引入两年,由于竞争和捕食的双重作用,郊狼种群已经减小到初始数量的一半。同时,当郊狼以众敌寡的时候,也能够一定程度上控制灰狼的野生种群,从而互相制约。郊狼是狐的天然捕食者,因此郊狼的减少使得狐的野生种群恢复,从而控制了狐的猎物(如野兔、幼鹿、啮齿类动物以及地栖鸟类等),从而缓解了小型植食性动物对植物的根、嫩芽和种子等的取食压力。这从根本上平衡了本地植物乃至真菌等微生物群落。 顶级捕食者的存在,不仅能够控制食物链各个环节生物种群的大小,还能够从行为上影响被捕食者,从而使它们的种群更加健康。例如,通过追捕行动,灰狼能够有效增强鹿的生存能力;同时,它们还能改变麋鹿的取食行为,使它们的取食范围更广,减少其对某一区域内植被的过度取食。 灰狼的出现同时伴随着公园内海狸种群的急剧增加。由于灰狼控制了麋鹿种群并使它们的取食范围更广,减轻了它们对局部地区柳树树干的取食压力,而这些柳树干正是海狸储水过冬的重要物资。 被灰狼捕杀的猎物遗体,还能够养活许多食腐动物,比如乌鸦、秃鹫、喜鹊、郊狼等。经过多年的种群恢复,灰狼终于在$$2009$$年被移出了濒危物种名录,而黄石国家公园的生态系统也逐渐恢复健康、平衡的状态。 黄石公园是一个生态系统。从生态系统的成分看,文中提到的柳树、山杨属于 ;灰狼、狐等属于 ;真菌属于 ;除此之外,还包括 。真菌等微生物通过 作用,将猎物遗体中的有机物分解为无机物,回归到环境中。 灰狼、郊狼等生物生命活动所需能量的根本来源是 。 根据上述材料,写出一条食物链 。 请叙述灰狼是如何影响海狸的数量的? 。 下列说法中正确的是( ) A. 灰狼与郊狼只有捕食关系 B. 狐数量的变化,只与它的捕食者郊狼有关 C. 在生态系统中,乌鸦可以是消费者,也可以是分解者 D. 灰狼可以改变麋鹿的数量,但不能改变麋鹿的取食方式 在对灰狼的捕猎之前,各种生物的数量和比例维持在一个相对稳定的状态,是因为生态系统具有一定的 能力,大量捕猎灰狼之后,黄石公园内的情况出现了危机,所以,当外界干扰超过一定的限度时,将会造成生态系统的崩溃,说明生态系统的这种能力是 。",
"在社会生活中,我们总是要遵守各种各样的社会秩序。下列做法中,你认同的有( ) ①上课认真听讲,不做小动作 ②不在楼道内追逐打闹 ③放学时,按顺序走出教室,不拥挤 ④在课堂上吃零食 ①②④ ①③④ ②③④ ①②③",
"下表所示为中国共产党在新民主主义革命时期的土地政策汇总,这表明( ) 时间 文件 土地政策 1929年4月 兴国县《土地法》 没收一切公共土地及地主阶级的土地 1942年1月 《中共中央关于抗日根据地土地改革的决定》 地主减租减息,农民交租交息 1947年10月 《中国土地法大纲》 废除封建性及半封建性剥削的土地制度,实现耕者有其田的土地制度 土地革命的依靠力量发生了改变 中共依据形势变化调整政策 农民革命运动的积极性得到激发 民主革命的性质发生了变化",
"如图所示 小檑的爸爸是一位出租车司机。星期一早上出车时,里程表的读数是65千米。每天收车时,小檑都记录了当时的里程读数,共计录了五天。(单位:千米)星期一星期二星期三星期四星期五272│468|675|675│906星期二比星期一少行驶了草稿米。",
"水库是我国防洪广泛采用的工程措施之一.已知某水库水位为海拔 155.5m 时,相应水面的面积为 180.0km^2 ;水位为海拔 146.5m 时,相应水面的面积为 140.0km^2 .将该水库在这两个水位间的形状看作一个棱台,则该水库水位从海拔 155.5m 下降到 146.5m 时,减少的水量约为 (sqrt{7}≈2.65) ( ) 1.0×10^9m^3 1.2×10^9m^3 1.4×10^9m^3 1.6×10^9m^3"
};
计算试题相似度(杰卡德) 相似度: 100.0, 耗时: 50毫秒, 文本长度: 27/27
计算试题相似度(莱温斯坦) 相似度: 100.0, 耗时: 3毫秒, 文本长度: 27/27
计算试题相似度(基于n-gram改进的杰卡德) 相似度: 100.0, 耗时: 17毫秒, 文本长度: 27/27
计算试题相似度(基于字符串长度差值加权改进的杰卡德) 相似度: 100.0, 耗时: 1毫秒, 文本长度: 27/27
计算试题相似度(杰卡德) 相似度: 97.67, 耗时: 1毫秒, 文本长度: 83/81
计算试题相似度(莱温斯坦) 相似度: 97.14, 耗时: 4毫秒, 文本长度: 83/81
计算试题相似度(基于n-gram改进的杰卡德) 相似度: 97.01, 耗时: 1毫秒, 文本长度: 83/81
计算试题相似度(基于字符串长度差值加权改进的杰卡德) 相似度: 78.37, 耗时: 1毫秒, 文本长度: 83/81
计算试题相似度(杰卡德) 相似度: 97.62, 耗时: 1毫秒, 文本长度: 61/59
计算试题相似度(莱温斯坦) 相似度: 96.0, 耗时: 0毫秒, 文本长度: 61/59
计算试题相似度(基于n-gram改进的杰卡德) 相似度: 95.74, 耗时: 1毫秒, 文本长度: 61/59
计算试题相似度(基于字符串长度差值加权改进的杰卡德) 相似度: 78.33, 耗时: 1毫秒, 文本长度: 61/59
计算试题相似度(杰卡德) 相似度: 94.44, 耗时: 2毫秒, 文本长度: 81/79
计算试题相似度(莱温斯坦) 相似度: 96.49, 耗时: 1毫秒, 文本长度: 81/79
计算试题相似度(基于n-gram改进的杰卡德) 相似度: 96.3, 耗时: 1毫秒, 文本长度: 81/79
计算试题相似度(基于字符串长度差值加权改进的杰卡德) 相似度: 76.11, 耗时: 1毫秒, 文本长度: 81/79
计算试题相似度(杰卡德) 相似度: 100.0, 耗时: 1毫秒, 文本长度: 308/308
计算试题相似度(莱温斯坦) 相似度: 100.0, 耗时: 7毫秒, 文本长度: 308/308
计算试题相似度(基于n-gram改进的杰卡德) 相似度: 100.0, 耗时: 3毫秒, 文本长度: 308/308
计算试题相似度(基于字符串长度差值加权改进的杰卡德) 相似度: 100.0, 耗时: 3毫秒, 文本长度: 308/308
计算试题相似度(杰卡德) 相似度: 100.0, 耗时: 0毫秒, 文本长度: 49/47
计算试题相似度(莱温斯坦) 相似度: 94.59, 耗时: 0毫秒, 文本长度: 49/47
计算试题相似度(基于n-gram改进的杰卡德) 相似度: 94.12, 耗时: 1毫秒, 文本长度: 49/47
计算试题相似度(基于字符串长度差值加权改进的杰卡德) 相似度: 80.0, 耗时: 0毫秒, 文本长度: 49/47
计算试题相似度(杰卡德) 相似度: 100.0, 耗时: 0毫秒, 文本长度: 67/67
计算试题相似度(莱温斯坦) 相似度: 100.0, 耗时: 1毫秒, 文本长度: 67/67
计算试题相似度(基于n-gram改进的杰卡德) 相似度: 100.0, 耗时: 0毫秒, 文本长度: 67/67
计算试题相似度(基于字符串长度差值加权改进的杰卡德) 相似度: 100.0, 耗时: 0毫秒, 文本长度: 67/67
计算试题相似度(杰卡德) 相似度: 100.0, 耗时: 0毫秒, 文本长度: 78/78
计算试题相似度(莱温斯坦) 相似度: 100.0, 耗时: 0毫秒, 文本长度: 78/78
计算试题相似度(基于n-gram改进的杰卡德) 相似度: 100.0, 耗时: 1毫秒, 文本长度: 78/78
计算试题相似度(基于字符串长度差值加权改进的杰卡德) 相似度: 100.0, 耗时: 0毫秒, 文本长度: 78/78
计算试题相似度(杰卡德) 相似度: 100.0, 耗时: 1毫秒, 文本长度: 53/53
计算试题相似度(莱温斯坦) 相似度: 100.0, 耗时: 0毫秒, 文本长度: 53/53
计算试题相似度(基于n-gram改进的杰卡德) 相似度: 100.0, 耗时: 0毫秒, 文本长度: 53/53
计算试题相似度(基于字符串长度差值加权改进的杰卡德) 相似度: 100.0, 耗时: 0毫秒, 文本长度: 53/53
计算试题相似度(杰卡德) 相似度: 93.94, 耗时: 1毫秒, 文本长度: 56/54
计算试题相似度(莱温斯坦) 相似度: 94.44, 耗时: 0毫秒, 文本长度: 56/54
计算试题相似度(基于n-gram改进的杰卡德) 相似度: 93.94, 耗时: 0毫秒, 文本长度: 56/54
计算试题相似度(基于字符串长度差值加权改进的杰卡德) 相似度: 75.76, 耗时: 0毫秒, 文本长度: 56/54
计算试题相似度(杰卡德) 相似度: 100.0, 耗时: 1毫秒, 文本长度: 742/733
计算试题相似度(莱温斯坦) 相似度: 98.69, 耗时: 4毫秒, 文本长度: 742/733
计算试题相似度(基于n-gram改进的杰卡德) 相似度: 98.15, 耗时: 1毫秒, 文本长度: 742/733
计算试题相似度(基于字符串长度差值加权改进的杰卡德) 相似度: 73.33, 耗时: 0毫秒, 文本长度: 742/733
计算试题相似度(杰卡德) 相似度: 100.0, 耗时: 1毫秒, 文本长度: 2841/2831
计算试题相似度(莱温斯坦) 相似度: 99.61, 耗时: 21毫秒, 文本长度: 2841/2831
计算试题相似度(基于n-gram改进的杰卡德) 相似度: 99.54, 耗时: 4毫秒, 文本长度: 2841/2831
计算试题相似度(基于字符串长度差值加权改进的杰卡德) 相似度: 73.0, 耗时: 1毫秒, 文本长度: 2841/2831
计算试题相似度(杰卡德) 相似度: 100.0, 耗时: 1毫秒, 文本长度: 1228/1161
计算试题相似度(莱温斯坦) 相似度: 94.18, 耗时: 3毫秒, 文本长度: 1228/1161
计算试题相似度(基于n-gram改进的杰卡德) 相似度: 93.74, 耗时: 2毫秒, 文本长度: 1228/1161
计算试题相似度(基于字符串长度差值加权改进的杰卡德) 相似度: 70.52, 耗时: 1毫秒, 文本长度: 1228/1161
计算试题相似度(杰卡德) 相似度: 100.0, 耗时: 1毫秒, 文本长度: 2087/2138
计算试题相似度(莱温斯坦) 相似度: 97.59, 耗时: 11毫秒, 文本长度: 2087/2138
计算试题相似度(基于n-gram改进的杰卡德) 相似度: 97.46, 耗时: 2毫秒, 文本长度: 2087/2138
计算试题相似度(基于字符串长度差值加权改进的杰卡德) 相似度: 70.7, 耗时: 1毫秒, 文本长度: 2087/2138
计算试题相似度(杰卡德) 相似度: 66.67, 耗时: 1毫秒, 文本长度: 308/396
计算试题相似度(莱温斯坦) 相似度: 26.27, 耗时: 0毫秒, 文本长度: 308/396
计算试题相似度(基于n-gram改进的杰卡德) 相似度: 78.7, 耗时: 1毫秒, 文本长度: 308/396
计算试题相似度(基于字符串长度差值加权改进的杰卡德) 相似度: 47.13, 耗时: 0毫秒, 文本长度: 308/396
计算试题相似度(杰卡德) 相似度: 28.13, 耗时: 0毫秒, 文本长度: 22/54
计算试题相似度(莱温斯坦) 相似度: 14.63, 耗时: 0毫秒, 文本长度: 22/54
计算试题相似度(基于n-gram改进的杰卡德) 相似度: 0.0, 耗时: 0毫秒, 文本长度: 22/54
计算试题相似度(基于字符串长度差值加权改进的杰卡德) 相似度: 20.8, 耗时: 0毫秒, 文本长度: 22/54
计算试题相似度(杰卡德) 相似度: 47.45, 耗时: 1毫秒, 文本长度: 2000/743
计算试题相似度(莱温斯坦) 相似度: 32.59, 耗时: 4毫秒, 文本长度: 2000/743
计算试题相似度(基于n-gram改进的杰卡德) 相似度: 38.04, 耗时: 2毫秒, 文本长度: 2000/743
计算试题相似度(基于字符串长度差值加权改进的杰卡德) 相似度: 33.24, 耗时: 1毫秒, 文本长度: 2000/743
3.3.2、测试杰卡德系数权重、长度差值权重对计算相似度影响
明显可以看出来,因为加了杰卡德系数权重(小于1)、长度差值权重(小于1),长度相差的文本,相似度计算的结果会比原生杰卡德算法计算值偏低。
如果对长度相似比较在意(比如要求字数相似也算相似的一部分,内容允许一定程度相似),就把长度差值权重调的大一些。
- search text:危ない!その中に入る_。 なあ かな な ぞ
- stem text:授業中は隣の人と話を( )。静かにしてください。 A. しなさい B. するな C. するなあ D. するぞ
计算试题相似度(杰卡德,按照字符) 相似度: 28.13, 耗时: 90毫秒, 文本长度: 22/54
计算试题相似度(基于字符串长度差值改进的杰卡德,jaccardWeight : 0.9,lengthDifferentWeight:0.1) 相似度: 26.36, 耗时: 1毫秒, 文本长度: 22/54
计算试题相似度(基于字符串长度差值改进的杰卡德,jaccardWeight : 0.8,lengthDifferentWeight:0.2) 相似度: 23.76, 耗时: 0毫秒, 文本长度: 22/54
计算试题相似度(基于字符串长度差值改进的杰卡德,jaccardWeight : 0.7,lengthDifferentWeight:0.3) 相似度: 21.17, 耗时: 1毫秒, 文本长度: 22/54
计算试题相似度(基于字符串长度差值改进的杰卡德,jaccardWeight : 0.6,lengthDifferentWeight:0.4) 相似度: 18.58, 耗时: 0毫秒, 文本长度: 22/54
计算试题相似度(基于字符串长度差值改进的杰卡德,jaccardWeight : 0.5,lengthDifferentWeight:0.5) 相似度: 15.99, 耗时: 0毫秒, 文本长度: 22/54
- search text:郊狼体型较小,只有灰狼体型的1/3,平时以啮齿类生物为食,偶尔也吃灰狼的食物残骸。黄石公园历史上为保护麋鹿曾大规模猎杀园中的灰狼。灰狼绝迹后,郊狼生活习性渐渐从单独捕猎啮齿生物转变为合作围猎麋鹿中衰老或幼年个体。后公园重新引入灰狼,回归黄石的灰狼群选择先猎杀郊狼群,郊狼被迫恢复曾经的生活习性。下列说法正确的是( ) 灰狼回归后,与郊狼的种间关系是捕食 灰狼属于顶极掠食者,流入灰狼的能量最多 原来灰狼与郊狼共存,因为二者之间生态位高度重叠 麋鹿数量提升后,郊狼选择捕食麋鹿,
- stem text:灰狼分布于北美、欧亚大陆和北非等地,原本是世界上广泛分布的物种,但是由于近一二百年来大量地捕猎和生态环境的破坏,其全世界各地的种群数量都在急剧下降,到了濒危的边缘。分布在黄石国家公园附近的灰狼亚种也没能逃此厄运。 黄石的灰狼种群被根除后,当地的麋鹿种群数量开始急剧增长,而黄石国家公园的环境条件急剧恶化。公园内麋鹿种群成倍地繁殖扩大,而山杨和柳树等落叶树种遭受到严重的过度取食。情急之下,公园管理部门开始了诱捕、转移和捕杀这些麋鹿的行动。虽然这一方法阻止了生态环境继续恶化,但也并未能改善已被破坏的生态环境。 $$1995$$年,灰狼被重新引入黄石公园。灰狼引入之后,科学家们便一直在监测和研究其对黄石公园生态系统的影响。灰狼的种群增加后,它最中意的猎物是麋鹿,种群数量开始减少(每只灰狼每年平均捕食$$22$$只鹿)。麋鹿种群数量的减少对本地的植被,特别是柳树、山杨等的生长起到了积极的作用。 同时,灰狼是郊狼的主要捕食者,有效控制了黄石地区郊狼的野生种群。仅灰狼引入两年,由于竞争和捕食的双重作用,郊狼种群已经减小到初始数量的一半。同时,当郊狼以众敌寡的时候,也能够一定程度上控制灰狼的野生种群,从而互相制约。郊狼是狐的天然捕食者,因此郊狼的减少使得狐的野生种群恢复,从而控制了狐的猎物(如野兔、幼鹿、啮齿类动物以及地栖鸟类等),从而缓解了小型植食性动物对植物的根、嫩芽和种子等的取食压力。这从根本上平衡了本地植物乃至真菌等微生物群落。 顶级捕食者的存在,不仅能够控制食物链各个环节生物种群的大小,还能够从行为上影响被捕食者,从而使它们的种群更加健康。例如,通过追捕行动,灰狼能够有效增强鹿的生存能力;同时,它们还能改变麋鹿的取食行为,使它们的取食范围更广,减少其对某一区域内植被的过度取食。 灰狼的出现同时伴随着公园内海狸种群的急剧增加。由于灰狼控制了麋鹿种群并使它们的取食范围更广,减轻了它们对局部地区柳树树干的取食压力,而这些柳树干正是海狸储水过冬的重要物资。 被灰狼捕杀的猎物遗体,还能够养活许多食腐动物,比如乌鸦、秃鹫、喜鹊、郊狼等。经过多年的种群恢复,灰狼终于在$$2009$$年被移出了濒危物种名录,而黄石国家公园的生态系统也逐渐恢复健康、平衡的状态。 黄石公园是一个生态系统。从生态系统的成分看,文中提到的柳树、山杨属于 ;灰狼、狐等属于 ;真菌属于 ;除此之外,还包括 。真菌等微生物通过 作用,将猎物遗体中的有机物分解为无机物,回归到环境中。 灰狼、郊狼等生物生命活动所需能量的根本来源是 。 根据上述材料,写出一条食物链 。 请叙述灰狼是如何影响海狸的数量的? 。 下列说法中正确的是( ) A. 灰狼与郊狼只有捕食关系 B. 狐数量的变化,只与它的捕食者郊狼有关 C. 在生态系统中,乌鸦可以是消费者,也可以是分解者 D. 灰狼可以改变麋鹿的数量,但不能改变麋鹿的取食方式 在对灰狼的捕猎之前,各种生物的数量和比例维持在一个相对稳定的状态,是因为生态系统具有一定的 能力,大量捕猎灰狼之后,黄石公园内的情况出现了危机,所以,当外界干扰超过一定的限度时,将会造成生态系统的崩溃,说明生态系统的这种能力是 。
计算试题相似度(杰卡德,按照字符) 相似度: 22.22, 耗时: 4毫秒, 文本长度: 239/1316
计算试题相似度(基于字符串长度差值改进的杰卡德,jaccardWeight : 0.9,lengthDifferentWeight:0.1) 相似度: 20.74, 耗时: 1毫秒, 文本长度: 239/1316
计算试题相似度(基于字符串长度差值改进的杰卡德,jaccardWeight : 0.8,lengthDifferentWeight:0.2) 相似度: 18.45, 耗时: 1毫秒, 文本长度: 239/1316
计算试题相似度(基于字符串长度差值改进的杰卡德,jaccardWeight : 0.7,lengthDifferentWeight:0.3) 相似度: 16.15, 耗时: 0毫秒, 文本长度: 239/1316
计算试题相似度(基于字符串长度差值改进的杰卡德,jaccardWeight : 0.6,lengthDifferentWeight:0.4) 相似度: 13.86, 耗时: 1毫秒, 文本长度: 239/1316
计算试题相似度(基于字符串长度差值改进的杰卡德,jaccardWeight : 0.5,lengthDifferentWeight:0.5) 相似度: 11.57, 耗时: 0毫秒, 文本长度: 239/1316
- search text:我要改正上课做小动作的不正确的毛病。
- stem text:在社会生活中,我们总是要遵守各种各样的社会秩序。下列做法中,你认同的有( ) ①上课认真听讲,不做小动作 ②不在楼道内追逐打闹 ③放学时,按顺序走出教室,不拥挤 ④在课堂上吃零食 ①②④ ①③④ ②③④ ①②③
