1.基本概念
- **线性回归(Linear Regression)**是一种通过属性的线性组合来进行预测的线性模型,其目的是找到一条直线或者一个平面或者更高维的超平面,使得预测值与真实值之间的误差最小化。
2.特点
- 优点:结果具有很好的可解释性(w直观表达了各属性在预测中的重要性),计算熵不复杂。
- 缺点:对非线性数据拟合不好
- 适用数据类型:数值型和标称型数据



3.自己实现的线性回归
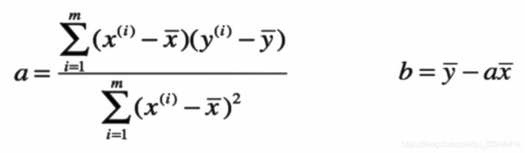
3.1 简单线性回归
1.利用最小二乘法得到的系数

2.用简答随机数模拟的方法来搭建简单线性回归
import numpy as np
import matplotlib.pyplot as plt
x = np.array([1., 2., 3., 4., 5.])
y = np.array([1., 3., 2., 3., 5.])
x_mean = np.mean(x)
y_mean = np.mean(y)
num = 0.0
d = 0.0
for x_i, y_i in zip(x, y):
num += (x_i - x_mean) * (y_i - y_mean)
d += (x_i - x_mean) ** 2
a = num/d
b = y_mean - a * x_mean
y_hat = a * x + b
x_predict = 6
y_predict = a * x_predict + b
自己封装好的类
import numpy as np
class SimpleLinearRegression1:
def __init__(self):
"""初始化Simple Linear Regression 模型"""
self.a_ = None
self.b_ = None
def fit(self, x_train, y_train):
"""根据训练数据集x_train,y_train训练Simple Linear Regression模型"""
assert x_train.ndim == 1, \
"Simple Linear Regressor can only solve single feature training data."
assert len(x_train) == len(y_train), \
"the size of x_train must be equal to the size of y_train"
x_mean = np.mean(x_train)
y_mean = np.mean(y_train)
num = 0.0
d = 0.0
for x, y in zip(x_train, y_train):
num += (x - x_mean) * (y - y_mean)
d += (x - x_mean) ** 2
self.a_ = num / d
self.b_ = y_mean - self.a_ * x_mean
return self
def predict(self, x_predict):
"""给定待预测数据集x_predict,返回表示x_predict的结果向量"""
assert x_predict.ndim == 1, \
"Simple Linear Regressor can only solve single feature training data."
assert self.a_ is not None and self.b_ is not None, \
"must fit before predict!"
return np.array([self._predict(x) for x in x_predict])
def _predict(self, x_single):
"""给定单个待预测数据x,返回x的预测结果值"""
return self.a_ * x_single + self.b_
def __repr__(self):
return "SimpleLinearRegression1()"
class SimpleLinearRegression2:
def __init__(self):
"""初始化Simple Linear Regression模型"""
self.a_ = None
self.b_ = None
def fit(self, x_train, y_train):
"""根据训练数据集x_train,y_train训练Simple Linear Regression模型"""
assert x_train.ndim == 1, \
"Simple Linear Regressor can only solve single feature training data."
assert len(x_train) == len(y_train), \
"the size of x_train must be equal to the size of y_train"
x_mean = np.mean(x_train)
y_mean = np.mean(y_train)
self.a_ = (x_train - x_mean).dot(y_train - y_mean) / (x_train - x_mean).dot(x_train - x_mean)
self.b_ = y_mean - self.a_ * x_mean
return self
def predict(self, x_predict):
"""给定待预测数据集x_predict,返回表示x_predict的结果向量"""
assert x_predict.ndim == 1, \
"Simple Linear Regressor can only solve single feature training data."
assert self.a_ is not None and self.b_ is not None, \
"must fit before predict!"
return np.array([self._predict(x) for x in x_predict])
def _predict(self, x_single):
"""给定单个待预测数据x_single,返回x_single的预测结果值"""
return self.a_ * x_single + self.b_
def __repr__(self):
return "SimpleLinearRegression2()"
<注> SimpleLinearRegression2()相比 SimpleLinearRegression1()是采用向量化的方法实现。采用向量化的方法可以很大程度减少计算机运行时间,提高效率。
3.衡量回归算法的标准
1)相应的公式



