一、图像坐标系:世界坐标系
(1)图像坐标和世界坐标(A)
视觉系统的三大坐标系:世界坐标系,摄像机坐标系和图像坐标系。

世界坐标系(XW,YW,ZW):其是目标物体位置的参考系。除了无穷远,世界坐标可以根据运算方便与否自由放置。在双目视觉中世界坐标系主要有三个用途:1、标定时确定标定物的位置2、作为双目视觉的系统参考系,给出两个摄像机相对世界坐标系的关系,从而求出相机之间的相对关系3、作为重建得到三维坐标的容器,盛放重建后的物体的三维坐标。世界坐标系是将看见中物体纳入运算的第一站。
摄像机坐标系(XC,YC,ZC):其是摄像机站在自己角度上衡量的物体的坐标系。摄像机坐标系的原点在摄像机的光心上,z轴与摄像机光轴平行。它是与拍摄物体发生联系的桥头堡,世界坐标系下的物体需先经历刚体变化转到摄像机坐标系(旋转和平移),然后再和图像坐标系发生关系。它是图像坐标与世界坐标之间发生关系的纽带,沟通了世界上最远的距离。
图像坐标系(x,y)米/(u,v)像素 :其是以摄像机拍摄的二维照片为基准建立的坐标系。用于指定物体在照片中的位置。可以将(x,y)称为连续图像坐标或空间图像坐标,将(u,v)称为离散图像坐标系或者是像素图像坐标系(虽然这样的称呼未经考证,但更能传达二者的物理意义)。
(x,y)坐标系的原点位于摄像机光轴与成像平面的交点O’(u0,v0)上,单位为长度单位(米)。(u,v)坐标系的原点在图片的左上角(其实是存储器的首地址),单位为数量单位(个)。(x,y)主要用于表征物体从摄像机坐标系向图像坐标系的透视投影关系。而(u,v)则是实实在在的,我们能从摄像机中得到的真实信息。
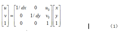
(x,y)与(u,v)存在如下转换关系:

dx代表x轴方向一个像素的宽度,dy代表y轴方向上一个像素的宽度。dx、dy为摄像机的内参数。(u0,v0)称为图像平面的主点,也是摄像机的内参数。其实相当于对x轴和y轴的离散化。其可以运用齐次坐标,将上式写成矩阵形式,如下:

(1)式运用了齐次坐标,将普通坐标转换为齐次坐标,通常就是在增加一个维度,这个维度上的数值为1。如图像坐标系(u,v)转换为(u,v,1)一样。对于无穷远点,小尾巴为0。注意,给零向量增加小尾巴,数学上无意义。
(2)图像坐标和世界坐标(B)

刚体变换(regidbody motion):三维空间中, 当物体不发生形变时,对一个几何物体作旋转, 平移的运动,称之为刚体

本文详细介绍了双目立体视觉的几何框架,从图像坐标系、世界坐标系和摄像机坐标系的概念出发,阐述了刚体变换、张正友标定、立体标定与立体校正的过程。通过这些步骤,可以将世界坐标转换为图像坐标,最终实现三维坐标重建。张正友标定是关键,它可以求解出摄像机的内参、外参和畸变系数,为后续的三维重建提供基础。立体校正旨在将非共面行对准的图像校正为共面行对准,以便进行立体匹配和三维坐标恢复。
最低0.47元/天 解锁文章
433

被折叠的 条评论
为什么被折叠?