计算试题相似度(杰卡德,按照字符) 相似度: 14.93, 耗时: 0毫秒, 文本长度: 18/105
计算试题相似度(基于字符串长度差值改进的杰卡德,jaccardWeight : 0.9,lengthDifferentWeight:0.1) 相似度: 13.86, 耗时: 0毫秒, 文本长度: 18/105
计算试题相似度(基于字符串长度差值改进的杰卡德,jaccardWeight : 0.8,lengthDifferentWeight:0.2) 相似度: 12.45, 耗时: 0毫秒, 文本长度: 18/105
计算试题相似度(基于字符串长度差值改进的杰卡德,jaccardWeight : 0.7,lengthDifferentWeight:0.3) 相似度: 11.04, 耗时: 0毫秒, 文本长度: 18/105
计算试题相似度(基于字符串长度差值改进的杰卡德,jaccardWeight : 0.6,lengthDifferentWeight:0.4) 相似度: 9.62, 耗时: 0毫秒, 文本长度: 18/105
计算试题相似度(基于字符串长度差值改进的杰卡德,jaccardWeight : 0.5,lengthDifferentWeight:0.5) 相似度: 8.21, 耗时: 0毫秒, 文本长度: 18/105
- search text: 一)水认地主的大多数是有抗日要求的,一部分开明绅士 是赞成民主改革的……故于实行减租减息之后,又须实行交租 交息……借以联合地主阶级一致抗日, ——摘编自《中共中央关于抗日根据地土地政策的决定》 材料三第一条废除封建性及半封建性剥削的土地制度,实 行耕者有其田的土地制度。 第二条 废除一切地主的土地所有权 ——摘编自《中国土地法大纲) (1)以上三则材料是中国共产党在不同历史时期的土地政策 请你任选其一,对这一政策起到的作用加以分析。(3分)
- stem text:下表所示为中国共产党在新民主主义革命时期的土地政策汇总,这表明( ) 时间 文件 土地政策 1929年4月 兴国县《土地法》 没收一切公共土地及地主阶级的土地 1942年1月 《中共中央关于抗日根据地土地改革的决定》 地主减租减息,农民交租交息 1947年10月 《中国土地法大纲》 废除封建性及半封建性剥削的土地制度,实现耕者有其田的土地制度 土地革命的依靠力量发生了改变 中共依据形势变化调整政策 农民革命运动的积极性得到激发 民主革命的性质发生了变化
计算试题相似度(杰卡德,按照字符) 相似度: 37.34, 耗时: 1毫秒, 文本长度: 224/228
计算试题相似度(基于字符串长度差值改进的杰卡德,jaccardWeight : 0.9,lengthDifferentWeight:0.1) 相似度: 37.24, 耗时: 0毫秒, 文本长度: 224/228
计算试题相似度(基于字符串长度差值改进的杰卡德,jaccardWeight : 0.8,lengthDifferentWeight:0.2) 相似度: 35.33, 耗时: 1毫秒, 文本长度: 224/228
计算试题相似度(基于字符串长度差值改进的杰卡德,jaccardWeight : 0.7,lengthDifferentWeight:0.3) 相似度: 33.41, 耗时: 0毫秒, 文本长度: 224/228
计算试题相似度(基于字符串长度差值改进的杰卡德,jaccardWeight : 0.6,lengthDifferentWeight:0.4) 相似度: 31.49, 耗时: 0毫秒, 文本长度: 224/228
计算试题相似度(基于字符串长度差值改进的杰卡德,jaccardWeight : 0.5,lengthDifferentWeight:0.5) 相似度: 29.58, 耗时: 1毫秒, 文本长度: 224/228
- search text:小红的爸爸是一名出租车司机,这星期前五天的收入情况如下表。(单位:元) 星期一 星期二 星期三 星期四 星期五 378 269 518 (1)星期二比星期一和星期三的总收入少209元,星期二收入多少元?,
- stem text:如图所示 小檑的爸爸是一位出租车司机。星期一早上出车时,里程表的读数是65千米。每天收车时,小檑都记录了当时的里程读数,共计录了五天。(单位:千米)星期一星期二星期三星期四星期五272│468|675|675│906星期二比星期一少行驶了草稿米。
计算试题相似度(杰卡德,按照字符) 相似度: 42.47, 耗时: 0毫秒, 文本长度: 103/123
计算试题相似度(基于字符串长度差值改进的杰卡德,jaccardWeight : 0.9,lengthDifferentWeight:0.1) 相似度: 42.1, 耗时: 1毫秒, 文本长度: 103/123
计算试题相似度(基于字符串长度差值改进的杰卡德,jaccardWeight : 0.8,lengthDifferentWeight:0.2) 相似度: 37.95, 耗时: 0毫秒, 文本长度: 103/123
计算试题相似度(基于字符串长度差值改进的杰卡德,jaccardWeight : 0.7,lengthDifferentWeight:0.3) 相似度: 33.8, 耗时: 0毫秒, 文本长度: 103/123
计算试题相似度(基于字符串长度差值改进的杰卡德,jaccardWeight : 0.6,lengthDifferentWeight:0.4) 相似度: 29.65, 耗时: 1毫秒, 文本长度: 103/123
计算试题相似度(基于字符串长度差值改进的杰卡德,jaccardWeight : 0.5,lengthDifferentWeight:0.5) 相似度: 25.51, 耗时: 0毫秒, 文本长度: 103/123
- search text:xS_5= C.20 D.15 南水北调工程缓解了北方一些地区水资源短缺问题,其中一部分水着入某水库.已知该水库水位为海拔148.5m时,相 140.0km^2x 应水面的面积为140.0km²;水位为海拔157.5m时,相应水面的面积为180.0km²,将该水库在这两个水位间的形状看 180.0km^2x 148.5m 作一个棱台,则该水库水位从海拔148.5m上升到157. 5m时,增加的水量约为(√~2.65) ( 157.5m (sqrt{7}≈2.65) A.1.0×10^9m^3 B.1.2×10^9m^3 C.1.4×10^9m^3 D.1.6×10^9m^3 8.设函米 米,
- stem text:水库是我国防洪广泛采用的工程措施之一.已知某水库水位为海拔 155.5m 时,相应水面的面积为 180.0km^2 ;水位为海拔 146.5m 时,相应水面的面积为 140.0km^2 .将该水库在这两个水位间的形状看作一个棱台,则该水库水位从海拔 155.5m 下降到 146.5m 时,减少的水量约为 (sqrt{7}≈2.65) ( ) 1.0×10^9m^3 1.2×10^9m^3 1.4×10^9m^3 1.6×10^9m^3
计算试题相似度(杰卡德,按照字符) 相似度: 50.45, 耗时: 1毫秒, 文本长度: 299/219
计算试题相似度(基于字符串长度差值改进的杰卡德,jaccardWeight : 0.9,lengthDifferentWeight:0.1) 相似度: 47.77, 耗时: 0毫秒, 文本长度: 299/219
计算试题相似度(基于字符串长度差值改进的杰卡德,jaccardWeight : 0.8,lengthDifferentWeight:0.2) 相似度: 42.6, 耗时: 1毫秒, 文本长度: 299/219
计算试题相似度(基于字符串长度差值改进的杰卡德,jaccardWeight : 0.7,lengthDifferentWeight:0.3) 相似度: 37.43, 耗时: 0毫秒, 文本长度: 299/219
计算试题相似度(基于字符串长度差值改进的杰卡德,jaccardWeight : 0.6,lengthDifferentWeight:0.4) 相似度: 32.26, 耗时: 1毫秒, 文本长度: 299/219
计算试题相似度(基于字符串长度差值改进的杰卡德,jaccardWeight : 0.5,lengthDifferentWeight:0.5) 相似度: 27.09, 耗时: 0毫秒, 文本长度: 299/219
- search text:方位角的表示,
- stem text:若数轴经过折叠,﹣1表示的点与3表示的点重合,则﹣2018表示的点与数 表示的点重合.
计算试题相似度(杰卡德,按照字符) 相似度: 12.0, 耗时: 0毫秒, 文本长度: 7/43
计算试题相似度(基于字符串长度差值改进的杰卡德,jaccardWeight : 0.9,lengthDifferentWeight:0.1) 相似度: 13.6, 耗时: 0毫秒, 文本长度: 7/43
计算试题相似度(基于字符串长度差值改进的杰卡德,jaccardWeight : 0.8,lengthDifferentWeight:0.2) 相似度: 12.39, 耗时: 0毫秒, 文本长度: 7/43
计算试题相似度(基于字符串长度差值改进的杰卡德,jaccardWeight : 0.7,lengthDifferentWeight:0.3) 相似度: 11.18, 耗时: 0毫秒, 文本长度: 7/43
计算试题相似度(基于字符串长度差值改进的杰卡德,jaccardWeight : 0.6,lengthDifferentWeight:0.4) 相似度: 9.97, 耗时: 0毫秒, 文本长度: 7/43
计算试题相似度(基于字符串长度差值改进的杰卡德,jaccardWeight : 0.5,lengthDifferentWeight:0.5) 相似度: 8.76, 耗时: 0毫秒, 文本长度: 7/43
- search text:阅读下面《孟子》选段,回答问题。 孟子谓戴不胜曰:“子欲子之王善与?我明告子。有楚大夫于此,欲其子之齐语也,则使齐人傅诸?使楚人傅诸?”曰:“使齐人傅之。”曰:“一齐人傅之,众楚人咻之,虽日挞而求其齐也,不可得矣。引而置之庄岳之间数年,虽日挞而求其楚,亦不可得矣。子谓薛居州,善士也,使之居于王所。在于王所者,长、幼、卑、尊皆薛居州也,王谁与为不善?在王所者,长、幼、卑、尊皆非薛居州也,王谁与为善?一薛居州独如宋王何?” 下列各项对文段内容理解错误的一项是( ) 孟子认为楚国大夫的儿子要学会说齐国话,与其请一个齐国人过来教,不如把他送到齐国最繁华的街里庄岳去学。 孟子认为戴不胜的国君做出不善之事,是因为善士薛居州不在他身边,不能给他及时有效的指导。 孟子运用了设喻的方法来问戴不胜,让他明白“欲王之善”的道理。 国君周围多是好人,他就会和大家一起做好事。如果国君周围多是坏人,他也就很难做好人了。 【小题2】荀子《劝学》中说“蓬生麻中,不扶自直;白沙在涅,与之俱黑”,请结合上面选段,联系实际,谈谈自己的看法。
- stem text:阅读下面《孟子》选段,回答问题。 孟子谓戴不胜曰:“子欲子之王善与?我明告子。有楚大夫于此,欲其子之齐语也,则使齐人傅诸?使楚人傅诸?”曰:“使齐人傅之。”曰:“一齐人傅之,众楚人咻之,虽日挞而求其齐也,不可得矣。引而置之庄岳之间数年,虽日挞而求其楚,亦不可得矣。子谓薛居州,善士也,使之居于王所。在于王所者,长、幼、卑、尊皆薛居州也,王谁与为不善?在王所者,长、幼、卑、尊皆非薛居州也,王谁与为善?一薛居州独如宋王何?” 下列各项对文段内容理解错误的一项是( ) 孟子认为楚国大夫的儿子要学会说齐国话,与其请一个齐国人过来教,不如把他送到齐国最繁华的街里庄岳去学。 孟子认为戴不胜的国君做出不善之事,是因为善士薛居州不在他身边,不能给他及时有效的指导。 孟子运用了设喻的方法来问戴不胜,让他明白“欲王之善”的道理。 国君周围多是好人,他就会和大家一起做好事。如果国君周围多是坏人,他也就很难做好人了。 【小题2】荀子《劝学》中说“蓬生麻中,不扶自直;白沙在涅,与之俱黑”,请结合上面选段,联系实际,谈谈自己的看法。
计算试题相似度(杰卡德,按照字符) 相似度: 100.0, 耗时: 1毫秒, 文本长度: 458/458
计算试题相似度(基于字符串长度差值改进的杰卡德,jaccardWeight : 0.9,lengthDifferentWeight:0.1) 相似度: 100.0, 耗时: 0毫秒, 文本长度: 458/458
计算试题相似度(基于字符串长度差值改进的杰卡德,jaccardWeight : 0.8,lengthDifferentWeight:0.2) 相似度: 100.0, 耗时: 0毫秒, 文本长度: 458/458
计算试题相似度(基于字符串长度差值改进的杰卡德,jaccardWeight : 0.7,lengthDifferentWeight:0.3) 相似度: 100.0, 耗时: 1毫秒, 文本长度: 458/458
计算试题相似度(基于字符串长度差值改进的杰卡德,jaccardWeight : 0.6,lengthDifferentWeight:0.4) 相似度: 100.0, 耗时: 0毫秒, 文本长度: 458/458
计算试题相似度(基于字符串长度差值改进的杰卡德,jaccardWeight : 0.5,lengthDifferentWeight:0.5) 相似度: 100.0, 耗时: 0毫秒, 文本长度: 458/458
- search text:阅读下面《孟子》选段,回答问题。 孟子谓戴不胜曰:“子欲子之王善与?我明告子。有楚大夫于此,欲其子之齐语也,则使齐人傅诸?使楚人傅诸?”曰:“使齐人傅之。”曰:“一齐人傅之,众楚人咻之,虽日挞而求其齐也,不可得矣。引而置之庄岳之间数年,虽日挞而求其楚,亦不可得矣。子谓薛居州,善士也,使之居于王所。在于王所者,长、幼、卑、尊皆薛居州也,王谁与为不善?在王所者,长、幼、卑、尊皆非薛居州也,王谁与为善?一薛居州独如宋王何?” 下列各项对文段内容理解错误的一项是( ) 孟子认为楚国大夫的儿子要学会说齐国话,与其请一个齐国人过来教,不如把他送到齐国最繁华的街里庄岳去学。 孟子认为戴不胜的国君做出不善之事,是因为善士薛居州不在他身边,不能给他及时有效的指导。 孟子运用了设喻的方法来问戴不胜,让他明白“欲王之善”的道理。 国君周围多是好人,他就会和大家一起做好事。如果国君周围多是坏人,他也就很难做好人了。 【小题2】荀子《劝学》中说“蓬生麻中,不扶自直;白沙在涅,与之俱黑”,请结合上面选段,联系实际,谈谈自己的看法。
- stem text:阅读下面二则《孟子 》选段,回答问题。 ①孟子曰:“不挟长,不挟贵,不挟兄弟而友。友也者,友其德也,不可以有挟也。孟献子,百乘之家也,有友五人焉:乐正裘,牧仲,其三人.则予忘之矣。献子之与此五人者友也,无献子之家者也。此五人者,亦有献子之家,则不与之友矣。非惟百乘之家为然也,虽小国之君亦有之。……” (《孟子·万章下》) ②孟子谓万章曰:“一乡之善士,斯友一乡之善士;一国之善士,斯友一国之善土;天下之善士斯友天下之善士。以友天下之善士为未足,又尚论古之人。颂其诗,读其书,不知其人,可乎?是以论其事也,是尚友 也。(《孟子·万章下》) 下列对原文内容分析不正确的一项是( ) 与今人交友务必要颂读其诗文,做到“知其人”后方可结交。 “又尚论古之人”的意思是:又向上追论古代的人。 孟子说的“不挟”即不要有倚仗的念头。 选段②,孟子以层层推进的形式阐述了自己对于交友的认识。 【小题2】请你根据上面的文字,谈谈孟子对于交友的认识。
计算试题相似度(杰卡德,按照字符) 相似度: 25.0, 耗时: 0毫秒, 文本长度: 458/416
计算试题相似度(基于字符串长度差值改进的杰卡德,jaccardWeight : 0.9,lengthDifferentWeight:0.1) 相似度: 26.19, 耗时: 1毫秒, 文本长度: 458/416
计算试题相似度(基于字符串长度差值改进的杰卡德,jaccardWeight : 0.8,lengthDifferentWeight:0.2) 相似度: 23.54, 耗时: 0毫秒, 文本长度: 458/416
计算试题相似度(基于字符串长度差值改进的杰卡德,jaccardWeight : 0.7,lengthDifferentWeight:0.3) 相似度: 20.88, 耗时: 0毫秒, 文本长度: 458/416
计算试题相似度(基于字符串长度差值改进的杰卡德,jaccardWeight : 0.6,lengthDifferentWeight:0.4) 相似度: 18.23, 耗时: 1毫秒, 文本长度: 458/416
计算试题相似度(基于字符串长度差值改进的杰卡德,jaccardWeight : 0.5,lengthDifferentWeight:0.5) 相似度: 15.58, 耗时: 0毫秒, 文本长度: 458/416
- search text:阅读下面《孟子》选段,回答问题。 孟子谓戴不胜曰:“子欲子之王善与?我明告子。有楚大夫于此,欲其子之齐语也,则使齐人傅诸?使楚人傅诸?”曰:“使齐人傅之。”曰:“一齐人傅之,众楚人咻之,虽日挞而求其齐也,不可得矣。引而置之庄岳之间数年,虽日挞而求其楚,亦不可得矣。子谓薛居州,善士也,使之居于王所。在于王所者,长、幼、卑、尊皆薛居州也,王谁与为不善?在王所者,长、幼、卑、尊皆非薛居州也,王谁与为善?一薛居州独如宋王何?” 下列各项对文段内容理解错误的一项是( ) 孟子认为楚国大夫的儿子要学会说齐国话,与其请一个齐国人过来教,不如把他送到齐国最繁华的街里庄岳去学。 孟子认为戴不胜的国君做出不善之事,是因为善士薛居州不在他身边,不能给他及时有效的指导。 孟子运用了设喻的方法来问戴不胜,让他明白“欲王之善”的道理。 国君周围多是好人,他就会和大家一起做好事。如果国君周围多是坏人,他也就很难做好人了。 【小题2】荀子《劝学》中说“蓬生麻中,不扶自直;白沙在涅,与之俱黑”,请结合上面选段,联系实际,谈谈自己的看法。
- stem text:阅读下列《孟子》选段,按要求回答问题。 陈臻问日:,“前日子齐,王馈兼金一百而不受;于宋,馈七十锰而受;于薛,馈五十镒而受。前日之不受是,则今日之受非也;今日之受是,则前日之不受非也。夫子必居一于此矣。”孟子曰:“皆是也。当在宋也,予将有远行,行者必以赆;辞曰:‘馈赆。’予何为不受?当在薛也,予有戒心;辞日: ‘闻戒,故为兵馈之。’.予何为不受?若于齐,则未有处也。无处而馈之,是货之也。焉有君子而可以货取乎?” ——《孟子·公孙丑下》 孟子曰:“大人者,言不必信,行不必果,惟义所在。” ——《孟子·离娄下》 请问这两段话共同体现了孟子怎样的行为准则?请结合语段简要说明。
计算试题相似度(杰卡德,按照字符) 相似度: 22.98, 耗时: 1毫秒, 文本长度: 458/288
计算试题相似度(基于字符串长度差值改进的杰卡德,jaccardWeight : 0.9,lengthDifferentWeight:0.1) 相似度: 23.01, 耗时: 0毫秒, 文本长度: 458/288
计算试题相似度(基于字符串长度差值改进的杰卡德,jaccardWeight : 0.8,lengthDifferentWeight:0.2) 相似度: 20.52, 耗时: 0毫秒, 文本长度: 458/288