2)实现的函数:
import numpy as np
from math import sqrt
def accuracy_score(y_true, y_predict):
"""计算y_true和y_predict之间的准确率"""
assert len(y_true) == len(y_predict), \
"the size of y_true must be equal to the size of y_predict"
return np.sum(y_true == y_predict) / len(y_true)
def mean_squared_error(y_true, y_predict):
"""计算y_true和y_predict之间的MSE"""
assert len(y_true) == len(y_predict), \
"the size of y_true must be equal to the size of y_predict"
return np.sum((y_true - y_predict)**2) / len(y_true)
def root_mean_squared_error(y_true, y_predict):
"""计算y_true和y_predict之间的RMSE"""
return sqrt(mean_squared_error(y_true, y_predict))
def mean_absolute_error(y_true, y_predict):
"""计算y_true和y_predict之间的MAE"""
return np.sum(np.absolute(y_true - y_predict)) / len(y_true)
- R square大小衡量算法的好坏 (也是衡量不同算法的重要标准,使其值在0-1之间,值越大,算法准确度越高)
1)具体公式


def r2_score(y_true, y_predict):
"""计算y_true和y_predict之间的R Square"""
return 1 - mean_squared_error(y_true, y_predict)/np.var(y_true)
5.多元线性回归实现
1)多元线性回归的正规方程解

其中Xb是在X或X_train上添加一列值为一的向量构成的矩阵。目的是个theta匹配。包含θ0这一项。
2)手写封装该算法的类
import numpy as np
from .metrics import r2_score
class LinearRegression:
def __init__(self):
"""初始化Linear Regression模型"""
self.coef_ = None
self.intercept_ = None
self._theta = None
def fit_normal(self, X_train, y_train):
"""根据训练数据集X_train, y_train训练Linear Regression模型"""
assert X_train.shape[0] == y_train.shape[0], \
"the size of X_train must be equal to the size of y_train"
X_b = np.hstack([np.ones((len(X_train), 1)), X_train])
self._theta = np.linalg.inv(X_b.T.dot(X_b)).dot(X_b.T).dot(y_train)
self.intercept_ = self._theta[0]
self.coef_ = self._theta[1:]
return self
def predict(self, X_predict):
"""给定待预测数据集X_predict,返回表示X_predict的结果向量"""
assert self.intercept_ is not None and self.coef_ is not None, \
"must fit before predict!"
assert X_predict.shape[1] == len(self.coef_), \
"the feature number of X_predict must be equal to X_train"
X_b = np.hstack([np.ones((len(X_predict), 1)), X_predict])
return X_b.dot(self._theta)
def score(self, X_test, y_test):
"""根据测试数据集 X_test 和 y_test 确定当前模型的准确度"""
y_predict = self.predict(X_test)
return r2_score(y_test, y_predict)
def __repr__(self):
return "LinearRegression()"
coef_项是对应θ的系数,intercept_是对应θ0截距项。
4.scikit-learn中的线性回归
from sklearn.linear_model import LinearRegression
lin_reg = LinearRegression()
lin_reg.fit(X_train, y_train)
lin_reg.coef_
lin_reg.intercept_
lin_reg.score(X_test, y_test)
<注》此算法不用提前对数据进行归一化
5.补充利用KNN以及网格搜索法实现回归算法
from sklearn.preprocessing import StandardScaler
standardScaler = StandardScaler()
standardScaler.fit(X_train, y_train)
X_train_standard = standardScaler.transform(X_train)
X_test_standard = standardScaler.transform(X_test)
from sklearn.neighbors import KNeighborsRegressor
knn_reg = KNeighborsRegressor()
knn_reg.fit(X_train_standard, y_train)
knn_reg.score(X_test_standard, y_test)
from sklearn.model_selection import GridSearchCV
param_grid = [
{
"weights": ["uniform"],
"n_neighbors": [i for i in range(1, 11)]
},
{
"weights": ["distance"],
"n_neighbors": [i for i in range(1, 11)],
"p": [i for i in range(1,6)]
}
]
knn_reg = KNeighborsRegressor()
grid_search = GridSearchCV(knn_reg, param_grid, n_jobs=-1, verbose=1)
grid_search.fit(X_train_standard, y_train)
grid_search.best_params_
grid_search.best_score_
grid_search.best_estimator_.score(X_test_standard, y_test)
grid_search.best_estimator_.score(X_test_standard, y_test)
6.思考
在绝大多数情况,在未知数据分布的时,对数据进行分类,预测。首先做的应该数据的预处理。之后,对于模型的搭建,不知其满足的分布时,首先用线性回归方法进行预测,应该是第一步。因为其简单,直观,然后再用其他算法更正。
780

被折叠的 条评论
为什么被折叠?



