排队论模型(一):基本概念、输入过程与服务时间的常用概率分布
排队论模型(二):生灭过程 、 M / M /s 等待制排队模型、多服务台模型
排队论模型(五): 有限源排队模型、服务率或到达率依赖状态的排队模型
排队论模型(六):非生灭过程排队模型、爱尔朗(Erlang)排队模型
排队论模型(八):Matlab 生成随机数、排队模型的计算机模拟
目录
1. 有限源排队模型
现在,来分析一下顾客源为有限的排队问题。这类排队问题的主要特征是顾客总数 是有限的,如果有 m 个顾客。每个顾客来到系统中接受服务后仍回到原来的总体,还 有可能再来,这类排队问题的典型例子是机器看管问题。如一个工人同时看管 m 台机 器,当机器发生故障时即停下来等待维修,修好后再投入使用,且仍然可能再发生故障。 类似的例子还有m 个终端共用一台打印机等,如图 2 所示。

关于顾客的平均到达率,在无限源的情形中是按全体顾客来考虑的,而在有限源的 情形下,必须按每一顾客来考虑。设每个顾客的到达率都是相同的,均为λ(这里λ 的 含义是指单位时间内该顾客来到系统请求服务的次数),且每一顾客在系统外的时间均 服从参数为 λ 的负指数分布。由于在系统外的顾客的平均数为 m − Ls ,故系统的有效到达率为

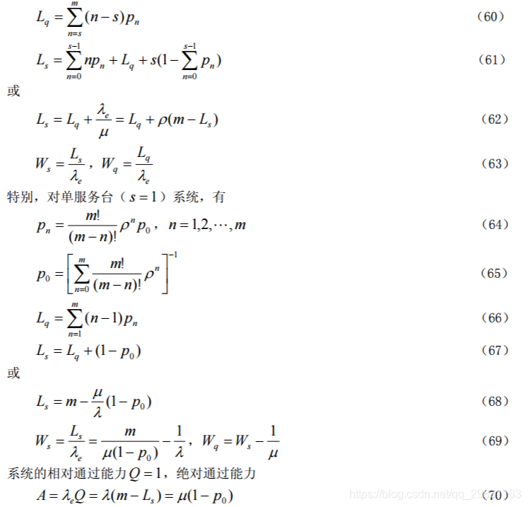
下面给出系统的有关运行指标

例 7 设有一工人看管 5 台机器,每台机器正常运转的时间服从负指数分布,平均 为 15 分钟。当发生故障后,每次修理时间服从负指数分布,平均为 12 分钟,试求该系 统的有关运行指标。
解 用有限源排队模型处理本问题。已知


即该工人每小时可修理机器的平均台数为0.083× 60 = 4.96台。 上述结果表面,机器停工时间过长,看管工人几乎没有空闲时间,应采取措施提高 服务率或增加工人。 LINGO 计算程序如下
model:
lamda=1/15;mu=1/12;rho=lamda/mu;s=1;m=5;
load=m*rho;
L_s=@pfs(load,s,m);
p_0=1-(m-L_s)*rho;
lamda_e=lamda*(m-L_s);
p_5=@exp(@lgm(6))*0.8^5*p_0;
L_q=L_s-(1-p_0);
w_s=L_s/lamda_e;w_q=L_q/lamda_e;
end
2 服务率或到达率依赖状态的排队模型
在前面的各类排队模型的分析中,均假设顾客的到达率为常数 λ ,服务台的服务 率也为常数 μ 。而在实际的排队问题中,到达率或服务率可能是随系统的状态而变化 的。例如,当系统中顾客数已经比较多时,后来的顾客可能不愿意再进入系统;服务员 的服务率当顾客较多时也可能会提高。因此,对单服务台系统,实际的到达率和服务率 (它们均依赖于系统所处的状态n )可假设为



排队论模型(一):基本概念、输入过程与服务时间的常用概率分布
排队论模型(二):生灭过程 、 M / M /s 等待制排队模型、多服务台模型
排队论模型(五): 有限源排队模型、服务率或到达率依赖状态的排队模型
排队论模型(六):非生灭过程排队模型、爱尔朗(Erlang)排队模型
排队论模型(八):Matlab 生成随机数、排队模型的计算机模拟
78

被折叠的 条评论
为什么被折叠?