计算试题相似度(基于字符串长度差值改进的杰卡德,jaccardWeight : 0.7,lengthDifferentWeight:0.3) 相似度: 18.02, 耗时: 0毫秒, 文本长度: 458/288
计算试题相似度(基于字符串长度差值改进的杰卡德,jaccardWeight : 0.6,lengthDifferentWeight:0.4) 相似度: 15.53, 耗时: 0毫秒, 文本长度: 458/288
计算试题相似度(基于字符串长度差值改进的杰卡德,jaccardWeight : 0.5,lengthDifferentWeight:0.5) 相似度: 13.04, 耗时: 0毫秒, 文本长度: 458/288
- search text:阅读下面《孟子》选段,回答问题。 孟子谓戴不胜曰:“子欲子之王善与?我明告子。有楚大夫于此,欲其子之齐语也,则使齐人傅诸?使楚人傅诸?”曰:“使齐人傅之。”曰:“一齐人傅之,众楚人咻之,虽日挞而求其齐也,不可得矣。引而置之庄岳之间数年,虽日挞而求其楚,亦不可得矣。子谓薛居州,善士也,使之居于王所。在于王所者,长、幼、卑、尊皆薛居州也,王谁与为不善?在王所者,长、幼、卑、尊皆非薛居州也,王谁与为善?一薛居州独如宋王何?” 下列各项对文段内容理解错误的一项是( ) 孟子认为楚国大夫的儿子要学会说齐国话,与其请一个齐国人过来教,不如把他送到齐国最繁华的街里庄岳去学。 孟子认为戴不胜的国君做出不善之事,是因为善士薛居州不在他身边,不能给他及时有效的指导。 孟子运用了设喻的方法来问戴不胜,让他明白“欲王之善”的道理。 国君周围多是好人,他就会和大家一起做好事。如果国君周围多是坏人,他也就很难做好人了。 【小题2】荀子《劝学》中说“蓬生麻中,不扶自直;白沙在涅,与之俱黑”,请结合上面选段,联系实际,谈谈自己的看法。
- stem text:阅读下面的文言文,完成小题。 孟子将朝王,王使人来曰:“寡人如就见者也,有寒疾,不可以风。朝,将视朝,不识可使寡人得见乎?”对曰:“不幸而有疾,不能造朝。” 明日,出吊于东郭氏。公孙丑曰:“昔者辞以病,今日吊,或者不可乎?”曰:“昔日疾,今日愈,如之何不吊?”王使人问疾,医来。孟仲子①对曰:“昔者有王命,有采薪之忧②,不能造朝。今病小愈,趋造于朝,我不识能至否乎?”使数人要于路,曰:“请必无归,而造于朝!”不得已而之景丑氏宿焉。 景子曰:“内则父子,外则君臣,人之大伦也。父子主恩,君臣主敬。丑见王之敬子也,未见所以敬王也。”曰:“恶!是何言也!齐人无以仁义与王言者,岂以仁义为不美也?其心曰‘是何足与言仁义也 ’云尔,则不敬莫大乎是。我非尧舜之道不敢以陈于王前,故齐人莫如我敬王也。”景子曰:“否,非此之谓也。《礼》曰:‘父召,无诺;君命召,不俟驾。’固将朝也,闻王命而遂不果③,宜与夫礼若不相似然。” 曰:“岂谓是与?天下有达尊④三:爵一,齿一,德一。朝廷莫如爵,乡党莫如齿,辅世长民莫如德。恶得有其一以慢其二哉?故将大有为之君,必有所不召之臣;欲有谋焉,则就之。其尊德乐道,不如是,不足与有为也。” (摘自《孟子·公孙丑下》) [注]①孟仲子:孟子的堂兄弟,跟孟子学习。②采薪之忧:谓有病不能上山打柴,是疾病的代词,为当时交际的习惯语。③不果:终于没有实行。④达尊:普遍尊贵的事。 对下列句子中加点的词的解释,不正确的一项是( ) 寡人如就见者也如:应当。 君命召,不俟驾俟:等待。 不识可使寡人得见乎得:能够。 使数人要于路要:要挟、威胁。 【小题2】下列词语中,加点字的意义和用法相同的一项是( ) ①不得已而之景丑氏宿焉②犹且从师而问焉 ①请必无归,而造于朝②吾尝终日而思矣 ①未见所以敬王也②所以遣将守关者,备他盗之出入与非常也。 ①岂谓是与②吾王庶几无疾病与 【小题3】本文的人物形象很生动,为了达到自己的目的,齐王、孟子、孟仲子都说过假话。根据原文内容判断,下面说的是真话的一句是 ( ) 寡人如就见也,有寒疾,不可以风 不幸而有疾,不能造朝 请必无归,而造于朝 今病小愈, 趋造于朝 【小题4】下列对原文有关内容的分析和概括,不正确的一项是( ) 本文通过孟子不接受齐王的召见,表明了孟子对君臣关系的看法与态度,他认为君臣关系应建立在仁义的基础上,国君应该礼贤下士,谦逊待人。 孟子认为国君的尊贵不应该表现在地位的优越上,臣子对国君的恭顺不应该只停留在礼节形 式上。 孟子还认为国君不能因为自己德高望重,就轻慢了地位和年龄比自己低的臣子,国君应该表现出尊德乐道的风范。 景丑氏认为孟子对齐王不恭敬,孟子本来要见国君,可是一听到齐王的命令反而不去了,景子觉得孟子这种做法与《礼记》上说的不相合。 【小题5】把下列句子翻译成现代汉语。 ①朝,将视朝,不识可使寡人得见乎?” ②故将大有为之君,必有所不召之臣;欲有谋焉,则就之。 ③危而不持,颠而不扶,则将焉用彼相矣。 ④狗彘食人食而不知检,涂有饿莩而不知发。
计算试题相似度(杰卡德,按照字符) 相似度: 23.32, 耗时: 1毫秒, 文本长度: 458/1264
计算试题相似度(基于字符串长度差值改进的杰卡德,jaccardWeight : 0.9,lengthDifferentWeight:0.1) 相似度: 23.35, 耗时: 1毫秒, 文本长度: 458/1264
计算试题相似度(基于字符串长度差值改进的杰卡德,jaccardWeight : 0.8,lengthDifferentWeight:0.2) 相似度: 20.77, 耗时: 0毫秒, 文本长度: 458/1264
计算试题相似度(基于字符串长度差值改进的杰卡德,jaccardWeight : 0.7,lengthDifferentWeight:0.3) 相似度: 18.19, 耗时: 1毫秒, 文本长度: 458/1264
计算试题相似度(基于字符串长度差值改进的杰卡德,jaccardWeight : 0.6,lengthDifferentWeight:0.4) 相似度: 15.61, 耗时: 0毫秒, 文本长度: 458/1264
计算试题相似度(基于字符串长度差值改进的杰卡德,jaccardWeight : 0.5,lengthDifferentWeight:0.5) 相似度: 13.02, 耗时: 0毫秒, 文本长度: 458/1264
- search text:阅读下面《孟子》选段,回答问题。 孟子谓戴不胜曰:“子欲子之王善与?我明告子。有楚大夫于此,欲其子之齐语也,则使齐人傅诸?使楚人傅诸?”曰:“使齐人傅之。”曰:“一齐人傅之,众楚人咻之,虽日挞而求其齐也,不可得矣。引而置之庄岳之间数年,虽日挞而求其楚,亦不可得矣。子谓薛居州,善士也,使之居于王所。在于王所者,长、幼、卑、尊皆薛居州也,王谁与为不善?在王所者,长、幼、卑、尊皆非薛居州也,王谁与为善?一薛居州独如宋王何?” 下列各项对文段内容理解错误的一项是( ) 孟子认为楚国大夫的儿子要学会说齐国话,与其请一个齐国人过来教,不如把他送到齐国最繁华的街里庄岳去学。 孟子认为戴不胜的国君做出不善之事,是因为善士薛居州不在他身边,不能给他及时有效的指导。 孟子运用了设喻的方法来问戴不胜,让他明白“欲王之善”的道理。 国君周围多是好人,他就会和大家一起做好事。如果国君周围多是坏人,他也就很难做好人了。 【小题2】荀子《劝学》中说“蓬生麻中,不扶自直;白沙在涅,与之俱黑”,请结合上面选段,联系实际,谈谈自己的看法。
- stem text:阅读文化经典《孟子》,按要求答题。 孟子谓戴不胜①曰:“子欲子之王之善与?我明告子。有楚大夫于此,欲其子之齐语也,则使齐人傅诸?使楚人傅诸?” 曰:“使齐人傅之。” 曰:“一齐人傅之,众楚人咻之,虽日挞而求其齐也,不可得矣;引而置之庄岳之间数年②,虽日挞而求其楚,亦不可得矣。子谓薛居州③,善士也,使之居于王所。在于王所者,长幼卑尊皆薛居州也,王谁与为不善?在王所者,长幼卑尊皆非薛居州也,王谁与为善?一薛居州,独如宋王何?” (选自《孟子·滕文公下》) [注释] ①戴不胜:宋臣。②庄岳:庄,街名;岳,里名,都在齐都城临淄城内。这里代指齐都中的闹市区。③薛居州:宋国人。 下列各项中,对上面《孟子》选段的理解,不正确的一项是( ) 孟子认为一个齐国人教楚国大夫的儿子学齐国话,虽然周围有许多楚国人干扰他,但只要天天鞭打逼他学齐国话,就有可能学会的。 孟子认为把楚国大夫的儿子带到齐国都城的闹市上住上几年,即使天天鞭打他,要他讲楚国话,也不可能的了。 如果在王宫中的人,不论年龄大小、地位高低,都是薛居州那样的人.那么宋王就不能同谁一起干坏事了。 “一薛居州,独如宋王何?”说明一个薛居州,不能对宋王起到重要作用。 请用一个成语概括选段的主要内容,并分析孟子的观点。(用自己的话回答)
计算试题相似度(杰卡德,按照字符) 相似度: 50.42, 耗时: 0毫秒, 文本长度: 458/542
计算试题相似度(基于字符串长度差值改进的杰卡德,jaccardWeight : 0.9,lengthDifferentWeight:0.1) 相似度: 47.41, 耗时: 0毫秒, 文本长度: 458/542
计算试题相似度(基于字符串长度差值改进的杰卡德,jaccardWeight : 0.8,lengthDifferentWeight:0.2) 相似度: 42.27, 耗时: 0毫秒, 文本长度: 458/542
计算试题相似度(基于字符串长度差值改进的杰卡德,jaccardWeight : 0.7,lengthDifferentWeight:0.3) 相似度: 37.14, 耗时: 1毫秒, 文本长度: 458/542
计算试题相似度(基于字符串长度差值改进的杰卡德,jaccardWeight : 0.6,lengthDifferentWeight:0.4) 相似度: 32.0, 耗时: 0毫秒, 文本长度: 458/542
计算试题相似度(基于字符串长度差值改进的杰卡德,jaccardWeight : 0.5,lengthDifferentWeight:0.5) 相似度: 26.86, 耗时: 0毫秒, 文本长度: 458/542
- search text:阅读下面《孟子》选段,回答问题。 孟子谓戴不胜曰:“子欲子之王善与?我明告子。有楚大夫于此,欲其子之齐语也,则使齐人傅诸?使楚人傅诸?”曰:“使齐人傅之。”曰:“一齐人傅之,众楚人咻之,虽日挞而求其齐也,不可得矣。引而置之庄岳之间数年,虽日挞而求其楚,亦不可得矣。子谓薛居州,善士也,使之居于王所。在于王所者,长、幼、卑、尊皆薛居州也,王谁与为不善?在王所者,长、幼、卑、尊皆非薛居州也,王谁与为善?一薛居州独如宋王何?” 下列各项对文段内容理解错误的一项是( ) 孟子认为楚国大夫的儿子要学会说齐国话,与其请一个齐国人过来教,不如把他送到齐国最繁华的街里庄岳去学。 孟子认为戴不胜的国君做出不善之事,是因为善士薛居州不在他身边,不能给他及时有效的指导。 孟子运用了设喻的方法来问戴不胜,让他明白“欲王之善”的道理。 国君周围多是好人,他就会和大家一起做好事。如果国君周围多是坏人,他也就很难做好人了。 【小题2】荀子《劝学》中说“蓬生麻中,不扶自直;白沙在涅,与之俱黑”,请结合上面选段,联系实际,谈谈自己的看法。
- stem text:阅读下面《孟子》选段,回答问题。 孟子谓戴不胜曰: “子欲子之王之善与?我明告子。有楚大夫于此,欲其子之齐语也,则使齐人傅诸,使楚人傅诸?”(1)曰:“使齐人傅之。” 曰:“一齐人傅之,欢楚人咻之,(2)虽日挞而求其齐也不可得矣;(3)引而置之庄岳之间数年,(4)虽日挞而求其楚亦不可得矣。子谓薛居州善士 也,(5使之居于王所。在于王所者长幼卑尊皆薛居州也,王谁与为不善?在 王所者长幼卑尊皆非薛居州也,王谁与为善?一薛居州,独如宋王何?”(6) 【注释】 (1)傅:朱熹《集注》云:“教也。”(2)淋(xiū休):为“喧哗”。(3)挞:责打。(4)庄岳:朱熹《集注》云:“齐街里名也。”(5)薛居州: 赵注云:“宋之善上也。”(6)独:王引之《经传释词》云:“独犹将也。” (1)下列各项中,对上面选段的理解不正确的一项是( ) A.孟子用设喻的方法反问戴不胜,楚国大夫的儿子要学会说齐国话,是找齐国的人来教他好呢,还是找楚国的人来教他好呢? B.孟子认为如果一个齐国人来教他,却有许多楚国人在他周围用楚国话来干扰他,即使每天鞭打他,要求他说齐国话,那也是不可能的。 C.同样的道理,如果在王宫中的人,无论年龄大小的还是地位高低的都居住在薛居州那里,那么君王和谁去做坏事呢? D.如果国君周围多是好人,那么国君也就会和大家一起向善做好事。相反,如果国君周围多是坏人,那么国君也就难做好人了。 (2)请结合上面选段,联系实际,谈谈接受教育与学习环境的关系。
计算试题相似度(杰卡德,按照字符) 相似度: 54.69, 耗时: 1毫秒, 文本长度: 458/628
计算试题相似度(基于字符串长度差值改进的杰卡德,jaccardWeight : 0.9,lengthDifferentWeight:0.1) 相似度: 51.29, 耗时: 0毫秒, 文本长度: 458/628
计算试题相似度(基于字符串长度差值改进的杰卡德,jaccardWeight : 0.8,lengthDifferentWeight:0.2) 相似度: 45.66, 耗时: 0毫秒, 文本长度: 458/628
计算试题相似度(基于字符串长度差值改进的杰卡德,jaccardWeight : 0.7,lengthDifferentWeight:0.3) 相似度: 40.02, 耗时: 0毫秒, 文本长度: 458/628
计算试题相似度(基于字符串长度差值改进的杰卡德,jaccardWeight : 0.6,lengthDifferentWeight:0.4) 相似度: 34.39, 耗时: 0毫秒, 文本长度: 458/628
计算试题相似度(基于字符串长度差值改进的杰卡德,jaccardWeight : 0.5,lengthDifferentWeight:0.5) 相似度: 28.75, 耗时: 1毫秒, 文本长度: 458/628
- search text:阅读下面《孟子》选段,回答问题。 孟子谓戴不胜曰:“子欲子之王善与?我明告子。有楚大夫于此,欲其子之齐语也,则使齐人傅诸?使楚人傅诸?”曰:“使齐人傅之。”曰:“一齐人傅之,众楚人咻之,虽日挞而求其齐也,不可得矣。引而置之庄岳之间数年,虽日挞而求其楚,亦不可得矣。子谓薛居州,善士也,使之居于王所。在于王所者,长、幼、卑、尊皆薛居州也,王谁与为不善?在王所者,长、幼、卑、尊皆非薛居州也,王谁与为善?一薛居州独如宋王何?” 下列各项对文段内容理解错误的一项是( ) 孟子认为楚国大夫的儿子要学会说齐国话,与其请一个齐国人过来教,不如把他送到齐国最繁华的街里庄岳去学。 孟子认为戴不胜的国君做出不善之事,是因为善士薛居州不在他身边,不能给他及时有效的指导。 孟子运用了设喻的方法来问戴不胜,让他明白“欲王之善”的道理。 国君周围多是好人,他就会和大家一起做好事。如果国君周围多是坏人,他也就很难做好人了。 【小题2】荀子《劝学》中说“蓬生麻中,不扶自直;白沙在涅,与之俱黑”,请结合上面选段,联系实际,谈谈自己的看法。
- stem text:阅读下面的《孟子》选段,回答问题。 孟子谓戴不胜①曰:“子欲子之王之善与?我明告子。有楚大夫于此,欲其子之齐语也,则使齐人傅诸,使楚人傅诸?”曰:“使齐人傅之。” 曰:“一齐人傅之,众楚人咻之,虽日挞而求其齐也,不可得矣;引而置之庄岳②之间数年,虽日挞而求其楚,亦不可得矣。子谓薛居州,善士也,使之居于王所。在于王所者,长幼卑尊皆薛居州也,王谁与为不善?在王所者,长幼卑尊皆非薛居州也,王谁与为善?一薛居州,独如宋王何?” (《滕文公下》6.6) 【注释】①戴不胜:人名,宋国大臣 ②庄岳:齐国一个繁盛街道的名称 (1)从“一齐人傅之,众楚人咻之,虽日挞而求其齐也,不可得矣”一句中,可概括出成语 ;孟子运用 方法,向戴不胜提出了 的建议。 (2)请概括选段的主旨并简要分析。
计算试题相似度(杰卡德,按照字符) 相似度: 46.8, 耗时: 0毫秒, 文本长度: 458/338
计算试题相似度(基于字符串长度差值改进的杰卡德,jaccardWeight : 0.9,lengthDifferentWeight:0.1) 相似度: 45.08, 耗时: 0毫秒, 文本长度: 458/338
计算试题相似度(基于字符串长度差值改进的杰卡德,jaccardWeight : 0.8,lengthDifferentWeight:0.2) 相似度: 40.17, 耗时: 1毫秒, 文本长度: 458/338
计算试题相似度(基于字符串长度差值改进的杰卡德,jaccardWeight : 0.7,lengthDifferentWeight:0.3) 相似度: 35.25, 耗时: 0毫秒, 文本长度: 458/338
计算试题相似度(基于字符串长度差值改进的杰卡德,jaccardWeight : 0.6,lengthDifferentWeight:0.4) 相似度: 30.33, 耗时: 0毫秒, 文本长度: 458/338
计算试题相似度(基于字符串长度差值改进的杰卡德,jaccardWeight : 0.5,lengthDifferentWeight:0.5) 相似度: 25.41, 耗时: 0毫秒, 文本长度: 458/338
- search text:阅读下面《孟子》选段,回答问题。 孟子谓戴不胜曰:“子欲子之王善与?我明告子。有楚大夫于此,欲其子之齐语也,则使齐人傅诸?使楚人傅诸?”曰:“使齐人傅之。”曰:“一齐人傅之,众楚人咻之,虽日挞而求其齐也,不可得矣。引而置之庄岳之间数年,虽日挞而求其楚,亦不可得矣。子谓薛居州,善士也,使之居于王所。在于王所者,长、幼、卑、尊皆薛居州也,王谁与为不善?在王所者,长、幼、卑、尊皆非薛居州也,王谁与为善?一薛居州独如宋王何?” 下列各项对文段内容理解错误的一项是( ) 孟子认为楚国大夫的儿子要学会说齐国话,与其请一个齐国人过来教,不如把他送到齐国最繁华的街里庄岳去学。 孟子认为戴不胜的国君做出不善之事,是因为善士薛居州不在他身边,不能给他及时有效的指导。 孟子运用了设喻的方法来问戴不胜,让他明白“欲王之善”的道理。 国君周围多是好人,他就会和大家一起做好事。如果国君周围多是坏人,他也就很难做好人了。 【小题2】荀子《劝学》中说“蓬生麻中,不扶自直;白沙在涅,与之俱黑”,请结合上面选段,联系实际,谈谈自己的看法。
- stem text:《孟子》选读 齐人伐燕。或问曰:“劝齐伐燕,有诸?”曰:“未也。沈同①问‘燕可伐与’,吾应之曰:‘可’。彼然而伐之也。彼如曰:‘孰可以伐之?’则将应之曰:‘为天吏②,则可以伐之。’今有杀人者,或问之曰:‘人可杀与?’则将应之曰:‘可’。彼如曰:‘孰可以杀之?’则将应之曰:‘为士师,则可以杀之。’今以燕伐燕,何为劝之哉?” (选自《孟子·公孙丑下》) 【注释】①沈同:齐国大臣。②为天吏:奉行天命的天子。 (1)下列各项中,对上面《孟子》选段的理解,不正确的一项是( ) A.齐国讨伐燕国,是战国中期的一项重大事件。孟子认为,燕国的国政败坏,民众因此遭受苦难,所以是可以讨伐的。 B.孟子指出,讨伐燕国者必须施行优于燕国的政治措施,否则,伐燕是没有意义的,而且也不可能得到民众的支持。 C.孟子认为,燕国的国政败坏,齐人身为天吏,替天行道,可以讨伐燕国。但如果让燕国人讨伐燕国人,则不值得鼓励。 D.孟子认为,礼乐征伐这样的大事,不是谁都有权力去做的,因此他明确反对让像燕国一样暴虐的同为诸侯国的齐国去讨伐燕国。 (2)孟子是认为燕国可以讨伐,杀人犯可以杀掉么?为什么?
计算试题相似度(杰卡德,按照字符) 相似度: 24.43, 耗时: 0毫秒, 文本长度: 458/485
计算试题相似度(基于字符串长度差值改进的杰卡德,jaccardWeight : 0.9,lengthDifferentWeight:0.1) 相似度: 25.38, 耗时: 0毫秒, 文本长度: 458/485
计算试题相似度(基于字符串长度差值改进的杰卡德,jaccardWeight : 0.8,lengthDifferentWeight:0.2) 相似度: 22.95, 耗时: 0毫秒, 文本长度: 458/485
计算试题相似度(基于字符串长度差值改进的杰卡德,jaccardWeight : 0.7,lengthDifferentWeight:0.3) 相似度: 20.53, 耗时: 0毫秒, 文本长度: 458/485
计算试题相似度(基于字符串长度差值改进的杰卡德,jaccardWeight : 0.6,lengthDifferentWeight:0.4) 相似度: 18.11, 耗时: 0毫秒, 文本长度: 458/485
计算试题相似度(基于字符串长度差值改进的杰卡德,jaccardWeight : 0.5,lengthDifferentWeight:0.5) 相似度: 15.68, 耗时: 1毫秒, 文本长度: 458/485
- search text:阅读下面《孟子》选段,回答问题。 孟子谓戴不胜曰:“子欲子之王善与?我明告子。有楚大夫于此,欲其子之齐语也,则使齐人傅诸?使楚人傅诸?”曰:“使齐人傅之。”曰:“一齐人傅之,众楚人咻之,虽日挞而求其齐也,不可得矣。引而置之庄岳之间数年,虽日挞而求其楚,亦不可得矣。子谓薛居州,善士也,使之居于王所。在于王所者,长、幼、卑、尊皆薛居州也,王谁与为不善?在王所者,长、幼、卑、尊皆非薛居州也,王谁与为善?一薛居州独如宋王何?” 下列各项对文段内容理解错误的一项是( ) 孟子认为楚国大夫的儿子要学会说齐国话,与其请一个齐国人过来教,不如把他送到齐国最繁华的街里庄岳去学。 孟子认为戴不胜的国君做出不善之事,是因为善士薛居州不在他身边,不能给他及时有效的指导。 孟子运用了设喻的方法来问戴不胜,让他明白“欲王之善”的道理。 国君周围多是好人,他就会和大家一起做好事。如果国君周围多是坏人,他也就很难做好人了。 【小题2】荀子《劝学》中说“蓬生麻中,不扶自直;白沙在涅,与之俱黑”,请结合上面选段,联系实际,谈谈自己的看法。
- stem text:阅读下面的《孟子》选段,回答问题。 孟子见齐宣王,曰:“所谓故国者,非谓有乔木之谓也,有世臣①之谓也。王无亲臣矣,昔者所进,今日不知其亡也。”王曰:“吾何以识其不才而舍之?”曰:“国君进贤,如不得已,将使卑逾尊,疏逾戚,可不慎与?左右皆曰‘贤’,未可也;诸大夫皆曰‘贤’,未可也;国人皆曰‘贤’,然后察之;见贤焉,然后用之。左右皆曰‘不可’,勿听;诸大夫皆曰‘不可’,勿听;国人皆曰‘不可’,然后察之;见不可焉,然后去之。左右皆曰‘可杀’,勿听;诸大夫皆曰‘可杀’,勿听;国人皆曰‘可杀’,然后察之,见可杀焉,然后杀之。故曰‘国人杀之’也。如此,然后可以为民父母。”(《孟子·梁惠王下》) 【注】①世臣:即“累世勋旧之臣,与国同休戚者也”(朱熹)。 下列对选段内容的理解,不正确的一项是( ) 孟子认为,一个国家要拥有长期为国效力立功的大臣,才能称得上是“故国”,所以国君选拔任用人才很重要。 齐宣王认为,齐国没有“亲臣”是因为他昔日没能分辨出“不才”之人,所以向孟子询问“识其不才”的方法。 孟子告诉齐宣王,在人才的任用上,应该以贤能与否为标准,即使超越“尊尊亲亲”的伦常,也不必有所顾忌。 孟子认为,国君只有运用恰当的方法,正确地选拔贤才和罢黜“不才”之人,才能称得上是人民的父母。 【小题2】“故曰:国人杀之也。”这体现了孟子的什么思想?
计算试题相似度(杰卡德,按照字符) 相似度: 28.41, 耗时: 0毫秒, 文本长度: 458/572
计算试题相似度(基于字符串长度差值改进的杰卡德,jaccardWeight : 0.9,lengthDifferentWeight:0.1) 相似度: 28.72, 耗时: 0毫秒, 文本长度: 458/572
计算试题相似度(基于字符串长度差值改进的杰卡德,jaccardWeight : 0.8,lengthDifferentWeight:0.2) 相似度: 25.63, 耗时: 0毫秒, 文本长度: 458/572
计算试题相似度(基于字符串长度差值改进的杰卡德,jaccardWeight : 0.7,lengthDifferentWeight:0.3) 相似度: 22.53, 耗时: 0毫秒, 文本长度: 458/572
计算试题相似度(基于字符串长度差值改进的杰卡德,jaccardWeight : 0.6,lengthDifferentWeight:0.4) 相似度: 19.44, 耗时: 1毫秒, 文本长度: 458/572
计算试题相似度(基于字符串长度差值改进的杰卡德,jaccardWeight : 0.5,lengthDifferentWeight:0.5) 相似度: 16.34, 耗时: 0毫秒, 文本长度: 458/572
- search text:阅读下面《孟子》选段,回答问题。 孟子谓戴不胜曰:“子欲子之王善与?我明告子。有楚大夫于此,欲其子之齐语也,则使齐人傅诸?使楚人傅诸?”曰:“使齐人傅之。”曰:“一齐人傅之,众楚人咻之,虽日挞而求其齐也,不可得矣。引而置之庄岳之间数年,虽日挞而求其楚,亦不可得矣。子谓薛居州,善士也,使之居于王所。在于王所者,长、幼、卑、尊皆薛居州也,王谁与为不善?在王所者,长、幼、卑、尊皆非薛居州也,王谁与为善?一薛居州独如宋王何?” 下列各项对文段内容理解错误的一项是( ) 孟子认为楚国大夫的儿子要学会说齐国话,与其请一个齐国人过来教,不如把他送到齐国最繁华的街里庄岳去学。 孟子认为戴不胜的国君做出不善之事,是因为善士薛居州不在他身边,不能给他及时有效的指导。 孟子运用了设喻的方法来问戴不胜,让他明白“欲王之善”的道理。 国君周围多是好人,他就会和大家一起做好事。如果国君周围多是坏人,他也就很难做好人了。 【小题2】荀子《劝学》中说“蓬生麻中,不扶自直;白沙在涅,与之俱黑”,请结合上面选段,联系实际,谈谈自己的看法。
- stem text:阅读下面的文字,完成下面小题。 薛嵩,绛州万泉人。祖仁贵,高宗朝名将,封平阳郡公。父楚玉,为范阳、平卢节度使。嵩少以门荫,落拓不事家产,有膂力,善骑射,不知书。自天下兵起,委质逆徒。广德元年,东都平,时皇太子为天下兵马元帅,遣仆固怀恩东收河朔。嵩为贼守相州,闻贼朝义兵溃,王师至,嵩惶惑迎拜于怀恩马前,怀恩释之,令守旧职。时怀恩二心已萌。怀恩平河朔旋,乃奏嵩及田承嗣、张忠志、李怀仙分理河北道;诏遂以嵩为相州刺史,充相、卫、洺、邢等州节度观察使,承嗣镇魏州,忠志镇恒州,怀仙镇幽州,各据数州之地。时多事之后,姑欲安人,遂以重寄委嵩。嵩感恩奉职,数年间,管内粗理,累迁检校右仆射。大历八年正月卒。 嵩子平,年十二,嵩卒,军吏欲用河北故事,胁平知留后务,平伪许之,让于叔父崿,一夕以丧归。及免丧,累授右卫将军,在南衙凡三十年。宰相杜黄裳深器之,荐为汝州刺史、兼御史中丞,理有能名。元和七年,淮西用兵,自左龙武大将军授兼御史大夫、滑州刺史、郑滑节度观察等使,累有战功。滑州城西距黄河二里,每岁常为水患。平询访得古河道,接卫州黎阳县界。平率魏博节度使田弘正同上闻,开古河南北长十四里,决旧河以分水势,滑人遂无水患。居镇六年,入为左金吾大将军。未几,复为郑滑节度观察使。 长庆元年,幽镇叛,杜叔良统横海全军讨伐不胜,王庭凑围牛元翼于深州。棣州为贼所窘朝廷乃委平以师援棣州平即遣将李叔佐以兵五百救之。居数月,刺史王稷馈给稍薄,兵士怨怒,叔佐不能戢,宵溃而归。仍推突将马狼兒为帅,行及青城镇,劫镇将李自劝,并其众;次至博昌镇,复劫其镇兵,共得七千余人,径逼青州城。城中兵士不敌,平悉府库并家财募二千精卒,逆击之,仍先以骑兵掩其家属辎重,贼众惶惑反顾,因大败。狼兒与其同恶十数辈脱身窜匿,余党降,稍后者斩于鞠场。明日,狼兒亦就擒戮,胁从者放归田里。诏加右仆射,进封魏国公,由是远近畏伏平之威略。 在镇六周岁,兵甲完利,井赋均一。至是入觐,百姓遮道乞留,数日乃得出。在河中凡六年,召拜太子太保。明年,上疏乞老,以司徒致仕,居一年卒,册赠太傅。 ——节选自《旧唐书·列传第七十四》 对下列句子中加点的词的解释,不正确的一项是 ( ) 嵩少以门荫,落拓不事家产 落拓:豪放,放荡不羁 时多事之后,姑欲安人,遂以重寄委嵩 安:安排 自天下兵起,束身戎伍,委质逆徒 委质:顺从,归附 兵甲完利,井赋均一 完利:坚固锋利 以下句子中,全都直接表明薛嵩与薛平父子二人功绩的一组是 ( ) ①宰相杜黄裳深器之,荐为汝州刺史、兼御史中丞 ②嵩感恩奉职,数年间,管内粗理,累迁检校右仆射 ③自左龙武大将军授兼御史大夫、滑州刺史、郑滑节度观察等使,累有战功 ④至是入觐,百姓遮道乞留,数日乃得出 ⑤平悉府库并家财募二千精卒,逆击之 ⑥开古河南北长十四里,决旧河以分水势,滑人遂无水患 ①③④ ①⑤⑥ ②③⑥ ②④⑤ 下列对原文有关内容的分析和概括,不正确的一项是( ) 薛嵩原本替贼兵把守相州,贼兵败后,王师到来,薛嵩就到怀恩马前迎接叩拜,怀恩放了他,并让他做了相州刺史。 宰相杜黄裳很器重薛平,推荐他做汝州刺史、兼任御史中丞,治理得好,在当时很有名声。在淮西战事中,又屡有战功。 薛平在滑州时,率领魏博节度使田弘正开凿古河南北总长十四里,挖开旧河来分流水势,滑州百姓于是没有水患了。 青州城兵士不敌乱军时,薛平拿出府库和家里的全部钱财招募二千精锐的士兵,迎击对方,仍然先用骑兵掩击敌人的家属辎重,叛贼士兵惶惑反顾,于是大败。 对“军吏欲用河北故事,胁平知留后务,平伪许之,让于叔父崿,一夕以丧归”句翻译最准确的一项是( ) 军吏想要采用河北的故事,胁迫薛平务必留下来,薛平假装答应他们,让官给叔父薛崿,在一天夜里因为奔丧回家。 军吏想要遵照河北旧例,胁迫薛平务必留下来,薛平假装答应他们,让官给叔父薛崿,在一天夜里因为奔丧回家。 军吏想要遵照河北旧例,胁迫薛平留下来管理后务,薛平假装答应他们,让官给叔父薛崿,在一天夜里因为奔丧回家。 军吏想要遵照河北故事里的样子,胁迫薛平留下来管理后务,薛平答应了他们,让官给叔父薛崿,在一天夜里因为奔丧回家。 下列对文章中画波浪线部分的断句,正确的一项是( ) 棣州为贼所窘/朝廷乃委平/以师援棣州/平即遣将李叔佐/以兵五百救之。 棣州为贼所窘/朝廷乃委平以师/援棣州/平即遣将李叔佐/以兵五百救之。 棣州为贼所窘/朝廷乃委平以师援棣州/平即遣将李叔佐以兵五百救之。 棣州为贼所窘/朝廷乃委平以师/援棣州/平即遣将李叔佐以兵五百救之。
计算试题相似度(杰卡德,按照字符) 相似度: 16.43, 耗时: 1毫秒, 文本长度: 458/1868
计算试题相似度(基于字符串长度差值改进的杰卡德,jaccardWeight : 0.9,lengthDifferentWeight:0.1) 相似度: 16.26, 耗时: 0毫秒, 文本长度: 458/1868
计算试题相似度(基于字符串长度差值改进的杰卡德,jaccardWeight : 0.8,lengthDifferentWeight:0.2) 相似度: 14.46, 耗时: 1毫秒, 文本长度: 458/1868
计算试题相似度(基于字符串长度差值改进的杰卡德,jaccardWeight : 0.7,lengthDifferentWeight:0.3) 相似度: 12.66, 耗时: 1毫秒, 文本长度: 458/1868
计算试题相似度(基于字符串长度差值改进的杰卡德,jaccardWeight : 0.6,lengthDifferentWeight:0.4) 相似度: 10.86, 耗时: 0毫秒, 文本长度: 458/1868
计算试题相似度(基于字符串长度差值改进的杰卡德,jaccardWeight : 0.5,lengthDifferentWeight:0.5) 相似度: 9.06, 耗时: 0毫秒, 文本长度: 458/1868
- search text:肾小球为血液过滤器,血液经肾小球过滤后进入肾小囊形成原尿。正常情况下,血液中绝大部分蛋白质不能滤过而保留于血液中,小分子物质如尿素、葡萄糖、无机盐等能滤过。肾小球发生炎症时,血液内原本不能从肾脏滤出的蛋白质滤过至尿液内,出现蛋白尿。下列相关叙述正确的是A.肾小球肾炎患者血浆渗透压的大小只与无机盐和蛋白质的含量有关B.肾小球具有血液过滤器的功能主要与生物膜的结构特性有关C.肾小球肾炎患者血液中的抗体减少,机体免疫力下降D.肾小球肾炎患者会因血浆蛋白减少,组织液渗出至血浆的水增多而发生水肿,
- stem text:肾小球为血液过滤器,血液经肾小球过滤后进入肾小囊形成原尿。正常情况下,血液中绝大部分蛋白质不能滤过而保留于血液中,小分子物质如尿素、葡萄糖、无机盐等能滤过。肾小球发生炎症时,血液内原本不能从肾脏滤出的蛋白质滤过至尿液内,出现蛋白尿。下列相关叙述正确的是A.肾小球肾炎患者血浆渗透压的大小只与无机盐和蛋白质的含量有关B.肾小球具有血液过滤器的功能主要与生物膜的结构特性有关C.肾小球肾炎患者血液中的抗体减少,机体免疫力下降D.肾小球肾炎患者会因血浆蛋白减少,组织液渗出至血浆的水增多而发生水肿,
计算试题相似度(杰卡德,按照字符) 相似度: 100.0, 耗时: 1毫秒, 文本长度: 246/246
计算试题相似度(基于字符串长度差值改进的杰卡德,jaccardWeight : 0.9,lengthDifferentWeight:0.1) 相似度: 100.0, 耗时: 0毫秒, 文本长度: 246/246
计算试题相似度(基于字符串长度差值改进的杰卡德,jaccardWeight : 0.8,lengthDifferentWeight:0.2) 相似度: 100.0, 耗时: 0毫秒, 文本长度: 246/246
计算试题相似度(基于字符串长度差值改进的杰卡德,jaccardWeight : 0.7,lengthDifferentWeight:0.3) 相似度: 100.0, 耗时: 0毫秒, 文本长度: 246/246
计算试题相似度(基于字符串长度差值改进的杰卡德,jaccardWeight : 0.6,lengthDifferentWeight:0.4) 相似度: 100.0, 耗时: 0毫秒, 文本长度: 246/246
计算试题相似度(基于字符串长度差值改进的杰卡德,jaccardWeight : 0.5,lengthDifferentWeight:0.5) 相似度: 100.0, 耗时: 1毫秒, 文本长度: 246/246
- search text:肾小球为血液过滤器,血液经肾小球过滤后进入肾小囊形成原尿。正常情况下,血液中绝大部分蛋白质不能滤过而保留于血液中,小分子物质如尿素、葡萄糖、无机盐等能滤过。肾小球发生炎症时,血液内原本不能从肾脏滤出的蛋白质滤过至尿液内,出现蛋白尿。下列相关叙述正确的是A.肾小球肾炎患者血浆渗透压的大小只与无机盐和蛋白质的含量有关B.肾小球具有血液过滤器的功能主要与生物膜的结构特性有关C.肾小球肾炎患者血液中的抗体减少,机体免疫力下降D.肾小球肾炎患者会因血浆蛋白减少,组织液渗出至血浆的水增多而发生水肿,
- stem text:下列各项中,不可能造成组织水肿的是 患有肾小球肾炎,蛋白质随尿液排出体外 摄入蛋白质不足,营养不良,血浆蛋白含量下降 食物过咸,抗利尿激素分泌增加,肾小管重吸收水分增多 药物或食物过敏,毛细血管通透性改变,血浆蛋白渗出
计算试题相似度(杰卡德,按照字符) 相似度: 29.29, 耗时: 0毫秒, 文本长度: 246/109
计算试题相似度(基于字符串长度差值改进的杰卡德,jaccardWeight : 0.9,lengthDifferentWeight:0.1) 相似度: 26.32, 耗时: 0毫秒, 文本长度: 246/109
计算试题相似度(基于字符串长度差值改进的杰卡德,jaccardWeight : 0.8,lengthDifferentWeight:0.2) 相似度: 23.48, 耗时: 0毫秒, 文本长度: 246/109
计算试题相似度(基于字符串长度差值改进的杰卡德,jaccardWeight : 0.7,lengthDifferentWeight:0.3) 相似度: 20.63, 耗时: 1毫秒, 文本长度: 246/109
计算试题相似度(基于字符串长度差值改进的杰卡德,jaccardWeight : 0.6,lengthDifferentWeight:0.4) 相似度: 17.79, 耗时: 0毫秒, 文本长度: 246/109
计算试题相似度(基于字符串长度差值改进的杰卡德,jaccardWeight : 0.5,lengthDifferentWeight:0.5) 相似度: 14.95, 耗时: 0毫秒, 文本长度: 246/109
- search text:肾小球为血液过滤器,血液经肾小球过滤后进入肾小囊形成原尿。正常情况下,血液中绝大部分蛋白质不能滤过而保留于血液中,小分子物质如尿素、葡萄糖、无机盐等能滤过。肾小球发生炎症时,血液内原本不能从肾脏滤出的蛋白质滤过至尿液内,出现蛋白尿。下列相关叙述正确的是A.肾小球肾炎患者血浆渗透压的大小只与无机盐和蛋白质的含量有关B.肾小球具有血液过滤器的功能主要与生物膜的结构特性有关C.肾小球肾炎患者血液中的抗体减少,机体免疫力下降D.肾小球肾炎患者会因血浆蛋白减少,组织液渗出至血浆的水增多而发生水肿,
- stem text:某人全身浮肿,其原因不包括 血浆蛋白减少 肾小球肾炎 毛细淋巴管堵塞 糖尿病
计算试题相似度(杰卡德,按照字符) 相似度: 12.7, 耗时: 0毫秒, 文本长度: 246/38
计算试题相似度(基于字符串长度差值改进的杰卡德,jaccardWeight : 0.9,lengthDifferentWeight:0.1) 相似度: 11.82, 耗时: 0毫秒, 文本长度: 246/38
计算试题相似度(基于字符串长度差值改进的杰卡德,jaccardWeight : 0.8,lengthDifferentWeight:0.2) 相似度: 10.56, 耗时: 0毫秒, 文本长度: 246/38
计算试题相似度(基于字符串长度差值改进的杰卡德,jaccardWeight : 0.7,lengthDifferentWeight:0.3) 相似度: 9.3, 耗时: 0毫秒, 文本长度: 246/38
计算试题相似度(基于字符串长度差值改进的杰卡德,jaccardWeight : 0.6,lengthDifferentWeight:0.4) 相似度: 8.04, 耗时: 0毫秒, 文本长度: 246/38
计算试题相似度(基于字符串长度差值改进的杰卡德,jaccardWeight : 0.5,lengthDifferentWeight:0.5) 相似度: 6.78, 耗时: 0毫秒, 文本长度: 246/38
- search text:肾小球为血液过滤器,血液经肾小球过滤后进入肾小囊形成原尿。正常情况下,血液中绝大部分蛋白质不能滤过而保留于血液中,小分子物质如尿素、葡萄糖、无机盐等能滤过。肾小球发生炎症时,血液内原本不能从肾脏滤出的蛋白质滤过至尿液内,出现蛋白尿。下列相关叙述正确的是A.肾小球肾炎患者血浆渗透压的大小只与无机盐和蛋白质的含量有关B.肾小球具有血液过滤器的功能主要与生物膜的结构特性有关C.肾小球肾炎患者血液中的抗体减少,机体免疫力下降D.肾小球肾炎患者会因血浆蛋白减少,组织液渗出至血浆的水增多而发生水肿,
- stem text:下列不是造成组织水肿原因的是 花粉过敏,毛细血管通透性改变,血浆蛋白渗出 肾小球肾炎,蛋白质随尿液排出体外 摄入蛋白质不足,营养不良,血浆蛋白含量下降 肾小管重吸收水分增强
计算试题相似度(杰卡德,按照字符) 相似度: 26.52, 耗时: 0毫秒, 文本长度: 246/86
计算试题相似度(基于字符串长度差值改进的杰卡德,jaccardWeight : 0.9,lengthDifferentWeight:0.1) 相似度: 23.89, 耗时: 0毫秒, 文本长度: 246/86
计算试题相似度(基于字符串长度差值改进的杰卡德,jaccardWeight : 0.8,lengthDifferentWeight:0.2) 相似度: 21.3, 耗时: 0毫秒, 文本长度: 246/86
计算试题相似度(基于字符串长度差值改进的杰卡德,jaccardWeight : 0.7,lengthDifferentWeight:0.3) 相似度: 18.72, 耗时: 0毫秒, 文本长度: 246/86
计算试题相似度(基于字符串长度差值改进的杰卡德,jaccardWeight : 0.6,lengthDifferentWeight:0.4) 相似度: 16.13, 耗时: 0毫秒, 文本长度: 246/86
计算试题相似度(基于字符串长度差值改进的杰卡德,jaccardWeight : 0.5,lengthDifferentWeight:0.5) 相似度: 13.55, 耗时: 0毫秒, 文本长度: 246/86
- search text:肾小球为血液过滤器,血液经肾小球过滤后进入肾小囊形成原尿。正常情况下,血液中绝大部分蛋白质不能滤过而保留于血液中,小分子物质如尿素、葡萄糖、无机盐等能滤过。肾小球发生炎症时,血液内原本不能从肾脏滤出的蛋白质滤过至尿液内,出现蛋白尿。下列相关叙述正确的是A.肾小球肾炎患者血浆渗透压的大小只与无机盐和蛋白质的含量有关B.肾小球具有血液过滤器的功能主要与生物膜的结构特性有关C.肾小球肾炎患者血液中的抗体减少,机体免疫力下降D.肾小球肾炎患者会因血浆蛋白减少,组织液渗出至血浆的水增多而发生水肿,
- stem text:下列各项中,不可能造成组织水肿的是( ) 摄入蛋白质不足,营养不良,血浆蛋白含量下降 患有肾小球肾炎,蛋白质随尿液排出体外 花粉过敏,毛细血管通透性改变,血浆蛋白渗出 病毒侵入机体时,抗体会从血浆进入组织液
计算试题相似度(杰卡德,按照字符) 相似度: 30.6, 耗时: 1毫秒, 文本长度: 246/103
计算试题相似度(基于字符串长度差值改进的杰卡德,jaccardWeight : 0.9,lengthDifferentWeight:0.1) 相似度: 27.07, 耗时: 0毫秒, 文本长度: 246/103
计算试题相似度(基于字符串长度差值改进的杰卡德,jaccardWeight : 0.8,lengthDifferentWeight:0.2) 相似度: 24.14, 耗时: 0毫秒, 文本长度: 246/103
计算试题相似度(基于字符串长度差值改进的杰卡德,jaccardWeight : 0.7,lengthDifferentWeight:0.3) 相似度: 21.21, 耗时: 0毫秒, 文本长度: 246/103
计算试题相似度(基于字符串长度差值改进的杰卡德,jaccardWeight : 0.6,lengthDifferentWeight:0.4) 相似度: 18.28, 耗时: 0毫秒, 文本长度: 246/103
计算试题相似度(基于字符串长度差值改进的杰卡德,jaccardWeight : 0.5,lengthDifferentWeight:0.5) 相似度: 15.35, 耗时: 0毫秒, 文本长度: 246/103
- search text:肾小球为血液过滤器,血液经肾小球过滤后进入肾小囊形成原尿。正常情况下,血液中绝大部分蛋白质不能滤过而保留于血液中,小分子物质如尿素、葡萄糖、无机盐等能滤过。肾小球发生炎症时,血液内原本不能从肾脏滤出的蛋白质滤过至尿液内,出现蛋白尿。下列相关叙述正确的是A.肾小球肾炎患者血浆渗透压的大小只与无机盐和蛋白质的含量有关B.肾小球具有血液过滤器的功能主要与生物膜的结构特性有关C.肾小球肾炎患者血液中的抗体减少,机体免疫力下降D.肾小球肾炎患者会因血浆蛋白减少,组织液渗出至血浆的水增多而发生水肿,
- stem text:下列叙述中不会引起组织水肿的是( ) 毛细淋巴管阻塞 注射蛋白质类药物 花粉过敏 肾小球肾炎
计算试题相似度(杰卡德,按照字符) 相似度: 17.46, 耗时: 1毫秒, 文本长度: 246/46
计算试题相似度(基于字符串长度差值改进的杰卡德,jaccardWeight : 0.9,lengthDifferentWeight:0.1) 相似度: 15.05, 耗时: 0毫秒, 文本长度: 246/46
计算试题相似度(基于字符串长度差值改进的杰卡德,jaccardWeight : 0.8,lengthDifferentWeight:0.2) 相似度: 13.43, 耗时: 0毫秒, 文本长度: 246/46
计算试题相似度(基于字符串长度差值改进的杰卡德,jaccardWeight : 0.7,lengthDifferentWeight:0.3) 相似度: 11.82, 耗时: 0毫秒, 文本长度: 246/46
计算试题相似度(基于字符串长度差值改进的杰卡德,jaccardWeight : 0.6,lengthDifferentWeight:0.4) 相似度: 10.2, 耗时: 0毫秒, 文本长度: 246/46
计算试题相似度(基于字符串长度差值改进的杰卡德,jaccardWeight : 0.5,lengthDifferentWeight:0.5) 相似度: 8.58, 耗时: 0毫秒, 文本长度: 246/46
- search text:肾小球为血液过滤器,血液经肾小球过滤后进入肾小囊形成原尿。正常情况下,血液中绝大部分蛋白质不能滤过而保留于血液中,小分子物质如尿素、葡萄糖、无机盐等能滤过。肾小球发生炎症时,血液内原本不能从肾脏滤出的蛋白质滤过至尿液内,出现蛋白尿。下列相关叙述正确的是A.肾小球肾炎患者血浆渗透压的大小只与无机盐和蛋白质的含量有关B.肾小球具有血液过滤器的功能主要与生物膜的结构特性有关C.肾小球肾炎患者血液中的抗体减少,机体免疫力下降D.肾小球肾炎患者会因血浆蛋白减少,组织液渗出至血浆的水增多而发生水肿,
- stem text:下列各项中,不可能造成组织水肿的是( ) 食物过咸,抗利尿激素分泌增加,肾小管重吸收水分增多 患有肾小球肾炎症,蛋白质随尿液排出体外 摄入蛋白质不足,营养不良,血浆蛋白含量下降 药物或食物过敏,毛细血管通透性改变,血浆蛋白渗出
计算试题相似度(杰卡德,按照字符) 相似度: 30.0, 耗时: 0毫秒, 文本长度: 246/113
计算试题相似度(基于字符串长度差值改进的杰卡德,jaccardWeight : 0.9,lengthDifferentWeight:0.1) 相似度: 26.58, 耗时: 0毫秒, 文本长度: 246/113
计算试题相似度(基于字符串长度差值改进的杰卡德,jaccardWeight : 0.8,lengthDifferentWeight:0.2) 相似度: 23.71, 耗时: 0毫秒, 文本长度: 246/113
计算试题相似度(基于字符串长度差值改进的杰卡德,jaccardWeight : 0.7,lengthDifferentWeight:0.3) 相似度: 20.84, 耗时: 0毫秒, 文本长度: 246/113
计算试题相似度(基于字符串长度差值改进的杰卡德,jaccardWeight : 0.6,lengthDifferentWeight:0.4) 相似度: 17.97, 耗时: 0毫秒, 文本长度: 246/113
计算试题相似度(基于字符串长度差值改进的杰卡德,jaccardWeight : 0.5,lengthDifferentWeight:0.5) 相似度: 15.1, 耗时: 0毫秒, 文本长度: 246/113
- search text:肾小球为血液过滤器,血液经肾小球过滤后进入肾小囊形成原尿。正常情况下,血液中绝大部分蛋白质不能滤过而保留于血液中,小分子物质如尿素、葡萄糖、无机盐等能滤过。肾小球发生炎症时,血液内原本不能从肾脏滤出的蛋白质滤过至尿液内,出现蛋白尿。下列相关叙述正确的是A.肾小球肾炎患者血浆渗透压的大小只与无机盐和蛋白质的含量有关B.肾小球具有血液过滤器的功能主要与生物膜的结构特性有关C.肾小球肾炎患者血液中的抗体减少,机体免疫力下降D.肾小球肾炎患者会因血浆蛋白减少,组织液渗出至血浆的水增多而发生水肿,
- stem text:某人因急性肾小球肾炎而出现了全身水肿,同时伴有尿血、尿蛋白和少尿等症状,检查发现该患者肾小球水盐滤过率降低、全身毛细血管通透性改变、血浆蛋白含量下降,被确诊为肾炎性水肿。下列说法正确的是( ) 患者肾小球滤过率降低导致其内环境水盐含量上升 患者血浆蛋白含量逐渐下降,也会加重组织水肿 患者毛细血管通透性改变,其组织细胞内液渗透压保持不变 若使用利尿剂增加尿量、改善肾小球通透性,可缓解患者病情
计算试题相似度(杰卡德,按照字符) 相似度: 31.65, 耗时: 0毫秒, 文本长度: 246/196
计算试题相似度(基于字符串长度差值改进的杰卡德,jaccardWeight : 0.9,lengthDifferentWeight:0.1) 相似度: 29.28, 耗时: 0毫秒, 文本长度: 246/196
计算试题相似度(基于字符串长度差值改进的杰卡德,jaccardWeight : 0.8,lengthDifferentWeight:0.2) 相似度: 26.25, 耗时: 0毫秒, 文本长度: 246/196
计算试题相似度(基于字符串长度差值改进的杰卡德,jaccardWeight : 0.7,lengthDifferentWeight:0.3) 相似度: 23.21, 耗时: 0毫秒, 文本长度: 246/196
计算试题相似度(基于字符串长度差值改进的杰卡德,jaccardWeight : 0.6,lengthDifferentWeight:0.4) 相似度: 20.17, 耗时: 0毫秒, 文本长度: 246/196
计算试题相似度(基于字符串长度差值改进的杰卡德,jaccardWeight : 0.5,lengthDifferentWeight:0.5) 相似度: 17.14, 耗时: 0毫秒, 文本长度: 246/196
- search text:肾小球为血液过滤器,血液经肾小球过滤后进入肾小囊形成原尿。正常情况下,血液中绝大部分蛋白质不能滤过而保留于血液中,小分子物质如尿素、葡萄糖、无机盐等能滤过。肾小球发生炎症时,血液内原本不能从肾脏滤出的蛋白质滤过至尿液内,出现蛋白尿。下列相关叙述正确的是A.肾小球肾炎患者血浆渗透压的大小只与无机盐和蛋白质的含量有关B.肾小球具有血液过滤器的功能主要与生物膜的结构特性有关C.肾小球肾炎患者血液中的抗体减少,机体免疫力下降D.肾小球肾炎患者会因血浆蛋白减少,组织液渗出至血浆的水增多而发生水肿,
- stem text:下列各项中,不可能造成组织水肿的是( ) 患有肾小球肾炎,蛋白质随尿液排出体外 摄入蛋白质不足,营养不良,血浆蛋白含量下降 食物过咸,细胞外液渗透压升高,肾小管重吸收水分增多 药物或食物过敏,毛细血管通透性改变,血浆蛋白渗出
计算试题相似度(杰卡德,按照字符) 相似度: 28.78, 耗时: 0毫秒, 文本长度: 246/112
计算试题相似度(基于字符串长度差值改进的杰卡德,jaccardWeight : 0.9,lengthDifferentWeight:0.1) 相似度: 25.52, 耗时: 0毫秒, 文本长度: 246/112
计算试题相似度(基于字符串长度差值改进的杰卡德,jaccardWeight : 0.8,lengthDifferentWeight:0.2) 相似度: 22.77, 耗时: 0毫秒, 文本长度: 246/112
计算试题相似度(基于字符串长度差值改进的杰卡德,jaccardWeight : 0.7,lengthDifferentWeight:0.3) 相似度: 20.02, 耗时: 0毫秒, 文本长度: 246/112
计算试题相似度(基于字符串长度差值改进的杰卡德,jaccardWeight : 0.6,lengthDifferentWeight:0.4) 相似度: 17.26, 耗时: 0毫秒, 文本长度: 246/112
计算试题相似度(基于字符串长度差值改进的杰卡德,jaccardWeight : 0.5,lengthDifferentWeight:0.5) 相似度: 14.51, 耗时: 0毫秒, 文本长度: 246/112
- search text:肾小球为血液过滤器,血液经肾小球过滤后进入肾小囊形成原尿。正常情况下,血液中绝大部分蛋白质不能滤过而保留于血液中,小分子物质如尿素、葡萄糖、无机盐等能滤过。肾小球发生炎症时,血液内原本不能从肾脏滤出的蛋白质滤过至尿液内,出现蛋白尿。下列相关叙述正确的是A.肾小球肾炎患者血浆渗透压的大小只与无机盐和蛋白质的含量有关B.肾小球具有血液过滤器的功能主要与生物膜的结构特性有关C.肾小球肾炎患者血液中的抗体减少,机体免疫力下降D.肾小球肾炎患者会因血浆蛋白减少,组织液渗出至血浆的水增多而发生水肿,
- stem text:下列各项中,不可能造成组织水肿的是( ) 患有肾小球肾炎,蛋白质随尿液排出体外 摄入蛋白质不足,营养不良,血浆蛋白含量下降 抗利尿激素分密增加,肾小管重吸收水分增多 药物或食物过敏,毛细血管通透性改变,血浆蛋白渗出
计算试题相似度(杰卡德,按照字符) 相似度: 29.5, 耗时: 0毫秒, 文本长度: 246/107
计算试题相似度(基于字符串长度差值改进的杰卡德,jaccardWeight : 0.9,lengthDifferentWeight:0.1) 相似度: 26.14, 耗时: 0毫秒, 文本长度: 246/107
计算试题相似度(基于字符串长度差值改进的杰卡德,jaccardWeight : 0.8,lengthDifferentWeight:0.2) 相似度: 23.32, 耗时: 0毫秒, 文本长度: 246/107
计算试题相似度(基于字符串长度差值改进的杰卡德,jaccardWeight : 0.7,lengthDifferentWeight:0.3) 相似度: 20.49, 耗时: 0毫秒, 文本长度: 246/107
计算试题相似度(基于字符串长度差值改进的杰卡德,jaccardWeight : 0.6,lengthDifferentWeight:0.4) 相似度: 17.67, 耗时: 0毫秒, 文本长度: 246/107
计算试题相似度(基于字符串长度差值改进的杰卡德,jaccardWeight : 0.5,lengthDifferentWeight:0.5) 相似度: 14.84, 耗时: 1毫秒, 文本长度: 246/107
- search text:行驶中的汽车,在刹车后由于惯性作用还会继续前行,向前滑行一段距离后才能停止,这段距离称为“刹车距离”.下表是一辆行驶中的汽车在刹车后行驶的速度V( m/s )、刹车距离S(m)与行驶的时间t(s)的一些数据: t(s) 0.5 1 1.5 2 V( m/s ) 24 18 12 6 S(m) 13.5 24 31.5 36 经过研究分析,我们发现,刹车后行驶的速度V与时间t成一次函数关系,刹车距离S与时间t成二次函数关系,请直接写出刹车后行驶的速度V与时间t,刹车距离S与时间t的函数关系式(不需要写出自变量的取值范围). 若该汽车司机行驶中发现前方37米处有危险从而紧急刹车,问该司机紧急刹车后,汽车能否在到达危险处前停止?(假设汽车刹车后状态与上表中数据完全吻合) 若该汽车司机在行驶的过程中发现前方突发交通事故,现紧急刹车,结果仍然与前车发生的追尾,后交警调查发现,该汽车的刹车距离只有30米,问该司机至少需要提前多长时间刹车才能避免二次追尾事故?(假设汽车刹车后状态与上表中数据完全吻合),
- stem text:行驶的汽车急刹车时,司机身体会前倾,是由于他具有 .
计算试题相似度(杰卡德,按照字符) 相似度: 11.41, 耗时: 0毫秒, 文本长度: 451/26
计算试题相似度(基于字符串长度差值改进的杰卡德,jaccardWeight : 0.9,lengthDifferentWeight:0.1) 相似度: 10.85, 耗时: 0毫秒, 文本长度: 451/26
计算试题相似度(基于字符串长度差值改进的杰卡德,jaccardWeight : 0.8,lengthDifferentWeight:0.2) 相似度: 9.67, 耗时: 0毫秒, 文本长度: 451/26
计算试题相似度(基于字符串长度差值改进的杰卡德,jaccardWeight : 0.7,lengthDifferentWeight:0.3) 相似度: 8.49, 耗时: 0毫秒, 文本长度: 451/26
计算试题相似度(基于字符串长度差值改进的杰卡德,jaccardWeight : 0.6,lengthDifferentWeight:0.4) 相似度: 7.31, 耗时: 0毫秒, 文本长度: 451/26
计算试题相似度(基于字符串长度差值改进的杰卡德,jaccardWeight : 0.5,lengthDifferentWeight:0.5) 相似度: 6.13, 耗时: 0毫秒, 文本长度: 451/26
- search text:行驶中的汽车,在刹车后由于惯性作用还会继续前行,向前滑行一段距离后才能停止,这段距离称为“刹车距离”.下表是一辆行驶中的汽车在刹车后行驶的速度V( m/s )、刹车距离S(m)与行驶的时间t(s)的一些数据: t(s) 0.5 1 1.5 2 V( m/s ) 24 18 12 6 S(m) 13.5 24 31.5 36 经过研究分析,我们发现,刹车后行驶的速度V与时间t成一次函数关系,刹车距离S与时间t成二次函数关系,请直接写出刹车后行驶的速度V与时间t,刹车距离S与时间t的函数关系式(不需要写出自变量的取值范围). 若该汽车司机行驶中发现前方37米处有危险从而紧急刹车,问该司机紧急刹车后,汽车能否在到达危险处前停止?(假设汽车刹车后状态与上表中数据完全吻合) 若该汽车司机在行驶的过程中发现前方突发交通事故,现紧急刹车,结果仍然与前车发生的追尾,后交警调查发现,该汽车的刹车距离只有30米,问该司机至少需要提前多长时间刹车才能避免二次追尾事故?(假设汽车刹车后状态与上表中数据完全吻合),
- stem text:现代社会的交通运输是国家的经济命脉,到2010年底,我全国公路通车总里程达到398.4万公里,居世界第二,了解一些高速公路上的行车常识很有必要. (1)为了防止高速行驶的汽车紧急刹车时乘员由于 继续向前运动而撞伤,公安部门要求小型客车的驾驶员和前排乘客必须使用安全带,在汽车紧急刹车时,安全带起缓冲作用,防止人向前撞到车的其他部件上受伤. (2)高速公路上为避免发生汽车追尾事故,有关部门在路边竖立有距离确认牌.从确认牌开始,沿路分别竖有50m、100m、200m标志牌.小明为了估测所乘汽车的速度,他用手表测出汽车从确认牌到200m标志牌的时间为5s,则他估测汽车的平均速度为 米/秒,合 千米/时.
计算试题相似度(杰卡德,按照字符) 相似度: 31.22, 耗时: 0毫秒, 文本长度: 451/301
计算试题相似度(基于字符串长度差值改进的杰卡德,jaccardWeight : 0.9,lengthDifferentWeight:0.1) 相似度: 29.02, 耗时: 1毫秒, 文本长度: 451/301
计算试题相似度(基于字符串长度差值改进的杰卡德,jaccardWeight : 0.8,lengthDifferentWeight:0.2) 相似度: 25.87, 耗时: 0毫秒, 文本长度: 451/301
计算试题相似度(基于字符串长度差值改进的杰卡德,jaccardWeight : 0.7,lengthDifferentWeight:0.3) 相似度: 22.72, 耗时: 1毫秒, 文本长度: 451/301
计算试题相似度(基于字符串长度差值改进的杰卡德,jaccardWeight : 0.6,lengthDifferentWeight:0.4) 相似度: 19.57, 耗时: 0毫秒, 文本长度: 451/301
计算试题相似度(基于字符串长度差值改进的杰卡德,jaccardWeight : 0.5,lengthDifferentWeight:0.5) 相似度: 16.42, 耗时: 0毫秒, 文本长度: 451/301
- search text:行驶中的汽车,在刹车后由于惯性作用还会继续前行,向前滑行一段距离后才能停止,这段距离称为“刹车距离”.下表是一辆行驶中的汽车在刹车后行驶的速度V( m/s )、刹车距离S(m)与行驶的时间t(s)的一些数据: t(s) 0.5 1 1.5 2 V( m/s ) 24 18 12 6 S(m) 13.5 24 31.5 36 经过研究分析,我们发现,刹车后行驶的速度V与时间t成一次函数关系,刹车距离S与时间t成二次函数关系,请直接写出刹车后行驶的速度V与时间t,刹车距离S与时间t的函数关系式(不需要写出自变量的取值范围). 若该汽车司机行驶中发现前方37米处有危险从而紧急刹车,问该司机紧急刹车后,汽车能否在到达危险处前停止?(假设汽车刹车后状态与上表中数据完全吻合) 若该汽车司机在行驶的过程中发现前方突发交通事故,现紧急刹车,结果仍然与前车发生的追尾,后交警调查发现,该汽车的刹车距离只有30米,问该司机至少需要提前多长时间刹车才能避免二次追尾事故?(假设汽车刹车后状态与上表中数据完全吻合),
- stem text:如图为南方雪灾中的一个场景.汽车在紧急刹车时,总要滑行一段距离才停下来,这是由于汽车具有 的原因,当路面有冰雪时,轮胎与地面间的摩擦会变 .为了避免此类事故的发生,请给司机提出一条合理建议: .
计算试题相似度(杰卡德,按照字符) 相似度: 24.71, 耗时: 1毫秒, 文本长度: 451/97
计算试题相似度(基于字符串长度差值改进的杰卡德,jaccardWeight : 0.9,lengthDifferentWeight:0.1) 相似度: 22.65, 耗时: 0毫秒, 文本长度: 451/97
计算试题相似度(基于字符串长度差值改进的杰卡德,jaccardWeight : 0.8,lengthDifferentWeight:0.2) 相似度: 20.17, 耗时: 0毫秒, 文本长度: 451/97
计算试题相似度(基于字符串长度差值改进的杰卡德,jaccardWeight : 0.7,lengthDifferentWeight:0.3) 相似度: 17.68, 耗时: 0毫秒, 文本长度: 451/97
计算试题相似度(基于字符串长度差值改进的杰卡德,jaccardWeight : 0.6,lengthDifferentWeight:0.4) 相似度: 15.19, 耗时: 0毫秒, 文本长度: 451/97
计算试题相似度(基于字符串长度差值改进的杰卡德,jaccardWeight : 0.5,lengthDifferentWeight:0.5) 相似度: 12.71, 耗时: 0毫秒, 文本长度: 451/97
- search text:行驶中的汽车,在刹车后由于惯性作用还会继续前行,向前滑行一段距离后才能停止,这段距离称为“刹车距离”.下表是一辆行驶中的汽车在刹车后行驶的速度V( m/s )、刹车距离S(m)与行驶的时间t(s)的一些数据: t(s) 0.5 1 1.5 2 V( m/s ) 24 18 12 6 S(m) 13.5 24 31.5 36 经过研究分析,我们发现,刹车后行驶的速度V与时间t成一次函数关系,刹车距离S与时间t成二次函数关系,请直接写出刹车后行驶的速度V与时间t,刹车距离S与时间t的函数关系式(不需要写出自变量的取值范围). 若该汽车司机行驶中发现前方37米处有危险从而紧急刹车,问该司机紧急刹车后,汽车能否在到达危险处前停止?(假设汽车刹车后状态与上表中数据完全吻合) 若该汽车司机在行驶的过程中发现前方突发交通事故,现紧急刹车,结果仍然与前车发生的追尾,后交警调查发现,该汽车的刹车距离只有30米,问该司机至少需要提前多长时间刹车才能避免二次追尾事故?(假设汽车刹车后状态与上表中数据完全吻合),
- stem text:汽车在紧急刹车时,总是滑行一段距离才能停下来,这是由于 ,当雨天路面有水时,轮胎与地面间的摩擦力会变 ,汽车在紧急刹车后滑行的距离将比路面没有水时 ,因此,司机驾车要注意:雨天路滑,小心慢行.
计算试题相似度(杰卡德,按照字符) 相似度: 18.93, 耗时: 0毫秒, 文本长度: 451/96
计算试题相似度(基于字符串长度差值改进的杰卡德,jaccardWeight : 0.9,lengthDifferentWeight:0.1) 相似度: 17.72, 耗时: 0毫秒, 文本长度: 451/96
计算试题相似度(基于字符串长度差值改进的杰卡德,jaccardWeight : 0.8,lengthDifferentWeight:0.2) 相似度: 15.79, 耗时: 0毫秒, 文本长度: 451/96
计算试题相似度(基于字符串长度差值改进的杰卡德,jaccardWeight : 0.7,lengthDifferentWeight:0.3) 相似度: 13.85, 耗时: 0毫秒, 文本长度: 451/96
计算试题相似度(基于字符串长度差值改进的杰卡德,jaccardWeight : 0.6,lengthDifferentWeight:0.4) 相似度: 11.91, 耗时: 0毫秒, 文本长度: 451/96
计算试题相似度(基于字符串长度差值改进的杰卡德,jaccardWeight : 0.5,lengthDifferentWeight:0.5) 相似度: 9.97, 耗时: 0毫秒, 文本长度: 451/96
- search text:行驶中的汽车,在刹车后由于惯性作用还会继续前行,向前滑行一段距离后才能停止,这段距离称为“刹车距离”.下表是一辆行驶中的汽车在刹车后行驶的速度V( m/s )、刹车距离S(m)与行驶的时间t(s)的一些数据: t(s) 0.5 1 1.5 2 V( m/s ) 24 18 12 6 S(m) 13.5 24 31.5 36 经过研究分析,我们发现,刹车后行驶的速度V与时间t成一次函数关系,刹车距离S与时间t成二次函数关系,请直接写出刹车后行驶的速度V与时间t,刹车距离S与时间t的函数关系式(不需要写出自变量的取值范围). 若该汽车司机行驶中发现前方37米处有危险从而紧急刹车,问该司机紧急刹车后,汽车能否在到达危险处前停止?(假设汽车刹车后状态与上表中数据完全吻合) 若该汽车司机在行驶的过程中发现前方突发交通事故,现紧急刹车,结果仍然与前车发生的追尾,后交警调查发现,该汽车的刹车距离只有30米,问该司机至少需要提前多长时间刹车才能避免二次追尾事故?(假设汽车刹车后状态与上表中数据完全吻合),
- stem text:遇到冰冻天气,某大桥上汽车追尾事故频发,主要原因是:一方面,汽车在紧急刹车时,由于汽车具有 ,总要滑行一段距离才能停下来;另一方面,当路面结冰时,轮胎与地面间的摩擦力变 ,汽车在紧急刹车后滑行的距离将比路面没有冰雪时长.
计算试题相似度(杰卡德,按照字符) 相似度: 21.97, 耗时: 1毫秒, 文本长度: 451/110
计算试题相似度(基于字符串长度差值改进的杰卡德,jaccardWeight : 0.9,lengthDifferentWeight:0.1) 相似度: 20.19, 耗时: 0毫秒, 文本长度: 451/110
计算试题相似度(基于字符串长度差值改进的杰卡德,jaccardWeight : 0.8,lengthDifferentWeight:0.2) 相似度: 17.98, 耗时: 0毫秒, 文本长度: 451/110
计算试题相似度(基于字符串长度差值改进的杰卡德,jaccardWeight : 0.7,lengthDifferentWeight:0.3) 相似度: 15.77, 耗时: 0毫秒, 文本长度: 451/110
计算试题相似度(基于字符串长度差值改进的杰卡德,jaccardWeight : 0.6,lengthDifferentWeight:0.4) 相似度: 13.56, 耗时: 1毫秒, 文本长度: 451/110
计算试题相似度(基于字符串长度差值改进的杰卡德,jaccardWeight : 0.5,lengthDifferentWeight:0.5) 相似度: 11.35, 耗时: 0毫秒, 文本长度: 451/110
- search text:行驶中的汽车,在刹车后由于惯性作用还会继续前行,向前滑行一段距离后才能停止,这段距离称为“刹车距离”.下表是一辆行驶中的汽车在刹车后行驶的速度V( m/s )、刹车距离S(m)与行驶的时间t(s)的一些数据: t(s) 0.5 1 1.5 2 V( m/s ) 24 18 12 6 S(m) 13.5 24 31.5 36 经过研究分析,我们发现,刹车后行驶的速度V与时间t成一次函数关系,刹车距离S与时间t成二次函数关系,请直接写出刹车后行驶的速度V与时间t,刹车距离S与时间t的函数关系式(不需要写出自变量的取值范围). 若该汽车司机行驶中发现前方37米处有危险从而紧急刹车,问该司机紧急刹车后,汽车能否在到达危险处前停止?(假设汽车刹车后状态与上表中数据完全吻合) 若该汽车司机在行驶的过程中发现前方突发交通事故,现紧急刹车,结果仍然与前车发生的追尾,后交警调查发现,该汽车的刹车距离只有30米,问该司机至少需要提前多长时间刹车才能避免二次追尾事故?(假设汽车刹车后状态与上表中数据完全吻合),
- stem text:小明坐在汽车上,行驶过程中遇到了紧急情况,司机师傅采用急刹车的方法使汽车停止运动,小明发现从刹车到停止运动,汽车还要前进一段路程,这是由于 ,此过程中汽车由于 ,运动的速度越来越小.为减少交通事故,请你为司机师傅提出一条合理化建议: .
计算试题相似度(杰卡德,按照字符) 相似度: 26.47, 耗时: 0毫秒, 文本长度: 451/118
计算试题相似度(基于字符串长度差值改进的杰卡德,jaccardWeight : 0.9,lengthDifferentWeight:0.1) 相似度: 24.16, 耗时: 0毫秒, 文本长度: 451/118
计算试题相似度(基于字符串长度差值改进的杰卡德,jaccardWeight : 0.8,lengthDifferentWeight:0.2) 相似度: 21.51, 耗时: 0毫秒, 文本长度: 451/118
计算试题相似度(基于字符串长度差值改进的杰卡德,jaccardWeight : 0.7,lengthDifferentWeight:0.3) 相似度: 18.86, 耗时: 1毫秒, 文本长度: 451/118
计算试题相似度(基于字符串长度差值改进的杰卡德,jaccardWeight : 0.6,lengthDifferentWeight:0.4) 相似度: 16.21, 耗时: 0毫秒, 文本长度: 451/118
计算试题相似度(基于字符串长度差值改进的杰卡德,jaccardWeight : 0.5,lengthDifferentWeight:0.5) 相似度: 13.56, 耗时: 0毫秒, 文本长度: 451/118
- search text:行驶中的汽车,在刹车后由于惯性作用还会继续前行,向前滑行一段距离后才能停止,这段距离称为“刹车距离”.下表是一辆行驶中的汽车在刹车后行驶的速度V( m/s )、刹车距离S(m)与行驶的时间t(s)的一些数据: t(s) 0.5 1 1.5 2 V( m/s ) 24 18 12 6 S(m) 13.5 24 31.5 36 经过研究分析,我们发现,刹车后行驶的速度V与时间t成一次函数关系,刹车距离S与时间t成二次函数关系,请直接写出刹车后行驶的速度V与时间t,刹车距离S与时间t的函数关系式(不需要写出自变量的取值范围). 若该汽车司机行驶中发现前方37米处有危险从而紧急刹车,问该司机紧急刹车后,汽车能否在到达危险处前停止?(假设汽车刹车后状态与上表中数据完全吻合) 若该汽车司机在行驶的过程中发现前方突发交通事故,现紧急刹车,结果仍然与前车发生的追尾,后交警调查发现,该汽车的刹车距离只有30米,问该司机至少需要提前多长时间刹车才能避免二次追尾事故?(假设汽车刹车后状态与上表中数据完全吻合),
- stem text:今年“五一”旅游高峰期间,在我市某道路发生一起交通事故,两辆同向行驶的汽车发生“追尾”,虽B车驾驶员紧急刹车,仍撞击了A车(如图所示),B车撞击A车的力_A车撞击B车的力(选填“>”、“<”、“=”),“追尾”后,A车驾驶员受到_(“安全气囊”、“安全带”、“汽车头枕”)保护未严重受伤.
计算试题相似度(杰卡德,按照字符) 相似度: 14.21, 耗时: 0毫秒, 文本长度: 451/144
计算试题相似度(基于字符串长度差值改进的杰卡德,jaccardWeight : 0.9,lengthDifferentWeight:0.1) 相似度: 14.88, 耗时: 0毫秒, 文本长度: 451/144
计算试题相似度(基于字符串长度差值改进的杰卡德,jaccardWeight : 0.8,lengthDifferentWeight:0.2) 相似度: 13.26, 耗时: 0毫秒, 文本长度: 451/144
计算试题相似度(基于字符串长度差值改进的杰卡德,jaccardWeight : 0.7,lengthDifferentWeight:0.3) 相似度: 11.65, 耗时: 0毫秒, 文本长度: 451/144
计算试题相似度(基于字符串长度差值改进的杰卡德,jaccardWeight : 0.6,lengthDifferentWeight:0.4) 相似度: 10.03, 耗时: 0毫秒, 文本长度: 451/144
计算试题相似度(基于字符串长度差值改进的杰卡德,jaccardWeight : 0.5,lengthDifferentWeight:0.5) 相似度: 8.41, 耗时: 0毫秒, 文本长度: 451/144
- search text:行驶中的汽车,在刹车后由于惯性作用还会继续前行,向前滑行一段距离后才能停止,这段距离称为“刹车距离”.下表是一辆行驶中的汽车在刹车后行驶的速度V( m/s )、刹车距离S(m)与行驶的时间t(s)的一些数据: t(s) 0.5 1 1.5 2 V( m/s ) 24 18 12 6 S(m) 13.5 24 31.5 36 经过研究分析,我们发现,刹车后行驶的速度V与时间t成一次函数关系,刹车距离S与时间t成二次函数关系,请直接写出刹车后行驶的速度V与时间t,刹车距离S与时间t的函数关系式(不需要写出自变量的取值范围). 若该汽车司机行驶中发现前方37米处有危险从而紧急刹车,问该司机紧急刹车后,汽车能否在到达危险处前停止?(假设汽车刹车后状态与上表中数据完全吻合) 若该汽车司机在行驶的过程中发现前方突发交通事故,现紧急刹车,结果仍然与前车发生的追尾,后交警调查发现,该汽车的刹车距离只有30米,问该司机至少需要提前多长时间刹车才能避免二次追尾事故?(假设汽车刹车后状态与上表中数据完全吻合),
- stem text:冬天遇到冰冻天气,道路上汽车的追尾事故明显增多,主要原因是:汽车在紧急刹车时,由于汽车具有 ,总要滑行一段距离才能停下来:另外,当路面结冰时,轮胎与地面间的摩擦变 ,同样情况下汽车在急刹车后滑行的距离将比平时 .
计算试题相似度(杰卡德,按照字符) 相似度: 20.34, 耗时: 0毫秒, 文本长度: 451/106
计算试题相似度(基于字符串长度差值改进的杰卡德,jaccardWeight : 0.9,lengthDifferentWeight:0.1) 相似度: 18.9, 耗时: 0毫秒, 文本长度: 451/106
计算试题相似度(基于字符串长度差值改进的杰卡德,jaccardWeight : 0.8,lengthDifferentWeight:0.2) 相似度: 16.83, 耗时: 0毫秒, 文本长度: 451/106
计算试题相似度(基于字符串长度差值改进的杰卡德,jaccardWeight : 0.7,lengthDifferentWeight:0.3) 相似度: 14.76, 耗时: 0毫秒, 文本长度: 451/106
计算试题相似度(基于字符串长度差值改进的杰卡德,jaccardWeight : 0.6,lengthDifferentWeight:0.4) 相似度: 12.7, 耗时: 0毫秒, 文本长度: 451/106
计算试题相似度(基于字符串长度差值改进的杰卡德,jaccardWeight : 0.5,lengthDifferentWeight:0.5) 相似度: 10.63, 耗时: 1毫秒, 文本长度: 451/106
- search text:行驶中的汽车,在刹车后由于惯性作用还会继续前行,向前滑行一段距离后才能停止,这段距离称为“刹车距离”.下表是一辆行驶中的汽车在刹车后行驶的速度V( m/s )、刹车距离S(m)与行驶的时间t(s)的一些数据: t(s) 0.5 1 1.5 2 V( m/s ) 24 18 12 6 S(m) 13.5 24 31.5 36 经过研究分析,我们发现,刹车后行驶的速度V与时间t成一次函数关系,刹车距离S与时间t成二次函数关系,请直接写出刹车后行驶的速度V与时间t,刹车距离S与时间t的函数关系式(不需要写出自变量的取值范围). 若该汽车司机行驶中发现前方37米处有危险从而紧急刹车,问该司机紧急刹车后,汽车能否在到达危险处前停止?(假设汽车刹车后状态与上表中数据完全吻合) 若该汽车司机在行驶的过程中发现前方突发交通事故,现紧急刹车,结果仍然与前车发生的追尾,后交警调查发现,该汽车的刹车距离只有30米,问该司机至少需要提前多长时间刹车才能避免二次追尾事故?(假设汽车刹车后状态与上表中数据完全吻合),
- stem text:汽车超速行驶时造成交通事故的主要原因,快速行驶的汽车紧急刹车时,让车轮停止转动是通过增大 来增大刹车片与刹车盘之间的摩擦;轮胎在路面留下一道痕迹后汽车停下来,这是利用 的方法增大汽车轮胎与地面之间的摩擦.
计算试题相似度(杰卡德,按照字符) 相似度: 17.44, 耗时: 0毫秒, 文本长度: 451/102
计算试题相似度(基于字符串长度差值改进的杰卡德,jaccardWeight : 0.9,lengthDifferentWeight:0.1) 相似度: 15.85, 耗时: 0毫秒, 文本长度: 451/102
计算试题相似度(基于字符串长度差值改进的杰卡德,jaccardWeight : 0.8,lengthDifferentWeight:0.2) 相似度: 14.12, 耗时: 0毫秒, 文本长度: 451/102
计算试题相似度(基于字符串长度差值改进的杰卡德,jaccardWeight : 0.7,lengthDifferentWeight:0.3) 相似度: 12.39, 耗时: 0毫秒, 文本长度: 451/102
计算试题相似度(基于字符串长度差值改进的杰卡德,jaccardWeight : 0.6,lengthDifferentWeight:0.4) 相似度: 10.66, 耗时: 0毫秒, 文本长度: 451/102
计算试题相似度(基于字符串长度差值改进的杰卡德,jaccardWeight : 0.5,lengthDifferentWeight:0.5) 相似度: 8.93, 耗时: 0毫秒, 文本长度: 451/102
- search text:行驶中的汽车,在刹车后由于惯性作用还会继续前行,向前滑行一段距离后才能停止,这段距离称为“刹车距离”.下表是一辆行驶中的汽车在刹车后行驶的速度V( m/s )、刹车距离S(m)与行驶的时间t(s)的一些数据: t(s) 0.5 1 1.5 2 V( m/s ) 24 18 12 6 S(m) 13.5 24 31.5 36 经过研究分析,我们发现,刹车后行驶的速度V与时间t成一次函数关系,刹车距离S与时间t成二次函数关系,请直接写出刹车后行驶的速度V与时间t,刹车距离S与时间t的函数关系式(不需要写出自变量的取值范围). 若该汽车司机行驶中发现前方37米处有危险从而紧急刹车,问该司机紧急刹车后,汽车能否在到达危险处前停止?(假设汽车刹车后状态与上表中数据完全吻合) 若该汽车司机在行驶的过程中发现前方突发交通事故,现紧急刹车,结果仍然与前车发生的追尾,后交警调查发现,该汽车的刹车距离只有30米,问该司机至少需要提前多长时间刹车才能避免二次追尾事故?(假设汽车刹车后状态与上表中数据完全吻合),
- stem text:汽车在紧急刹车时,总是滑行一段距离才能停下来,这是由于 ;当雨天路面有水时,轮胎与地面间的摩擦力会变 ,汽车在紧急刹车后滑行的距离将比路面没有水时 ;汽车车轮停止转动在路面上滑行时,对路面的压强 (选填“变大”“变小”或“不变”).
计算试题相似度(杰卡德,按照字符) 相似度: 18.71, 耗时: 0毫秒, 文本长度: 451/116
计算试题相似度(基于字符串长度差值改进的杰卡德,jaccardWeight : 0.9,lengthDifferentWeight:0.1) 相似度: 18.92, 耗时: 0毫秒, 文本长度: 451/116
计算试题相似度(基于字符串长度差值改进的杰卡德,jaccardWeight : 0.8,lengthDifferentWeight:0.2) 相似度: 16.86, 耗时: 0毫秒, 文本长度: 451/116
计算试题相似度(基于字符串长度差值改进的杰卡德,jaccardWeight : 0.7,lengthDifferentWeight:0.3) 相似度: 14.79, 耗时: 0毫秒, 文本长度: 451/116
计算试题相似度(基于字符串长度差值改进的杰卡德,jaccardWeight : 0.6,lengthDifferentWeight:0.4) 相似度: 12.72, 耗时: 0毫秒, 文本长度: 451/116
计算试题相似度(基于字符串长度差值改进的杰卡德,jaccardWeight : 0.5,lengthDifferentWeight:0.5) 相似度: 10.65, 耗时: 0毫秒, 文本长度: 451/116
3.3.3、召回CASE1
**测试结论:**设置两个权重范围[杰卡德系数权重,字符串长度差值权重] = [0.9-0.5,0.1-0.5],改进杰卡德和原生杰卡德所召回最相似的题干一样,也就是在设置权重值小于1的情况下,召回试题效果一致,性能上的话相差不大。
搜索题干:
阅读下面《孟子》选段,回答问题。 孟子谓戴不胜曰:“子欲子之王善与?我明告子。有楚大夫于此,欲其子之齐语也,则使齐人傅诸?使楚人傅诸?”曰:“使齐人傅之。”曰:“一齐人傅之,众楚人咻之,虽日挞而求其齐也,不可得矣。引而置之庄岳之间数年,虽日挞而求其楚,亦不可得矣。子谓薛居州,善士也,使之居于王所。在于王所者,长、幼、卑、尊皆薛居州也,王谁与为不善?在王所者,长、幼、卑、尊皆非薛居州也,王谁与为善?一薛居州独如宋王何?” 下列各项对文段内容理解错误的一项是( ) 孟子认为楚国大夫的儿子要学会说齐国话,与其请一个齐国人过来教,不如把他送到齐国最繁华的街里庄岳去学。 孟子认为戴不胜的国君做出不善之事,是因为善士薛居州不在他身边,不能给他及时有效的指导。 孟子运用了设喻的方法来问戴不胜,让他明白“欲王之善”的道理。 国君周围多是好人,他就会和大家一起做好事。如果国君周围多是坏人,他也就很难做好人了。 【小题2】荀子《劝学》中说“蓬生麻中,不扶自直;白沙在涅,与之俱黑”,请结合上面选段,联系实际,谈谈自己的看法。
其他试题题干:
当前试题:1561285791080448,杰卡德相似度:1.0,题干:阅读下面《孟子》选段,回答问题。 孟子谓戴不胜曰:“子欲子之王善与?我明告子。有楚大夫于此,欲其子之齐语也,则使齐人傅诸?使楚人傅诸?”曰:“使齐人傅之。”曰:“一齐人傅之,众楚人咻之,虽日挞而求其齐也,不可得矣。引而置之庄岳之间数年,虽日挞而求其楚,亦不可得矣。子谓薛居州,善士也,使之居于王所。在于王所者,长、幼、卑、尊皆薛居州也,王谁与为不善?在王所者,长、幼、卑、尊皆非薛居州也,王谁与为善?一薛居州独如宋王何?” 下列各项对文段内容理解错误的一项是( ) 孟子认为楚国大夫的儿子要学会说齐国话,与其请一个齐国人过来教,不如把他送到齐国最繁华的街里庄岳去学。 孟子认为戴不胜的国君做出不善之事,是因为善士薛居州不在他身边,不能给他及时有效的指导。 孟子运用了设喻的方法来问戴不胜,让他明白“欲王之善”的道理。 国君周围多是好人,他就会和大家一起做好事。如果国君周围多是坏人,他也就很难做好人了。 【小题2】荀子《劝学》中说“蓬生麻中,不扶自直;白沙在涅,与之俱黑”,请结合上面选段,联系实际,谈谈自己的看法。
当前试题:1561273645809664,杰卡德相似度:0.25,题干:阅读下面二则《孟子 》选段,回答问题。 ①孟子曰:“不挟长,不挟贵,不挟兄弟而友。友也者,友其德也,不可以有挟也。孟献子,百乘之家也,有友五人焉:乐正裘,牧仲,其三人.则予忘之矣。献子之与此五人者友也,无献子之家者也。此五人者,亦有献子之家,则不与之友矣。非惟百乘之家为然也,虽小国之君亦有之。……” (《孟子·万章下》) ②孟子谓万章曰:“一乡之善士,斯友一乡之善士;一国之善士,斯友一国之善土;天下之善士斯友天下之善士。以友天下之善士为未足,又尚论古之人。颂其诗,读其书,不知其人,可乎?是以论其事也,是尚友 也。(《孟子·万章下》) 下列对原文内容分析不正确的一项是( ) 与今人交友务必要颂读其诗文,做到“知其人”后方可结交。 “又尚论古之人”的意思是:又向上追论古代的人。 孟子说的“不挟”即不要有倚仗的念头。 选段②,孟子以层层推进的形式阐述了自己对于交友的认识。 【小题2】请你根据上面的文字,谈谈孟子对于交友的认识。
当前试题:1561251360194560,杰卡德相似度:0.2297872340425532,题干:阅读下列《孟子》选段,按要求回答问题。 陈臻问日:,“前日子齐,王馈兼金一百而不受;于宋,馈七十锰而受;于薛,馈五十镒而受。前日之不受是,则今日之受非也;今日之受是,则前日之不受非也。夫子必居一于此矣。”孟子曰:“皆是也。当在宋也,予将有远行,行者必以赆;辞曰:‘馈赆。’予何为不受?当在薛也,予有戒心;辞日: ‘闻戒,故为兵馈之。’.予何为不受?若于齐,则未有处也。无处而馈之,是货之也。焉有君子而可以货取乎?” ——《孟子·公孙丑下》 孟子曰:“大人者,言不必信,行不必果,惟义所在。” ——《孟子·离娄下》 请问这两段话共同体现了孟子怎样的行为准则?请结合语段简要说明。
当前试题:1561323174854656,杰卡德相似度:0.23317307692307693,题干:阅读下面的文言文,完成小题。 孟子将朝王,王使人来曰:“寡人如就见者也,有寒疾,不可以风。朝,将视朝,不识可使寡人得见乎?”对曰:“不幸而有疾,不能造朝。” 明日,出吊于东郭氏。公孙丑曰:“昔者辞以病,今日吊,或者不可乎?”曰:“昔日疾,今日愈,如之何不吊?”王使人问疾,医来。孟仲子①对曰:“昔者有王命,有采薪之忧②,不能造朝。今病小愈,趋造于朝,我不识能至否乎?”使数人要于路,曰:“请必无归,而造于朝!”不得已而之景丑氏宿焉。 景子曰:“内则父子,外则君臣,人之大伦也。父子主恩,君臣主敬。丑见王之敬子也,未见所以敬王也。”曰:“恶!是何言也!齐人无以仁义与王言者,岂以仁义为不美也?其心曰‘是何足与言仁义也 ’云尔,则不敬莫大乎是。我非尧舜之道不敢以陈于王前,故齐人莫如我敬王也。”景子曰:“否,非此之谓也。《礼》曰:‘父召,无诺;君命召,不俟驾。’固将朝也,闻王命而遂不果③,宜与夫礼若不相似然。” 曰:“岂谓是与?天下有达尊④三:爵一,齿一,德一。朝廷莫如爵,乡党莫如齿,辅世长民莫如德。恶得有其一以慢其二哉?故将大有为之君,必有所不召之臣;欲有谋焉,则就之。其尊德乐道,不如是,不足与有为也。” (摘自《孟子·公孙丑下》) [注]①孟仲子:孟子的堂兄弟,跟孟子学习。②采薪之忧:谓有病不能上山打柴,是疾病的代词,为当时交际的习惯语。③不果:终于没有实行。④达尊:普遍尊贵的事。 对下列句子中加点的词的解释,不正确的一项是( ) 寡人如就见者也如:应当。 君命召,不俟驾俟:等待。 不识可使寡人得见乎得:能够。 使数人要于路要:要挟、威胁。 【小题2】下列词语中,加点字的意义和用法相同的一项是( ) ①不得已而之景丑氏宿焉②犹且从师而问焉 ①请必无归,而造于朝②吾尝终日而思矣 ①未见所以敬王也②所以遣将守关者,备他盗之出入与非常也。 ①岂谓是与②吾王庶几无疾病与 【小题3】本文的人物形象很生动,为了达到自己的目的,齐王、孟子、孟仲子都说过假话。根据原文内容判断,下面说的是真话的一句是 ( ) 寡人如就见也,有寒疾,不可以风 不幸而有疾,不能造朝 请必无归,而造于朝 今病小愈, 趋造于朝 【小题4】下列对原文有关内容的分析和概括,不正确的一项是( ) 本文通过孟子不接受齐王的召见,表明了孟子对君臣关系的看法与态度,他认为君臣关系应建立在仁义的基础上,国君应该礼贤下士,谦逊待人。 孟子认为国君的尊贵不应该表现在地位的优越上,臣子对国君的恭顺不应该只停留在礼节形 式上。 孟子还认为国君不能因为自己德高望重,就轻慢了地位和年龄比自己低的臣子,国君应该表现出尊德乐道的风范。 景丑氏认为孟子对齐王不恭敬,孟子本来要见国君,可是一听到齐王的命令反而不去了,景子觉得孟子这种做法与《礼记》上说的不相合。 【小题5】把下列句子翻译成现代汉语。 ①朝,将视朝,不识可使寡人得见乎?” ②故将大有为之君,必有所不召之臣;欲有谋焉,则就之。 ③危而不持,颠而不扶,则将焉用彼相矣。 ④狗彘食人食而不知检,涂有饿莩而不知发。
当前试题:1561237488615424,杰卡德相似度:0.5041666666666667,题干:阅读文化经典《孟子》,按要求答题。 孟子谓戴不胜①曰:“子欲子之王之善与?我明告子。有楚大夫于此,欲其子之齐语也,则使齐人傅诸?使楚人傅诸?” 曰:“使齐人傅之。” 曰:“一齐人傅之,众楚人咻之,虽日挞而求其齐也,不可得矣;引而置之庄岳之间数年②,虽日挞而求其楚,亦不可得矣。子谓薛居州③,善士也,使之居于王所。在于王所者,长幼卑尊皆薛居州也,王谁与为不善?在王所者,长幼卑尊皆非薛居州也,王谁与为善?一薛居州,独如宋王何?” (选自《孟子·滕文公下》) [注释] ①戴不胜:宋臣。②庄岳:庄,街名;岳,里名,都在齐都城临淄城内。这里代指齐都中的闹市区。③薛居州:宋国人。 下列各项中,对上面《孟子》选段的理解,不正确的一项是( ) 孟子认为一个齐国人教楚国大夫的儿子学齐国话,虽然周围有许多楚国人干扰他,但只要天天鞭打逼他学齐国话,就有可能学会的。 孟子认为把楚国大夫的儿子带到齐国都城的闹市上住上几年,即使天天鞭打他,要他讲楚国话,也不可能的了。 如果在王宫中的人,不论年龄大小、地位高低,都是薛居州那样的人.那么宋王就不能同谁一起干坏事了。 “一薛居州,独如宋王何?”说明一个薛居州,不能对宋王起到重要作用。 请用一个成语概括选段的主要内容,并分析孟子的观点。(用自己的话回答)
当前试题:1561241502400512,杰卡德相似度:0.5469387755102041,题干:阅读下面《孟子》选段,回答问题。 孟子谓戴不胜曰: “子欲子之王之善与?我明告子。有楚大夫于此,欲其子之齐语也,则使齐人傅诸,使楚人傅诸?”(1)曰:“使齐人傅之。” 曰:“一齐人傅之,欢楚人咻之,(2)虽日挞而求其齐也不可得矣;(3)引而置之庄岳之间数年,(4)虽日挞而求其楚亦不可得矣。子谓薛居州善士 也,(5使之居于王所。在于王所者长幼卑尊皆薛居州也,王谁与为不善?在 王所者长幼卑尊皆非薛居州也,王谁与为善?一薛居州,独如宋王何?”(6) 【注释】 (1)傅:朱熹《集注》云:“教也。”(2)淋(xiū休):为“喧哗”。(3)挞:责打。(4)庄岳:朱熹《集注》云:“齐街里名也。”(5)薛居州: 赵注云:“宋之善上也。”(6)独:王引之《经传释词》云:“独犹将也。” (1)下列各项中,对上面选段的理解不正确的一项是( ) A.孟子用设喻的方法反问戴不胜,楚国大夫的儿子要学会说齐国话,是找齐国的人来教他好呢,还是找楚国的人来教他好呢? B.孟子认为如果一个齐国人来教他,却有许多楚国人在他周围用楚国话来干扰他,即使每天鞭打他,要求他说齐国话,那也是不可能的。 C.同样的道理,如果在王宫中的人,无论年龄大小的还是地位高低的都居住在薛居州那里,那么君王和谁去做坏事呢? D.如果国君周围多是好人,那么国君也就会和大家一起向善做好事。相反,如果国君周围多是坏人,那么国君也就难做好人了。 (2)请结合上面选段,联系实际,谈谈接受教育与学习环境的关系。
当前试题:1561273695535104,杰卡德相似度:0.46798029556650245,题干:阅读下面的《孟子》选段,回答问题。 孟子谓戴不胜①曰:“子欲子之王之善与?我明告子。有楚大夫于此,欲其子之齐语也,则使齐人傅诸,使楚人傅诸?”曰:“使齐人傅之。” 曰:“一齐人傅之,众楚人咻之,虽日挞而求其齐也,不可得矣;引而置之庄岳②之间数年,虽日挞而求其楚,亦不可得矣。子谓薛居州,善士也,使之居于王所。在于王所者,长幼卑尊皆薛居州也,王谁与为不善?在王所者,长幼卑尊皆非薛居州也,王谁与为善?一薛居州,独如宋王何?” (《滕文公下》6.6) 【注释】①戴不胜:人名,宋国大臣 ②庄岳:齐国一个繁盛街道的名称 (1)从“一齐人傅之,众楚人咻之,虽日挞而求其齐也,不可得矣”一句中,可概括出成语 ;孟子运用 方法,向戴不胜提出了 的建议。 (2)请概括选段的主旨并简要分析。
当前试题:1561239300816896,杰卡德相似度:0.24427480916030533,题干:《孟子》选读 齐人伐燕。或问曰:“劝齐伐燕,有诸?”曰:“未也。沈同①问‘燕可伐与’,吾应之曰:‘可’。彼然而伐之也。彼如曰:‘孰可以伐之?’则将应之曰:‘为天吏②,则可以伐之。’今有杀人者,或问之曰:‘人可杀与?’则将应之曰:‘可’。彼如曰:‘孰可以杀之?’则将应之曰:‘为士师,则可以杀之。’今以燕伐燕,何为劝之哉?” (选自《孟子·公孙丑下》) 【注释】①沈同:齐国大臣。②为天吏:奉行天命的天子。 (1)下列各项中,对上面《孟子》选段的理解,不正确的一项是( ) A.齐国讨伐燕国,是战国中期的一项重大事件。孟子认为,燕国的国政败坏,民众因此遭受苦难,所以是可以讨伐的。 B.孟子指出,讨伐燕国者必须施行优于燕国的政治措施,否则,伐燕是没有意义的,而且也不可能得到民众的支持。 C.孟子认为,燕国的国政败坏,齐人身为天吏,替天行道,可以讨伐燕国。但如果让燕国人讨伐燕国人,则不值得鼓励。 D.孟子认为,礼乐征伐这样的大事,不是谁都有权力去做的,因此他明确反对让像燕国一样暴虐的同为诸侯国的齐国去讨伐燕国。 (2)孟子是认为燕国可以讨伐,杀人犯可以杀掉么?为什么?
当前试题:1561279754993664,杰卡德相似度:0.28413284132841327,题干:阅读下面的《孟子》选段,回答问题。 孟子见齐宣王,曰:“所谓故国者,非谓有乔木之谓也,有世臣①之谓也。王无亲臣矣,昔者所进,今日不知其亡也。”王曰:“吾何以识其不才而舍之?”曰:“国君进贤,如不得已,将使卑逾尊,疏逾戚,可不慎与?左右皆曰‘贤’,未可也;诸大夫皆曰‘贤’,未可也;国人皆曰‘贤’,然后察之;见贤焉,然后用之。左右皆曰‘不可’,勿听;诸大夫皆曰‘不可’,勿听;国人皆曰‘不可’,然后察之;见不可焉,然后去之。左右皆曰‘可杀’,勿听;诸大夫皆曰‘可杀’,勿听;国人皆曰‘可杀’,然后察之,见可杀焉,然后杀之。故曰‘国人杀之’也。如此,然后可以为民父母。”(《孟子·梁惠王下》) 【注】①世臣:即“累世勋旧之臣,与国同休戚者也”(朱熹)。 下列对选段内容的理解,不正确的一项是( ) 孟子认为,一个国家要拥有长期为国效力立功的大臣,才能称得上是“故国”,所以国君选拔任用人才很重要。 齐宣王认为,齐国没有“亲臣”是因为他昔日没能分辨出“不才”之人,所以向孟子询问“识其不才”的方法。 孟子告诉齐宣王,在人才的任用上,应该以贤能与否为标准,即使超越“尊尊亲亲”的伦常,也不必有所顾忌。 孟子认为,国君只有运用恰当的方法,正确地选拔贤才和罢黜“不才”之人,才能称得上是人民的父母。 【小题2】“故曰:国人杀之也。”这体现了孟子的什么思想?
当前试题:2526504062001152,杰卡德相似度:0.16428571428571428,题干:阅读下面的文字,完成下面小题。 薛嵩,绛州万泉人。祖仁贵,高宗朝名将,封平阳郡公。父楚玉,为范阳、平卢节度使。嵩少以门荫,落拓不事家产,有膂力,善骑射,不知书。自天下兵起,委质逆徒。广德元年,东都平,时皇太子为天下兵马元帅,遣仆固怀恩东收河朔。嵩为贼守相州,闻贼朝义兵溃,王师至,嵩惶惑迎拜于怀恩马前,怀恩释之,令守旧职。时怀恩二心已萌。怀恩平河朔旋,乃奏嵩及田承嗣、张忠志、李怀仙分理河北道;诏遂以嵩为相州刺史,充相、卫、洺、邢等州节度观察使,承嗣镇魏州,忠志镇恒州,怀仙镇幽州,各据数州之地。时多事之后,姑欲安人,遂以重寄委嵩。嵩感恩奉职,数年间,管内粗理,累迁检校右仆射。大历八年正月卒。 嵩子平,年十二,嵩卒,军吏欲用河北故事,胁平知留后务,平伪许之,让于叔父崿,一夕以丧归。及免丧,累授右卫将军,在南衙凡三十年。宰相杜黄裳深器之,荐为汝州刺史、兼御史中丞,理有能名。元和七年,淮西用兵,自左龙武大将军授兼御史大夫、滑州刺史、郑滑节度观察等使,累有战功。滑州城西距黄河二里,每岁常为水患。平询访得古河道,接卫州黎阳县界。平率魏博节度使田弘正同上闻,开古河南北长十四里,决旧河以分水势,滑人遂无水患。居镇六年,入为左金吾大将军。未几,复为郑滑节度观察使。 长庆元年,幽镇叛,杜叔良统横海全军讨伐不胜,王庭凑围牛元翼于深州。棣州为贼所窘朝廷乃委平以师援棣州平即遣将李叔佐以兵五百救之。居数月,刺史王稷馈给稍薄,兵士怨怒,叔佐不能戢,宵溃而归。仍推突将马狼兒为帅,行及青城镇,劫镇将李自劝,并其众;次至博昌镇,复劫其镇兵,共得七千余人,径逼青州城。城中兵士不敌,平悉府库并家财募二千精卒,逆击之,仍先以骑兵掩其家属辎重,贼众惶惑反顾,因大败。狼兒与其同恶十数辈脱身窜匿,余党降,稍后者斩于鞠场。明日,狼兒亦就擒戮,胁从者放归田里。诏加右仆射,进封魏国公,由是远近畏伏平之威略。 在镇六周岁,兵甲完利,井赋均一。至是入觐,百姓遮道乞留,数日乃得出。在河中凡六年,召拜太子太保。明年,上疏乞老,以司徒致仕,居一年卒,册赠太傅。 ——节选自《旧唐书·列传第七十四》 对下列句子中加点的词的解释,不正确的一项是 ( ) 嵩少以门荫,落拓不事家产 落拓:豪放,放荡不羁 时多事之后,姑欲安人,遂以重寄委嵩 安:安排 自天下兵起,束身戎伍,委质逆徒 委质:顺从,归附 兵甲完利,井赋均一 完利:坚固锋利 以下句子中,全都直接表明薛嵩与薛平父子二人功绩的一组是 ( ) ①宰相杜黄裳深器之,荐为汝州刺史、兼御史中丞 ②嵩感恩奉职,数年间,管内粗理,累迁检校右仆射 ③自左龙武大将军授兼御史大夫、滑州刺史、郑滑节度观察等使,累有战功 ④至是入觐,百姓遮道乞留,数日乃得出 ⑤平悉府库并家财募二千精卒,逆击之 ⑥开古河南北长十四里,决旧河以分水势,滑人遂无水患 ①③④ ①⑤⑥ ②③⑥ ②④⑤ 下列对原文有关内容的分析和概括,不正确的一项是( ) 薛嵩原本替贼兵把守相州,贼兵败后,王师到来,薛嵩就到怀恩马前迎接叩拜,怀恩放了他,并让他做了相州刺史。 宰相杜黄裳很器重薛平,推荐他做汝州刺史、兼任御史中丞,治理得好,在当时很有名声。在淮西战事中,又屡有战功。 薛平在滑州时,率领魏博节度使田弘正开凿古河南北总长十四里,挖开旧河来分流水势,滑州百姓于是没有水患了。 青州城兵士不敌乱军时,薛平拿出府库和家里的全部钱财招募二千精锐的士兵,迎击对方,仍然先用骑兵掩击敌人的家属辎重,叛贼士兵惶惑反顾,于是大败。 对“军吏欲用河北故事,胁平知留后务,平伪许之,让于叔父崿,一夕以丧归”句翻译最准确的一项是( ) 军吏想要采用河北的故事,胁迫薛平务必留下来,薛平假装答应他们,让官给叔父薛崿,在一天夜里因为奔丧回家。 军吏想要遵照河北旧例,胁迫薛平务必留下来,薛平假装答应他们,让官给叔父薛崿,在一天夜里因为奔丧回家。 军吏想要遵照河北旧例,胁迫薛平留下来管理后务,薛平假装答应他们,让官给叔父薛崿,在一天夜里因为奔丧回家。 军吏想要遵照河北故事里的样子,胁迫薛平留下来管理后务,薛平答应了他们,让官给叔父薛崿,在一天夜里因为奔丧回家。 下列对文章中画波浪线部分的断句,正确的一项是( ) 棣州为贼所窘/朝廷乃委平/以师援棣州/平即遣将李叔佐/以兵五百救之。 棣州为贼所窘/朝廷乃委平以师/援棣州/平即遣将李叔佐/以兵五百救之。 棣州为贼所窘/朝廷乃委平以师援棣州/平即遣将李叔佐以兵五百救之。 棣州为贼所窘/朝廷乃委平以师/援棣州/平即遣将李叔佐以兵五百救之。
测试结果,排除完全相等的情况,对于普通的杰卡德计算相似度最高的为相似度得分为54.69,从10个中选取结果
- 阅读下面《孟子》选段,回答问题。 孟子谓戴不胜曰: “子欲子之王之善与?我明告子。有楚大夫于此,欲其子之齐语也,则使齐人傅诸,使楚人傅诸?”(1)曰:“使齐人傅之。” 曰:“一齐人傅之,欢楚人咻之,(2)虽日挞而求其齐也不可得矣;(3)引而置之庄岳之间数年,(4)虽日挞而求其楚亦不可得矣。子谓薛居州善士 也,(5使之居于王所。在于王所者长幼卑尊皆薛居州也,王谁与为不善?在 王所者长幼卑尊皆非薛居州也,王谁与为善?一薛居州,独如宋王何?”(6) 【注释】 (1)傅:朱熹《集注》云:“教也。”(2)淋(xiū休):为“喧哗”。(3)挞:责打。(4)庄岳:朱熹《集注》云:“齐街里名也。”(5)薛居州: 赵注云:“宋之善上也。”(6)独:王引之《经传释词》云:“独犹将也。” (1)下列各项中,对上面选段的理解不正确的一项是( ) A.孟子用设喻的方法反问戴不胜,楚国大夫的儿子要学会说齐国话,是找齐国的人来教他好呢,还是找楚国的人来教他好呢? B.孟子认为如果一个齐国人来教他,却有许多楚国人在他周围用楚国话来干扰他,即使每天鞭打他,要求他说齐国话,那也是不可能的。 C.同样的道理,如果在王宫中的人,无论年龄大小的还是地位高低的都居住在薛居州那里,那么君王和谁去做坏事呢? D.如果国君周围多是好人,那么国君也就会和大家一起向善做好事。相反,如果国君周围多是坏人,那么国君也就难做好人了。 (2)请结合上面选段,联系实际,谈谈接受教育与学习环境的关系。
对于不同杰卡德系数权重、字符串长度差权重情况下,改进杰卡德选取的最相似的结果
- 杰卡德系数权重=[0.9-0.5],长度差值权重=[0.1-0.5]:阅读下面《孟子》选段,回答问题。 孟子谓戴不胜曰: “子欲子之王之善与?我明告子。有楚大夫于此,欲其子之齐语也,则使齐人傅诸,使楚人傅诸?”(1)曰:“使齐人傅之。” 曰:“一齐人傅之,欢楚人咻之,(2)虽日挞而求其齐也不可得矣;(3)引而置之庄岳之间数年,(4)虽日挞而求其楚亦不可得矣。子谓薛居州善士 也,(5使之居于王所。在于王所者长幼卑尊皆薛居州也,王谁与为不善?在 王所者长幼卑尊皆非薛居州也,王谁与为善?一薛居州,独如宋王何?”(6) 【注释】 (1)傅:朱熹《集注》云:“教也。”(2)淋(xiū休):为“喧哗”。(3)挞:责打。(4)庄岳:朱熹《集注》云:“齐街里名也。”(5)薛居州: 赵注云:“宋之善上也。”(6)独:王引之《经传释词》云:“独犹将也。” (1)下列各项中,对上面选段的理解不正确的一项是( ) A.孟子用设喻的方法反问戴不胜,楚国大夫的儿子要学会说齐国话,是找齐国的人来教他好呢,还是找楚国的人来教他好呢? B.孟子认为如果一个齐国人来教他,却有许多楚国人在他周围用楚国话来干扰他,即使每天鞭打他,要求他说齐国话,那也是不可能的。 C.同样的道理,如果在王宫中的人,无论年龄大小的还是地位高低的都居住在薛居州那里,那么君王和谁去做坏事呢? D.如果国君周围多是好人,那么国君也就会和大家一起向善做好事。相反,如果国君周围多是坏人,那么国君也就难做好人了。 (2)请结合上面选段,联系实际,谈谈接受教育与学习环境的关系。
3.4.4、召回CASE2
**测试结论:**设置两个权重范围[杰卡德系数权重,字符串长度差值权重] = [0.9-0.5,0.1-0.5],改进杰卡德和原生杰卡德所召回最相似的题干一样,也就是在设置权重值小于1的情况下,召回试题效果一致,性能上的话相差不大。
搜索题干:
肾小球为血液过滤器,血液经肾小球过滤后进入肾小囊形成原尿。正常情况下,血液中绝大部分蛋白质不能滤过而保留于血液中,小分子物质如尿素、葡萄糖、无机盐等能滤过。肾小球发生炎症时,血液内原本不能从肾脏滤出的蛋白质滤过至尿液内,出现蛋白尿。下列相关叙述正确的是A.肾小球肾炎患者血浆渗透压的大小只与无机盐和蛋白质的含量有关B.肾小球具有血液过滤器的功能主要与生物膜的结构特性有关C.肾小球肾炎患者血液中的抗体减少,机体免疫力下降D.肾小球肾炎患者会因血浆蛋白减少,组织液渗出至血浆的水增多而发生水肿,
其他试题题干:
杰卡德算法计算的相似度阈值:27.06766917293233,题干:
下列属于造成组织水肿原因的有( ) 花粉过敏,毛细血管通透性改变,血浆蛋白渗出 肾小球肾炎,蛋白质随尿液排出体外 摄入蛋白质不足,营养不良,血浆蛋白含量下降 肾小管重吸收水分增强
杰卡德算法计算的相似度阈值:29.28571428571429,题干:
下列各项中,不可能造成组织水肿的是 患有肾小球肾炎,蛋白质随尿液排出体外 摄入蛋白质不足,营养不良,血浆蛋白含量下降 食物过咸,抗利尿激素分泌增加,肾小管重吸收水分增多 药物或食物过敏,毛细血管通透性改变,血浆蛋白渗出
杰卡德算法计算的相似度阈值:12.698412698412698,题干:
某人全身浮肿,其原因不包括 血浆蛋白减少 肾小球肾炎 毛细淋巴管堵塞 糖尿病
杰卡德算法计算的相似度阈值:26.515151515151516,题干:
下列不是造成组织水肿原因的是 花粉过敏,毛细血管通透性改变,血浆蛋白渗出 肾小球肾炎,蛋白质随尿液排出体外 摄入蛋白质不足,营养不良,血浆蛋白含量下降 肾小管重吸收水分增强
杰卡德算法计算的相似度阈值:30.597014925373134,题干:
下列各项中,不可能造成组织水肿的是( ) 摄入蛋白质不足,营养不良,血浆蛋白含量下降 患有肾小球肾炎,蛋白质随尿液排出体外 花粉过敏,毛细血管通透性改变,血浆蛋白渗出 病毒侵入机体时,抗体会从血浆进入组织液
杰卡德算法计算的相似度阈值:17.46031746031746,题干:
下列叙述中不会引起组织水肿的是( ) 毛细淋巴管阻塞 注射蛋白质类药物 花粉过敏 肾小球肾炎
杰卡德算法计算的相似度阈值:30.0,题干:
下列各项中,不可能造成组织水肿的是( ) 食物过咸,抗利尿激素分泌增加,肾小管重吸收水分增多 患有肾小球肾炎症,蛋白质随尿液排出体外 摄入蛋白质不足,营养不良,血浆蛋白含量下降 药物或食物过敏,毛细血管通透性改变,血浆蛋白渗出
杰卡德算法计算的相似度阈值:31.645569620253166,题干:
某人因急性肾小球肾炎而出现了全身水肿,同时伴有尿血、尿蛋白和少尿等症状,检查发现该患者肾小球水盐滤过率降低、全身毛细血管通透性改变、血浆蛋白含量下降,被确诊为肾炎性水肿。下列说法正确的是( ) 患者肾小球滤过率降低导致其内环境水盐含量上升 患者血浆蛋白含量逐渐下降,也会加重组织水肿 患者毛细血管通透性改变,其组织细胞内液渗透压保持不变 若使用利尿剂增加尿量、改善肾小球通透性,可缓解患者病情
杰卡德算法计算的相似度阈值:28.776978417266186,题干:
下列各项中,不可能造成组织水肿的是( ) 患有肾小球肾炎,蛋白质随尿液排出体外 摄入蛋白质不足,营养不良,血浆蛋白含量下降 食物过咸,细胞外液渗透压升高,肾小管重吸收水分增多 药物或食物过敏,毛细血管通透性改变,血浆蛋白渗出
杰卡德算法计算的相似度阈值:29.496402877697843,题干:
下列各项中,不可能造成组织水肿的是( ) 患有肾小球肾炎,蛋白质随尿液排出体外 摄入蛋白质不足,营养不良,血浆蛋白含量下降 抗利尿激素分密增加,肾小管重吸收水分增多 药物或食物过敏,毛细血管通透性改变,血浆蛋白渗出
测试结果,排除完全相等的情况,对于普通的杰卡德计算相似度最高的为相似度得分为31.65,从10个中选取结果
- 某人因急性肾小球肾炎而出现了全身水肿,同时伴有尿血、尿蛋白和少尿等症状,检查发现该患者肾小球水盐滤过率降低、全身毛细血管通透性改变、血浆蛋白含量下降,被确诊为肾炎性水肿。下列说法正确的是( ) 患者肾小球滤过率降低导致其内环境水盐含量上升 患者血浆蛋白含量逐渐下降,也会加重组织水肿 患者毛细血管通透性改变,其组织细胞内液渗透压保持不变 若使用利尿剂增加尿量、改善肾小球通透性,可缓解患者病情
对于不同杰卡德系数权重、字符串长度差权重情况下,改进杰卡德选取的最相似的结果
- **杰卡德系数权重=[0.9-0.5],长度差值权重=[0.1-0.5]:**某人因急性肾小球肾炎而出现了全身水肿,同时伴有尿血、尿蛋白和少尿等症状,检查发现该患者肾小球水盐滤过率降低、全身毛细血管通透性改变、血浆蛋白含量下降,被确诊为肾炎性水肿。下列说法正确的是( ) 患者肾小球滤过率降低导致其内环境水盐含量上升 患者血浆蛋白含量逐渐下降,也会加重组织水肿 患者毛细血管通透性改变,其组织细胞内液渗透压保持不变 若使用利尿剂增加尿量、改善肾小球通透性,可缓解患者病情
3.4.5、召回CASE3
**测试结论:**设置两个权重范围[杰卡德系数权重,字符串长度差值权重] = [0.9-0.5,0.1-0.5],改进杰卡德和原生杰卡德所召回最相似的题干一样,也就是在设置权重值小于1的情况下,召回试题效果一致,性能上的话相差不大。
搜索题干:
行驶中的汽车,在刹车后由于惯性作用还会继续前行,向前滑行一段距离后才能停止,这段距离称为“刹车距离”.下表是一辆行驶中的汽车在刹车后行驶的速度V( m/s )、刹车距离S(m)与行驶的时间t(s)的一些数据: t(s) 0.5 1 1.5 2 V( m/s ) 24 18 12 6 S(m) 13.5 24 31.5 36 经过研究分析,我们发现,刹车后行驶的速度V与时间t成一次函数关系,刹车距离S与时间t成二次函数关系,请直接写出刹车后行驶的速度V与时间t,刹车距离S与时间t的函数关系式(不需要写出自变量的取值范围). 若该汽车司机行驶中发现前方37米处有危险从而紧急刹车,问该司机紧急刹车后,汽车能否在到达危险处前停止?(假设汽车刹车后状态与上表中数据完全吻合) 若该汽车司机在行驶的过程中发现前方突发交通事故,现紧急刹车,结果仍然与前车发生的追尾,后交警调查发现,该汽车的刹车距离只有30米,问该司机至少需要提前多长时间刹车才能避免二次追尾事故?(假设汽车刹车后状态与上表中数据完全吻合),
其他题干:
杰卡德算法计算的相似度阈值:11.409395973154362,题干:
行驶的汽车急刹车时,司机身体会前倾,是由于他具有 .
杰卡德算法计算的相似度阈值:31.221719457013574,题干:
现代社会的交通运输是国家的经济命脉,到2010年底,我全国公路通车总里程达到398.4万公里,居世界第二,了解一些高速公路上的行车常识很有必要. (1)为了防止高速行驶的汽车紧急刹车时乘员由于 继续向前运动而撞伤,公安部门要求小型客车的驾驶员和前排乘客必须使用安全带,在汽车紧急刹车时,安全带起缓冲作用,防止人向前撞到车的其他部件上受伤. (2)高速公路上为避免发生汽车追尾事故,有关部门在路边竖立有距离确认牌.从确认牌开始,沿路分别竖有50m、100m、200m标志牌.小明为了估测所乘汽车的速度,他用手表测出汽车从确认牌到200m标志牌的时间为5s,则他估测汽车的平均速度为 米/秒,合 千米/时.
杰卡德算法计算的相似度阈值:24.71264367816092,题干:
如图为南方雪灾中的一个场景.汽车在紧急刹车时,总要滑行一段距离才停下来,这是由于汽车具有 的原因,当路面有冰雪时,轮胎与地面间的摩擦会变 .为了避免此类事故的发生,请给司机提出一条合理建议: .
杰卡德算法计算的相似度阈值:18.93491124260355,题干:
汽车在紧急刹车时,总是滑行一段距离才能停下来,这是由于 ,当雨天路面有水时,轮胎与地面间的摩擦力会变 ,汽车在紧急刹车后滑行的距离将比路面没有水时 ,因此,司机驾车要注意:雨天路滑,小心慢行.
杰卡德算法计算的相似度阈值:21.965317919075144,题干:
遇到冰冻天气,某大桥上汽车追尾事故频发,主要原因是:一方面,汽车在紧急刹车时,由于汽车具有 ,总要滑行一段距离才能停下来;另一方面,当路面结冰时,轮胎与地面间的摩擦力变 ,汽车在紧急刹车后滑行的距离将比路面没有冰雪时长.
杰卡德算法计算的相似度阈值:26.47058823529412,题干:
小明坐在汽车上,行驶过程中遇到了紧急情况,司机师傅采用急刹车的方法使汽车停止运动,小明发现从刹车到停止运动,汽车还要前进一段路程,这是由于 ,此过程中汽车由于 ,运动的速度越来越小.为减少交通事故,请你为司机师傅提出一条合理化建议: .
杰卡德算法计算的相似度阈值:14.210526315789473,题干:
今年“五一”旅游高峰期间,在我市某道路发生一起交通事故,两辆同向行驶的汽车发生“追尾”,虽B车驾驶员紧急刹车,仍撞击了A车(如图所示),B车撞击A车的力_A车撞击B车的力(选填“>”、“<”、“=”),“追尾”后,A车驾驶员受到_(“安全气囊”、“安全带”、“汽车头枕”)保护未严重受伤.
杰卡德算法计算的相似度阈值:20.33898305084746,题干:
冬天遇到冰冻天气,道路上汽车的追尾事故明显增多,主要原因是:汽车在紧急刹车时,由于汽车具有 ,总要滑行一段距离才能停下来:另外,当路面结冰时,轮胎与地面间的摩擦变 ,同样情况下汽车在急刹车后滑行的距离将比平时 .
杰卡德算法计算的相似度阈值:17.441860465116278,题干:
汽车超速行驶时造成交通事故的主要原因,快速行驶的汽车紧急刹车时,让车轮停止转动是通过增大 来增大刹车片与刹车盘之间的摩擦;轮胎在路面留下一道痕迹后汽车停下来,这是利用 的方法增大汽车轮胎与地面之间的摩擦.
杰卡德算法计算的相似度阈值:18.71345029239766,题干:
汽车在紧急刹车时,总是滑行一段距离才能停下来,这是由于 ;当雨天路面有水时,轮胎与地面间的摩擦力会变 ,汽车在紧急刹车后滑行的距离将比路面没有水时 ;汽车车轮停止转动在路面上滑行时,对路面的压强 (选填“变大”“变小”或“不变”).
测试结果,排除完全相等的情况,对于普通的杰卡德计算相似度最高的为相似度得分为31.22,从10个中选取结果
- 现代社会的交通运输是国家的经济命脉,到2010年底,我全国公路通车总里程达到398.4万公里,居世界第二,了解一些高速公路上的行车常识很有必要. (1)为了防止高速行驶的汽车紧急刹车时乘员由于 继续向前运动而撞伤,公安部门要求小型客车的驾驶员和前排乘客必须使用安全带,在汽车紧急刹车时,安全带起缓冲作用,防止人向前撞到车的其他部件上受伤. (2)高速公路上为避免发生汽车追尾事故,有关部门在路边竖立有距离确认牌.从确认牌开始,沿路分别竖有50m、100m、200m标志牌.小明为了估测所乘汽车的速度,他用手表测出汽车从确认牌到200m标志牌的时间为5s,则他估测汽车的平均速度为 米/秒,合 千米/时.
对于不同杰卡德系数权重、字符串长度差权重情况下,改进杰卡德选取的最相似的结果
- **杰卡德系数权重=[0.9-0.5],长度差值权重=[0.1-0.5]:**现代社会的交通运输是国家的经济命脉,到2010年底,我全国公路通车总里程达到398.4万公里,居世界第二,了解一些高速公路上的行车常识很有必要. (1)为了防止高速行驶的汽车紧急刹车时乘员由于 继续向前运动而撞伤,公安部门要求小型客车的驾驶员和前排乘客必须使用安全带,在汽车紧急刹车时,安全带起缓冲作用,防止人向前撞到车的其他部件上受伤. (2)高速公路上为避免发生汽车追尾事故,有关部门在路边竖立有距离确认牌.从确认牌开始,沿路分别竖有50m、100m、200m标志牌.小明为了估测所乘汽车的速度,他用手表测出汽车从确认牌到200m标志牌的时间为5s,则他估测汽车的平均速度为 米/秒,合 千米/时.
1845

被折叠的 条评论
为什么被折叠?



